水射流联合刀齿冲击非均质受载岩石的破损特征及能量演化规律

马宏宇, 万文, 王龙, 陈勇, 杨宇轩, 邓舜春, 周永

马宏宇,万文,王龙,等. 水射流联合刀齿冲击非均质受载岩石的破损特征及能量演化规律[J]. 工矿自动化,2025,51(7):122-134, 148. DOI: 10.13272/j.issn.1671-251x.2025030099
引用本文: 马宏宇,万文,王龙,等. 水射流联合刀齿冲击非均质受载岩石的破损特征及能量演化规律[J]. 工矿自动化,2025,51(7):122-134, 148. DOI: 10.13272/j.issn.1671-251x.2025030099
MA Hongyu, WAN Wen, WANG Long, et al. Damage characteristics and energy evolution of heterogeneous loaded rocks under the combined action of water jet and cutter tooth impact[J]. Journal of Mine Automation,2025,51(7):122-134, 148. DOI: 10.13272/j.issn.1671-251x.2025030099
Citation: MA Hongyu, WAN Wen, WANG Long, et al. Damage characteristics and energy evolution of heterogeneous loaded rocks under the combined action of water jet and cutter tooth impact[J]. Journal of Mine Automation,2025,51(7):122-134, 148. DOI: 10.13272/j.issn.1671-251x.2025030099

水射流联合刀齿冲击非均质受载岩石的破损特征及能量演化规律

基金项目: 

国家自然科学基金项目(52274194,52274118);长沙市雨花区科技计划项目(YHKJ-2023-YG-15)。

详细信息
    作者简介:

    马宏宇(1987—),男,河北唐山人,副研究员,硕士,主要从事煤矿巷道掘进、瓦斯灾害防治等方面的研究工作,E-mail:923129690@qq.com

  • 中图分类号: TD823

Damage characteristics and energy evolution of heterogeneous loaded rocks under the combined action of water jet and cutter tooth impact

  • 摘要:

    为研究深部复杂地层高应力环境下水射流联合刀齿破碎非均质岩石的效率及机理,基于光滑粒子流体动力学−有限元方法,以含石英、长石、方解石3种组分的砂岩为研究对象建立数值计算模型,研究了单齿单独破碎均质岩石、单齿单独破碎非均质岩石、水射流联合单齿异轨迹破碎非均质岩石、水射流联合单齿同轨迹破碎非均质岩石4种破碎方式下,非均质岩石的损伤破坏特征及时效特性,分析了受载岩石的破损能量演化规律,揭示了水射流联合刀齿冲击非均质岩石的损伤破坏机理。研究结果表明:水射流联合单齿破碎非均质岩石时,低强度组分与组分界面处将形成损伤脆弱区,且在应力集中作用下易导致主裂缝萌生及扩展,形成大范围重度损伤区;水射流联合单齿异轨迹和同轨迹破碎方式分别在破岩宽度和深度方面具有优势,从岩石破碎面积整体效果出发,水射流联合单齿异轨迹破碎方式较好;在水射流联合刀齿冲击作用下,非均质受载岩石破损能量变化以内能为主,其最大值出现时刻早于动能最大值出现时刻,高强度组分对其内能累积具有促进作用;非均质受载岩石的初始损伤主要由压剪应力导致,随后在压剪应力为主、拉应力为辅及应力集中效应的综合作用下发生瞬时断裂破坏。

    Abstract:

