基于射线追踪路径损耗模型的煤矿巷道基站选址方法

Coal mine roadway base station site selection method based on ray-tracing path loss model

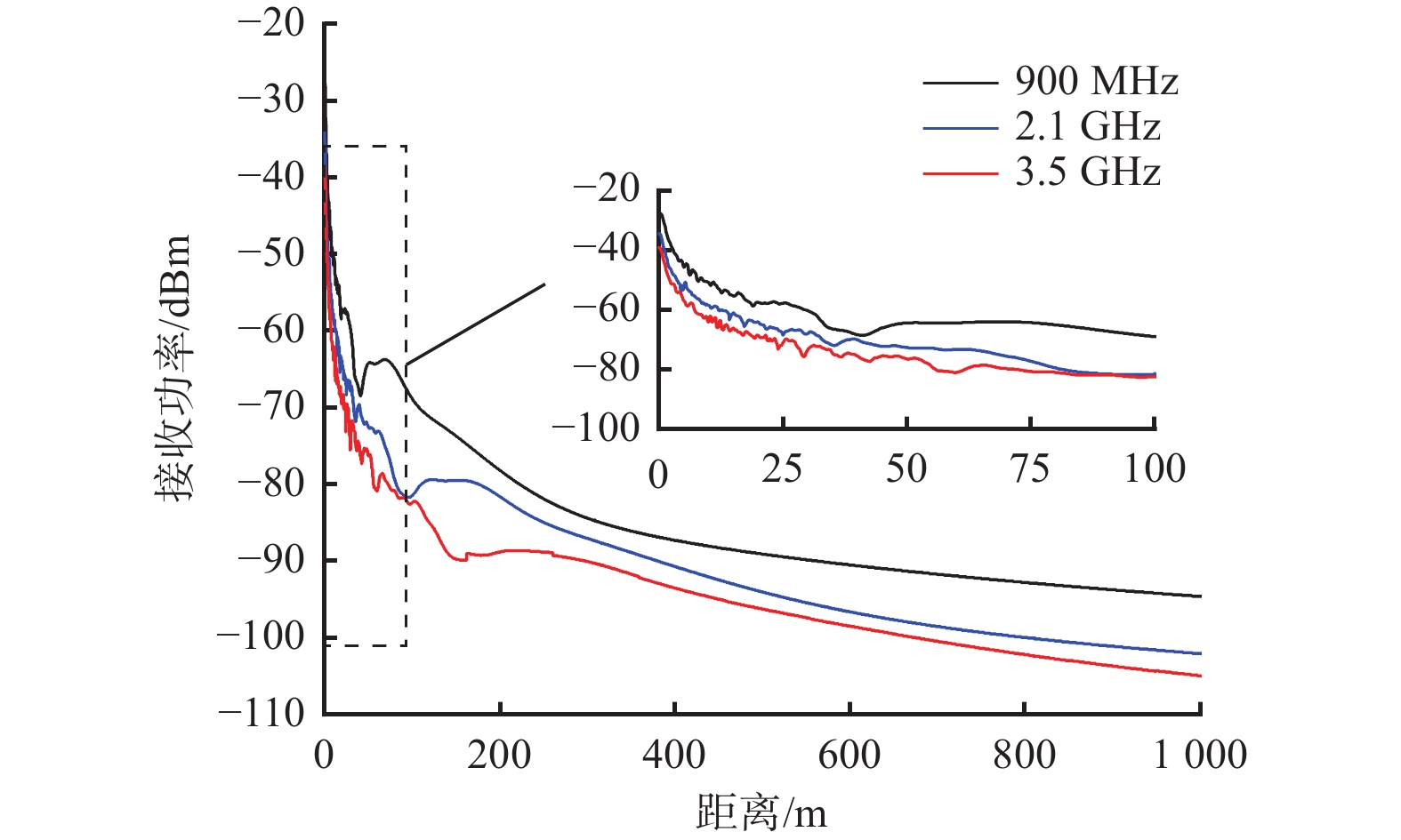
  • 摘要: 煤矿巷道狭长且多分支的结构特征导致5G信号难以实现全面覆盖,巷道内的高路径损耗导致无线信号传输受限,因此需要对煤矿巷道基站进行选址规划。现有方法大多通过最大化视距区域的覆盖范围实现基站选址,忽略了非视距区域的基站选址问题。针对该问题,提出了一种基于射线追踪路径损耗模型的煤矿巷道基站选址方法。基于射线追踪路径损耗模型确定矩形断面巷道中基站的覆盖半径;构建了巷道数字高程模型,在此基础上确定了基站位置优化问题的目标函数,通过最小化基站数量和位置优化达到最佳覆盖率;采用遗传算法对基站位置进行优化选择,从而确定基站最优位置。仿真结果表明,使用14个基站的选址方案时,网络覆盖率为91.2%,与数值计算结果的误差仅为2.4%。煤矿巷道实测结果表明,信号接收功率略低于模拟结果,−80 dBm的信号强度可提供200 m的覆盖半径,验证了射线追踪路径损耗模型的有效性。

     

    Abstract: The narrow and branched structure of coal mine roadways makes it difficult for 5G signals to achieve full coverage, and the high path loss within the roadways limits wireless signal transmission. Therefore, site selection planning for coal mine roadway base stations is necessary. Existing methods typically focus on maximizing the coverage of visual range, neglecting the site selection problem in non-visual range. To address this issue, a coal mine roadway base station site selection method based on the ray-tracing path loss model is proposed. The coverage radius of base stations in rectangular cross-section roadways was determined using the ray-tracing path loss model. A digital elevation model of the roadway was constructed, and based on this, the objective function for base station location optimization was defined. The optimal coverage rate was achieved by minimizing the number of base stations and optimizing their locations. A genetic algorithm was employed to optimize the base station locations, thereby determining the optimal positions. Simulation results showed that with a site selection plan using 14 base stations, the network coverage rate was 91.2%, with an error of only 2.4% compared to numerical calculation results. Field measurement results in the coal mine roadway showed that the received signal power was slightly lower than the simulated results, but a signal strength of −80 dBm provided a coverage radius of 200 m, validating the effectiveness of the ray-tracing path loss model.

     

/

返回文章
返回