Abstract:
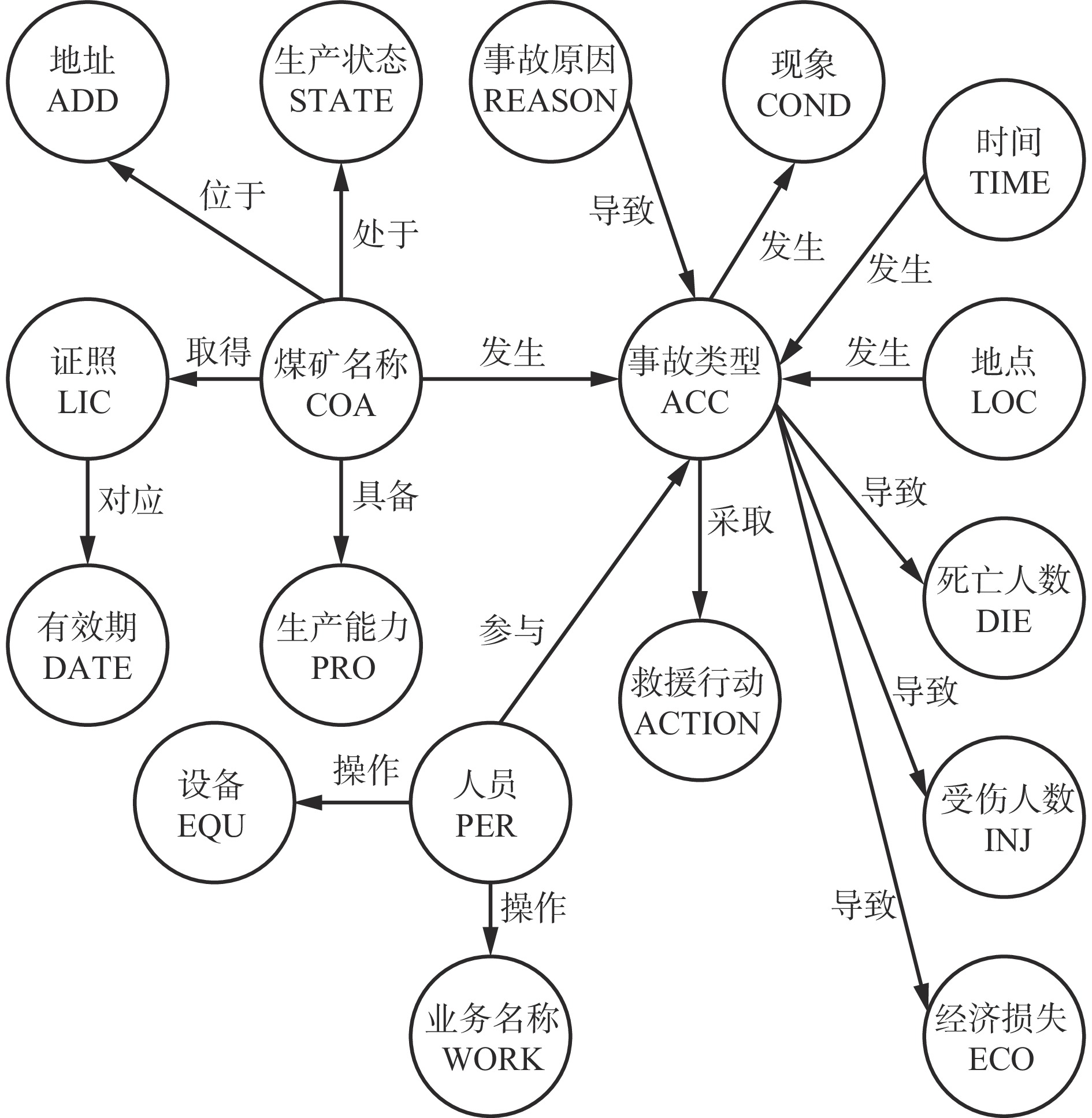
Current methods for constructing knowledge graphs in the field of mining require a large amount of manually labeled high-quality supervised data during the pre-training stage, resulting in high labor costs and low efficiency. Large Language Models (LLMs) can significantly improve the quality and efficiency of information extraction with only a small amount of manually labeled high-quality data. However, the prompt-based approach in LLMs suffers from catastrophic forgetting. To address this issue, graph-structured information was embedded into the prompt template and a Graph-Structured Prompt was proposed. By integrating this prompt into the LLM, high-quality construction of a mine accident knowledge graph based on the LLM was achieved. First, publicly available mine accident reports were collected from the Coal Mine Safety Production Network and preprocessed through formatting corrections and redundant information removal. Next, the LLM was utilized to extract knowledge embedded in the accident reports and K-means clustering was used to classify entities and relationships, thereby completing the construction of the mine accident ontology. Then, a small amount of data were labeled based on the ontology, which was used for LLM training and fine-tuning. Finally, the LLM embedded with the Graph-Structured Prompt was employed for information extraction, instantiating entity-relation triples to construct the mine accident knowledge graph. Experimental results showed that LLMs outperformed the Universal Information Extraction (UIE) model in entity and relationship extraction tasks. Moreover, the LLM embedded with the Graph-Structured Prompt achieved higher precision, recall, and F1 scores compared to those without it.