    To investigate the efficiency and mechanism of breaking heterogeneous rocks using a combined water jet and cutter tooth under high-stress conditions in deep complex formations, a numerical model was established based on the smoothed particle hydrodynamics-finite element method, taking sandstone composed of quartz, feldspar, and calcite as the research object. Four rock-breaking modes were studied: single-tooth breaking of homogeneous rock, single-tooth breaking of heterogeneous rock, water jet combined with single-tooth breaking of heterogeneous rock along different trajectories, and along identical trajectories. The damage and time-dependent characteristics of heterogeneous rocks were analyzed, and the evolution pattern of damage energy in loaded rock was examined to reveal the damage mechanism of heterogeneous rocks under the combined impact of water jet and cutter tooth. The results showed that when heterogeneous rocks were broken by the combined action of water jet and single cutter, damage-prone zones formed in low-strength components and at component interfaces, which tended to induce the initiation and propagation of main cracks under stress concentration, resulting in large-scale severe damage zones. The rock-breaking modes along different and identical trajectories showed respective advantages in rock-breaking width and depth. From the perspective of overall rock-breaking area, the different trajectory mode was superior. Under the combined action of water jet and cutter tooth, the damage energy variation of the heterogeneous loaded rock was mainly in the form of internal energy, whose peak occurred earlier than that of kinetic energy. High-strength components facilitated internal energy accumulation. The initial damage of heterogeneous loaded rock was mainly caused by compressive-shear stress, followed by instantaneous damage under the combined effects of dominant compressive-shear stress, auxiliary tensile stress, and stress concentration.

  • 图  1   SPH−FEM耦合算法分析过程

    Figure  1.   Analysis process of SPH-FEM coupling algorithm

    图  2   水射流联合刀齿冲击岩石的数值计算模型

    Figure  2.   Numerical calculation model of water jet combined with single-tooth breaking rock

    图  3   试验和数值模拟中砂岩的应力−应变曲线与破坏模式对比

    Figure  3.   Comparisons of stress-strain curve and failure mode of sandstone between experiments and simulations

    图  4   水射流联合单齿异轨迹破碎非均质岩石的试验结果和数值模拟结果对比

    Figure  4.   Comparisons of experimental results and numerical simulation results for heterogeneous rock breaking by water jet combined with cutter tooth along different impact trajectory

    图  5   不同破碎方式下受载岩石不同时刻的损伤破坏云图

    Figure  5.   Damage and failure cloud diagrams of loaded rock under different breaking methods

    图  6   不同破碎方式下受载岩石内部应力集中现象及裂缝扩展

    Figure  6.   Internal stress concentration and crack propagation in loaded rock under different breaking methods

    图  7   不同破碎方式下受载岩石破碎坑深度、宽度、面积随时间的变化曲线

    Figure  7.   Curves of depth, width and area of broken pits of loaded rock under different breaking methods with versus time

    图  8   不同破碎方式下受载岩石动能和内能随时间变化曲线

    Figure  8.   Curves of kinetic energy and internal energy of loaded rock samples under different breaking methods

