Abstract:
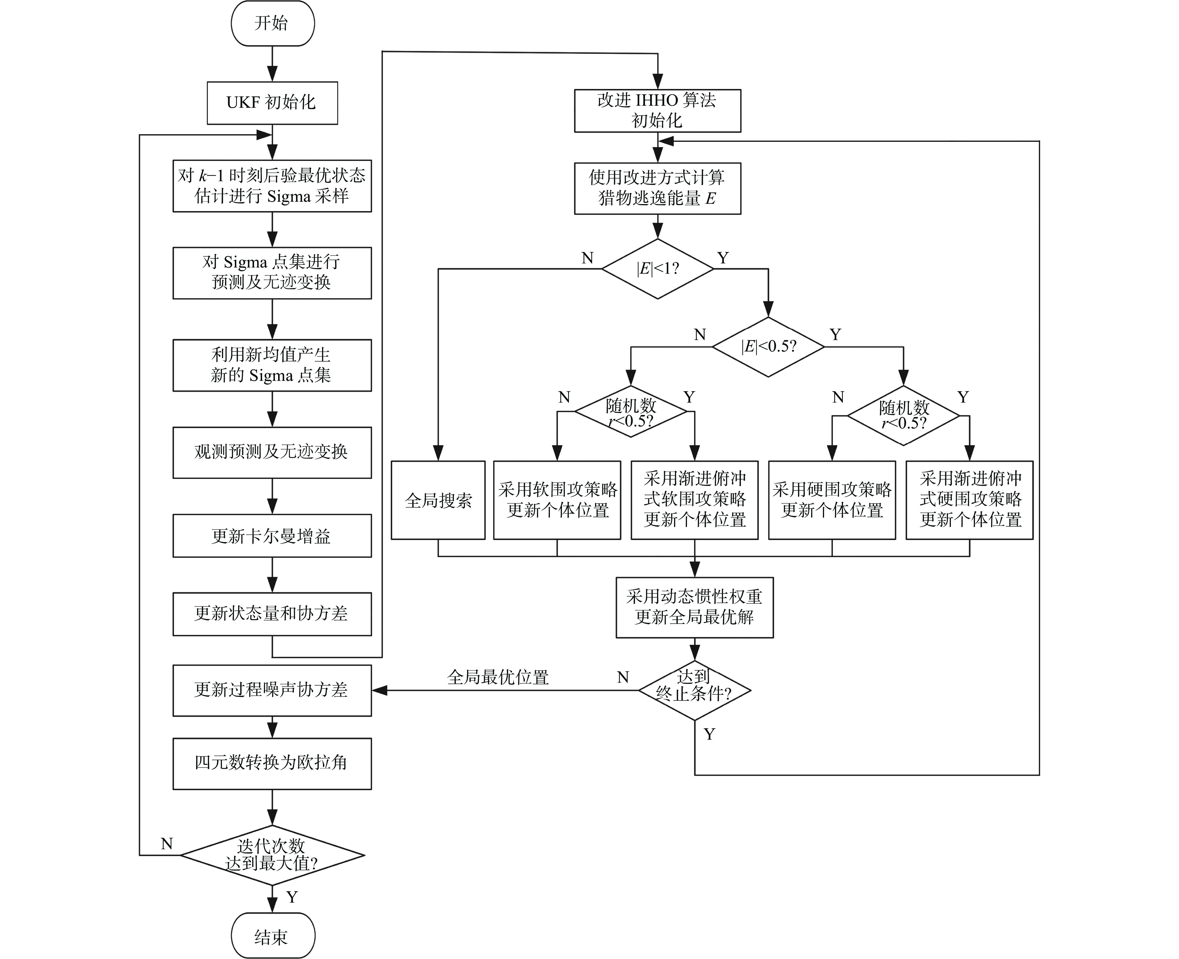
Scraper conveyor is the core transportation equipment of the fully mechanized working face. Accurately perceiving its form is an important prerequisite to enhance its carrying capacity, alleviate the transmission impact, and improve the straightness of fully mechanized working face. The commonly used indirect measurement methods for the shape of scraper conveyors are difficult to accurately characterize their shape, resulting in significant measurement model errors. To address this issue, an inertial measurement unit is used to directly measure the original pose information of the middle trough of scraper conveyor, achieving accurate acquisition of the shape data of scraper conveyor. A wavelet thresholding denoising method that combines Heursure threshold rules and a new threshold function is used to filter out noise interference in the acceleration signal of the middle trough. Based on this, the motion features of the middle trough are analyzed, and a middle trough motion state recognition model based on random forest algorithm is designed. Based on the motion state recognition results, different strategies are used to update the position of the middle trough. It reduces the accumulated IMU data error over time and improves the precision of IMU position calculation. The improved Harris hawk optimization (HHO) algorithm unscented Kalman filter (UKF) is designed for middle trough attitude calculation. It is verified through experiments that the attitude angle calculated by this method meets the requirements of middle trough attitude measurement. The experimental platform for shape monitoring of scraper conveyors is constructed. It conducts experimental verification on the shape calculation method of scraper conveyors based on motion state recognition and improved HHO optimized UKF. The results show that when the scraper conveyor performs a single sliding with a step distance of 250 mm, the maximum cumulative errors of displacement in the
X and
Y directions of the scraper conveyor composed of 10 middle troughs are 6.4 mm and 8.4 mm respectively under the horizontal working condition of bottom plate. It remains unchanged in the
Z direction. The maximum cumulative errors of pitch angle, roll angle, and heading angle are −0.148°, −0.035°, and 0.457° respectively. Under the working condition of floor undulation, the maximum cumulative errors of displacement in the
X,
Y, and
Z directions are 6.6 mm, 11.5 mm, and 6.9 mm respectively. The maximum cumulative errors of pitch angle, roll angle, and heading angle are −0.540°, −0.157°, and 0.817° respectively. This method can effectively suppress cumulative errors, reduce measurement errors, and achieve accurate perception of the shape of the scraper conveyor.