Abstract:
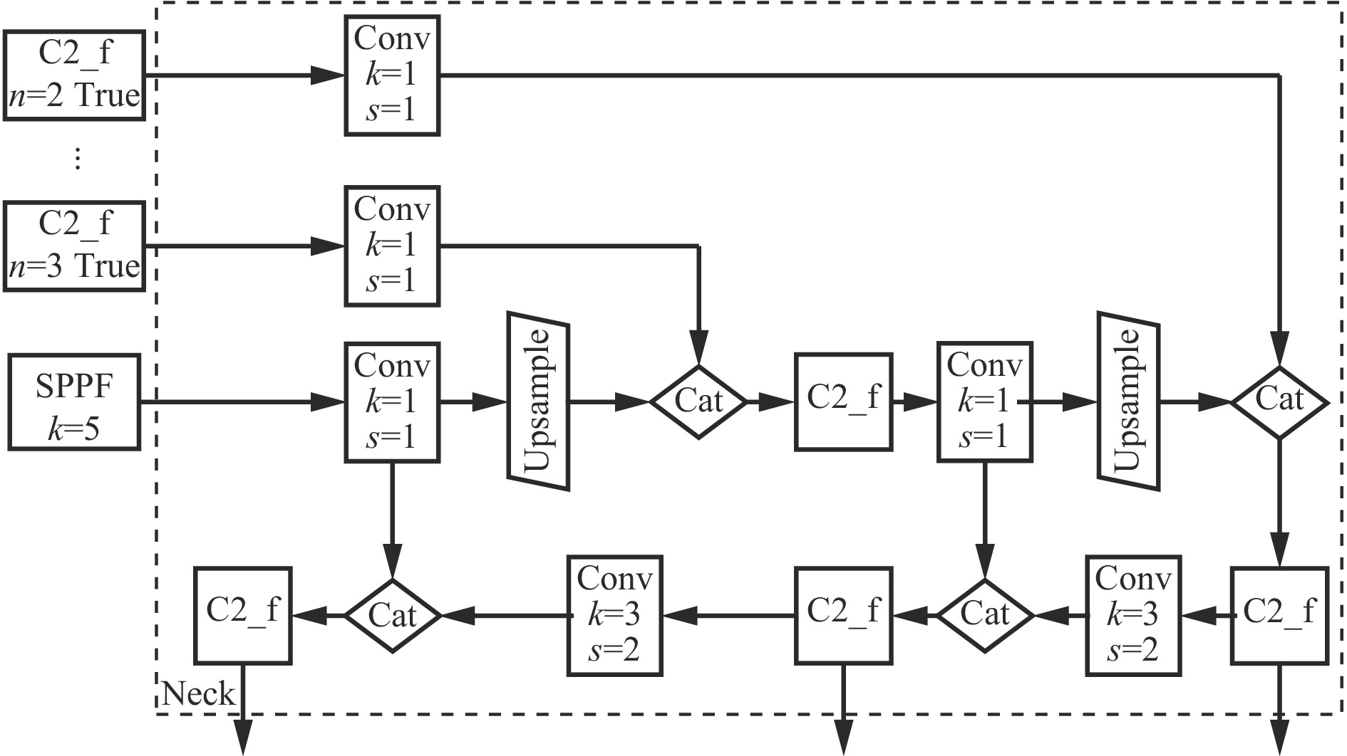
The underground coal mine environment is complex, leading to missed and false detections when monitoring behaviors of mine workers under certain operational conditions. To address this issue, a method for detecting mine worker behaviors in low-light underground environments is proposed, which includes two parts: a low-light image enhancement and a behavior detection. The low-light image enhancement(SCI+) was improved based on self-calibrated illumination (SCI) learning, which consists ofan image enhancement network and a calibration network. The behavior detection improved the YOLOv8n model by incorporating the Dynamic Head detection, a cross-scale fusion module, and the Focal-EIoU loss function. Enhanced images from the SCI+ network were used as inputs to the behavior detection model to complete the tasks of mine worker behavior detection in low-light underground environments. Experimental results showed that: ① the method for mine worker behavior detection in low-light underground environments achieved an mAP@0.5 of 87.6%, representing an improvement of 2.5% over YOLOv8n, and improvements of 15.7%, 11.5%, 0.9%, and 4.3% compared to SSD, Faster RCNN, YOLOv5s, and RT-DETR-L, respectively. ② The method had a parameter count of 3.6×10
6, a computational complexity of 11.6×10
9, and a detection speed of 95.24 frames per second. ③ On the public EXDark dataset, the method achieved an mAP@0.5 of 74.7%, which was 1.5% higher than YOLOv8n, demonstrating strong generalization capability.