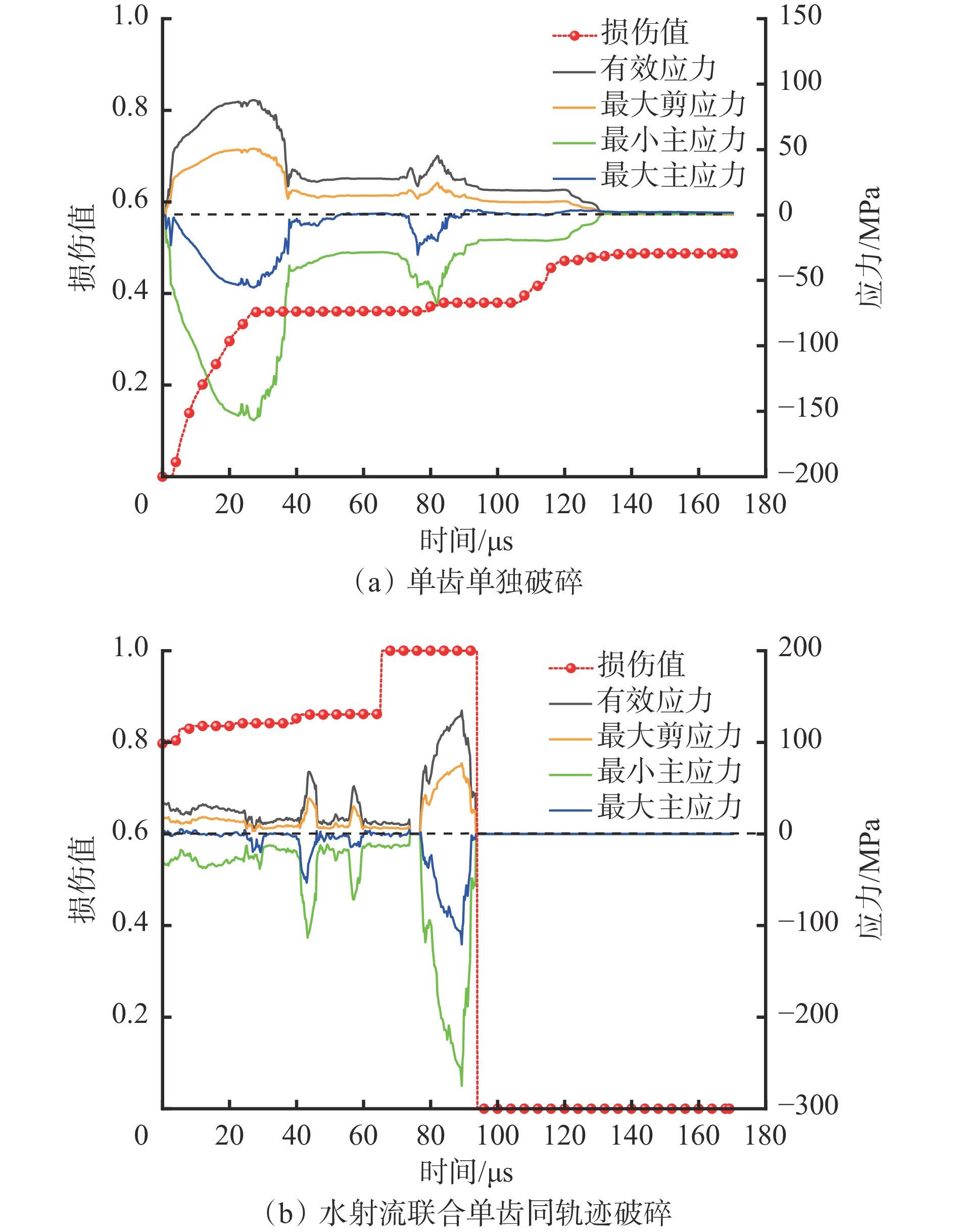
    图  9   单齿单独破碎非均质岩石的破坏特征

    Figure  9.   Damage characteristics of heterogeneous rock broken by a single tooth alone

    图  10   水射流联合单齿同轨迹破碎非均质岩石的破坏特征

    Figure  10.   Damage characteristics of water jet combined with single-tooth breaking of heterogeneous rock along identical trajectories

    图  11   不同破碎方式下非均质受载岩石内部各组分内能随时间变化曲线

    Figure  11.   Curves of internal energy of each component of heterogeneous loaded rock under different breaking methods versus time

    图  12   非均质岩石应力损伤分析单元分布

    Figure  12.   Element distribution for stress damage analysis in heterogeneous rock

    图  13   石英应力及损伤随冲击时间变化曲线

    Figure  13.   Curves of stress and damage of quartz versus impact time

    图  14   长石应力及损伤随冲击时间变化曲线

    Figure  14.   Curves of stress and damage of feldspar versus impact time

    图  15   方解石应力及损伤随冲击时间变化曲线

    Figure  15.   Curves of stress and damage of calcite versus impact time

    表  1   水射流本构模型参数

    Table  1   Constitutive model parameters for water jet

    参数 取值 参数 取值
    ρ0 / (g·cm−3 1.05 s3 0.228 6
    c/(m·s−1 1 480 α 1.397
    s1 2.56 γ0 0.49
    s2 −1.986 E/J 0
    下载: 导出CSV

    表  2   砂岩内部各矿物组分的主要参数

    Table  2   Key parameters of various mineral components inside sandstone

    参数
    石英 长石 方解石
    密度/(g·cm-3 2.65 2.50 2.35
    单轴抗压强度/MPa 150 80 40
    抗拉强度/MPa 15 8 5
    破坏面参数A 1.8 1.7 1.6
    破坏面参数N 0.65 0.70 0.75
    洛德角依赖因子 0.80 0.75 0.70
    相对抗拉强度 0.06 0.08 0.10
    相对抗剪强度 0.15 0.20 0.25
    下载: 导出CSV
  • [1] 李洪盛. 自激振荡脉冲射流破岩性能研究[D]. 徐州:中国矿业大学,2020.

    LI Hongsheng. Rock breaking performance of self-excited oscillating pulsed waterjet[D]. Xuzhou:China University of Mining and Technology,2020.

    [2] 周宏伟,谢和平,左建平. 深部高地应力下岩石力学行为研究进展[J]. 力学进展,2005,35(1):91-99. DOI: 10.3321/j.issn:1000-0992.2005.01.009

    ZHOU Hongwei,XIE Heping,ZUO Jianping. Developments in researches on mechanical behaviors of rocks under the condition of high ground pressure in the depths[J]. Advances in Mechanics,2005,35(1):91-99. DOI: 10.3321/j.issn:1000-0992.2005.01.009

    [3]

    XUE Yadong,ZHOU Jie,LIU Chun,et al. Rock fragmentation induced by a TBM disc-cutter considering the effects of joints:a numerical simulation by DEM[J]. Computers and Geotechnics,2021,136. DOI: 10.1016/J.COMPGEO.2021.104230.

    [4] 谭青,易念恩,夏毅敏,等. TBM滚刀破岩动态特性与最优刀间距研究[J]. 岩石力学与工程学报,2012,31(12):2453-2464.

    TAN Qing,YI Nian'en,XIA Yimin,et al. Research on rock dynamic fragmentation characteristics by TBM cutters and cutter spacing optimization[J]. Chinese Journal of Rock Mechanics and Engineering,2012,31(12):2453-2464.

    [5] 程永亮. TBM盘形滚刀破岩最优贯入度的数值模拟[J]. 中南大学学报(自然科学版),2017,48(4):936-943.

    CHENG Yongliang. Numerical simulation on optimal penetration of TBM disc cutter's rock fragmentation[J]. Journal of Central South University (Science and Technology),2017,48(4):936-943.

    [6] 冀国栋,付柏毅,章慧健,等. TBM滚刀贯入度对破岩效能的影响规律研究[J]. 铁道科学与工程学报,2023,20(12):4755-4768.

    JI Guodong,FU Boyi,ZHANG Huijian,et al. Study on the influence law of TBM disc cutter penetration on the rock-breaking efficiency[J]. Journal of Railway Science and Engineering,2023,20(12):4755-4768.

    [7]

    JIANG Hongxiang,LIU Zenghui,GAO Kuidong. Numerical simulation on rock fragmentation by discontinuous water-jet using coupled SPH/FEA method[J]. Powder Technology,2017,312:248-259. DOI: 10.1016/j.powtec.2017.02.047

    [8] 江红祥,赵慧贺,刘送永,等. 磨料射流冲击割缝岩石性能影响因素分析[J]. 振动. 测试与诊断,2022,42(3):564-571,621-622.

    JIANG Hongxiang,ZHAO Huihe,LIU Songyong,et al. Influencing factors analysis of rock slotting performance by abrasive waterjet impact[J]. Journal of Vibration,Measurement & Diagnosis,2022,42(3):564-571,621-622.

    [9]

    FOLDYNA J,SITEK L,ŠČUČKA J,et al. Effects of pulsating water jet impact on aluminium surface[J]. Journal of Materials Processing Technology,2009,209(20):6174-6180. DOI: 10.1016/j.jmatprotec.2009.06.004

    [10] 李子丰. 空化射流形成的判据和冲蚀机理[J]. 工程力学,2007,24(3):185-188.

    LI Zifeng. Criterion and erosion mechanism of cavitating jet[J]. Engineering Mechanics,2007,24(3):185-188.

    [11] 韩伟锋. 水射流辅助机械滚刀破岩试验研究[J]. 隧道建设(中英文),2022,42(8):1414-1419.

    HAN Weifeng. Experimental study on rock-breaking using a water jet assisted mechanical disc cutter[J]. Tunnel Construction,2022,42(8):1414-1419.

    [12]

    LU Yiyu,TANG Jiren,GE Zhaolong,et al. Hard rock drilling technique with abrasive water jet assistance[J]. International Journal of Rock Mechanics and Mining Sciences,2013,60:47-56. DOI: 10.1016/j.ijrmms.2012.12.021

    [13]

    WANG F D,MILLER R. High pressure water jet assisted tunneling[C]. Rapid Excavation and Tunneling Conference,Las Vegas,1976:649-676.

    [14]

    ZHANG Jinliang,LI Yongchang,ZHANG Yuansheng,et al. Using a high-pressure water jet-assisted tunnel boring machine to break rock[J]. Advances in Mechanical Engineering,2020,12(10). DOI: 10.1177/1687814020962290.

    [15] 朱团辉,李光,周小磊,等. 硬岩掘进机高压水耦合破岩影响因素实验研究[J]. 液压与气动,2021,45(5):157-163.

    ZHU Tuanhui,LI Guang,ZHOU Xiaolei,et al. Experimental investigation on influencing factors of TBM high pressure water coupling rock breaking[J]. Chinese Hydraulics & Pneumatics,2021,45(5):157-163.

    [16] 黄飞,卢义玉,李树清,等. 高压水射流冲击速度对砂岩破坏模式的影响研究[J]. 岩石力学与工程学报,2016,35(11):2259-2265.

    HUANG Fei,LU Yiyu,LI Shuqing,et al. Influence of velocity of high-pressure water jet on failure patterns of sandstone[J]. Chinese Journal of Rock Mechanics and Engineering,2016,35(11):2259-2265.

    [17]

    LIU Songyong,LIU Zenghui,CUI Xinxia,et al. Rock breaking of conical cutter with assistance of front and rear water jet[J]. Tunnelling and Underground Space Technology,2014,42:78-86. DOI: 10.1016/j.tust.2014.02.002

    [18]

    LIU Songyong,ZHOU Fangyue,LI Hongsheng,et al. Experimental investigation of hard rock breaking using a conical pick assisted by abrasive water jet[J]. Rock Mechanics and Rock Engineering,2020,53(9):4221-4230. DOI: 10.1007/s00603-020-02168-2

    [19]

    JIANG Hongxiang,ZHAO Huihe,GAO Kuidong,et al. Numerical investigation of hard rock breakage by high-pressure water jet assisted indenter impact using the coupled SPH/FEM method[J]. Powder Technology,2020,376:176-186. DOI: 10.1016/j.powtec.2020.08.028

    [20]

    LI Biao, ZHANG Bo, HU Mengmeng, et al. Full-scale linear cutting tests to study the influence of pre-groove depth on rock-cutting performance by TBM disc cutter[J]. Tunnelling and Underground Space Technology, 2022, 122. DOI: 10.1016/J.TUST.2022.104366.

    [21] 王大勇,马红滨,李欣龙,等. 高压水射流辅助锥形PDC齿破碎花岗岩试验研究[J]. 石油机械,2024,52(7):36-44.

    WANG Dayong,MA Hongbin,LI Xinlong,et al. Experimental study on high-pressure water jet assisted conical PDC cutter breaking of granite[J]. China Petroleum Machinery,2024,52(7):36-44.

    [22] 张金良,许弘毅,龚秋明,等. TBM滚刀与高压水射流布局对滚刀破岩效率影响的室内试验[J]. 中国公路学报,2024,37(7):204-217.

    ZHANG Jinliang,XU Hongyi,GONG Qiuming,et al. Experimental study on effect of layouts of TBM cutter and high-pressure water jet on cutting efficiency[J]. China Journal of Highway and Transport,2024,37(7):204-217.

    [23] 李烈,江红祥. 高压水射流辅助掘进机截齿截割实验研究[J]. 机械设计与制造,2021(4):78-81.

    LI Lie,JIANG Hongxiang. Experimental study on cutting performance of roadheader pick assisted with high pressure water jet[J]. Machinery Design & Manufacture,2021(4):78-81.

    [24] 江红祥,杜长龙,刘送永,等. 水射流−机械刀具联合破岩的影响因素试验研究[J]. 中国机械工程,2013,24(8):1013-1017.

    JIANG Hongxiang,DU Changlong,LIU Songyong,et al. Experimental research of influence factors on combined breaking rock with water jet and mechanical tool[J]. China Mechanical Engineering,2013,24(8):1013-1017.

    [25] 米建宇,黄飞,李树清,等. 基于SPH−FEM耦合算法的后混合磨料水射流冲击破岩数值模拟研究[J]. 振动与冲击,2021,40(16):132-139.

    MI Jianyu,HUANG Fei,LI Shuqing,et al. Numerical simulation of rock breaking by rear-mixed abrasive water jet based on an SPH-FEM coupling algorithm[J]. Journal of Vibration and Shock,2021,40(16):132-139.

    [26]

    XIAO Songqiang,XIAO Juchong,REN Qingyang,et al. Damage evolution and fracture characteristics of heterogeneous concrete with coarse aggregate impacted by high-velocity water jet[J]. Construction and Building Materials,2024,416. DOI: 10.1016/J.CONBUILDMAT.2024.135128.

    [27]

    JIANG Hongxiang,ZHAO Huihe,GAO Kuidong,et al. Numerical investigation of hard rock breakage by high-pressure water jet assisted indenter impact using the coupled SPH/FEM method[J]. Powder Technology,2020,376:176-186. DOI: 10.1016/j.powtec.2020.08.028

    [28]

    LIU Jialiang,ZHU Bin,LIU Renjie,et al. Study on parameter analysis and damage mechanism of water jet combined with mechanical cutter head breaking concrete[J]. Journal of Building Engineering,2022,61. DOI: 10.1016/J.JOBE.2022.105314.

    [29] 李文帅. 浆−岩界面宏微观力学行为及加固机理研究[D]. 徐州:中国矿业大学,2020.

    LI Wenshuai. Study on macro-micro mechanical behavior and reinforcement mechanism of slurry-rock interface[D]. Xuzhou:China University of Mining and Technology,2020.

    [30] 陆翔,杨雨清,才庆祥,等. 不同种类添加剂对地聚合物−岩石界面过渡区的影响研究[J]. 采矿与安全工程学报,2024,41(4):790-800.

    LU Xiang,YANG Yuqing,CAI Qingxiang,et al. Effect of different types of additives on the interface transition zone of geopolymer rock interface[J]. Journal of Mining & Safety Engineering,2024,41(4):790-800.

    [31]

    LIU Songyong,LIU Zenghui,CUI Xinxia,et al. Rock breaking of conical cutter with assistance of front and rear water jet[J]. Tunnelling and Underground Space Technology,2014,42:78-86. DOI: 10.1016/j.tust.2014.02.002

    [32]

    JIANG Hongxiang,ZHAO Huihe,GAO Kuidong,et al. Numerical investigation of hard rock breakage by high-pressure water jet assisted indenter impact using the coupled SPH/FEM method[J]. Powder Technology,2020,376:176-186. DOI: 10.1016/j.powtec.2020.08.028

    [33]

    LIU Fuwei,WANG Yansen,HUANG Xin. Cutting efficiency of extremely hard granite by high-pressure water jet and prediction model of cutting depth based on energy method[J]. Bulletin of Engineering Geology and the Environment,2024,83(4). DOI: 10.1007/S10064-024-03586-0.

    [34]

    WANG Xuebin. Adiabatic shear localization evolution for steel based on the Johnson-Cook model and gradient-dependent plasticity[J]. Journal of University of Science and Technology Beijing,Mineral,Metallurgy,Material,2006,13(4):313-318. DOI: 10.1016/S1005-8850(06)60065-0

    [35] 杨迎新,张文卫,李斌,等. 牙齿破岩效率的评价及牙齿优选探讨[J]. 岩石力学与工程学报,2001,20(1):110-113.

    YANG Yingxin,ZHANG Wenwei,LI Bin,et al. Effect evaluation on insert penetration to rock and optimization of insert shape[J]. Chinese Journal of Rock Mechanics and Engineering,2001,20(1):110-113.

    [36] 马德坤. 牙轮钻头工作力学[M]. 北京:石油工业出版社,1984.

    MA Dekun. Working mechanics of roller drill bit[M]. Beijing:Petroleum Industry Press,1984.

    [37] 罗衡. 空气锤动静载耦合冲击破岩[D]. 成都:西南石油大学,2013.

    LUO Heng. Air hammer dynamic static coupling impact rock breaking[D]. Chengdu:Southwest Petroleum University,2013.

    [38] 蔡灿,伍开松,廉栋,等. 单齿冲击作用下破岩机制分析[J]. 岩土力学,2015,36(6):1659-1666,1675.

    CAI Can,WU Kaisong,LIAN Dong,et al. Study of rock-breaking mechanism under single-tooth impact[J]. Rock and Soil Mechanics,2015,36(6):1659-1666,1675.

    [39] 宁建国,王成,马天宝. 爆炸与冲击动力学[M]. 北京:国防工业出版社,2010.

    NING Jianguo,WANG Cheng,MA Tianbao. Explosion and shock dynamics[M]. Beijing:National Defense Industry Press,2010.

    [40] 朱英豪. 水盐干湿循环作用下砂岩的损伤特性和机理研究[D]. 西安:西安理工大学,2023.

    ZHU Yinghao. Study on damage characteristics and mechanism of sandstone under water-salt dry-wet cycle[D]. Xi'an:Xi'an University of Technology,2023.

    [41] 李四光. 地质力学概论[M]. 北京:科学出版社,1973.

    LI Siguang. Introduction to geomechanics[M]. Beijing:Science Press,1973.

    [42]

    BORRVALL T,RIEDEL W. The RHT concrete model in LS-DYNA[C]. 8th European LS-DYNA Conference,Strasbourg,2011:23-24.

    [43]

    ZHANG Shuangxia,LIU Zhixiang,YANG Xiaocong,et al. Analysis of damage characteristics and optimization of fan-holes blasting design under high in situ stresses[J]. Journal of Central South University,2023,30(6):1887-1899. DOI: 10.1007/s11771-023-5347-z

    [44] 周方跃. 硬岩巷道掘进机水射流−刀盘破岩系统关键技术研究[D]. 徐州:中国矿业大学,2022.

    ZHOU Fangyue. Research on key technology of water jet-cutterhead rock breaking system for hard rock roadway roadheader[D]. Xuzhou:China University of Mining and Technology,2022.

  • 期刊类型引用(2)

    1. 崔争气. 煤矿摩擦提升机防滑卡绳系统检测及软件实现方法. 能源与环保. 2020(02): 95-97+101 . 百度学术
    2. 张新才. 摩擦提升防滑系统制动性能研究. 机械设计与制造工程. 2020(10): 113-116 . 百度学术

    其他类型引用(2)

图(15)  /  表(2)
计量
  • 文章访问数:  46
  • HTML全文浏览量:  10
  • PDF下载量:  3
  • 被引次数: 4
出版历程
  • 收稿日期:  2025-03-27
  • 修回日期:  2025-07-09
  • 网络出版日期:  2025-07-07
  • 刊出日期:  2025-07-14

目录

    ZHOU Yong

    1. On this Site
    2. On Google Scholar
    3. On PubMed

    /

    返回文章
    返回