煤体损伤破坏的声发射响应及分形时变特征

Acoustic emission response and fractal temporal evolution characteristics of coal body damage and failure

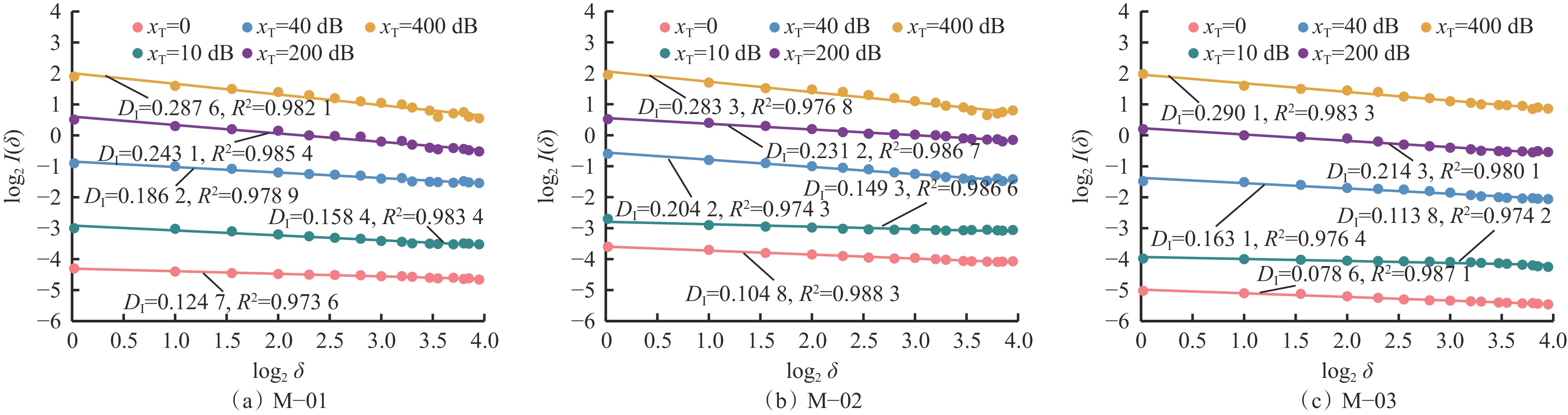
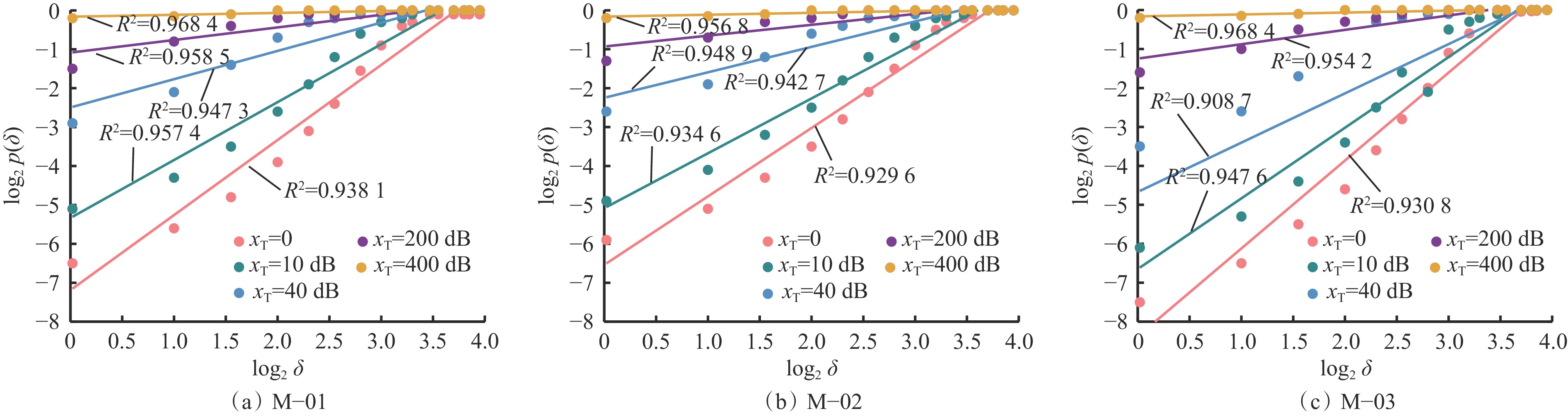
  • 摘要: 针对煤体损伤破坏演化过程中声发射信号离散性强、特征参数关联性不足导致难以可靠、全面反映煤体损伤破坏特征的问题,通过开展单轴压缩加载实验,分析了煤体损伤破坏的声发射响应特征,并基于分形理论计算声发射信号的信息维数,分析了煤体损伤破坏的分形时变特征。结果表明:① 煤体声发射能量在压实、线弹性、弹塑性、失稳破坏及残余强度 5 个阶段呈现显著的阶段性特征,其中失稳破坏阶段的声发射能量突增可作为煤体宏观破裂的前兆信号;该前兆信号受煤体初始损伤程度的影响,即煤体完整性越好,煤体损伤破坏过程中前兆信号越明显。② 煤体在加载过程中表现出良好的分形特征,信息维数随声发射信号阈值的增大呈递减趋势;加载初期因微裂纹闭合导致信息维数增大,弹塑性阶段裂纹扩展使信息维数快速减小,失稳破坏阶段宏观破裂引发信息维数再次增大,其中信息维数快速减小阶段对应煤体内部裂纹扩展贯通的临界状态,可作为煤体宏观破坏的有效预测指标。研究结果为煤体损伤破坏前兆识别及破坏机理分析提供了理论依据。

     

    Abstract: To address the issue that the discrete nature of acoustic emission (AE) signals and the insufficient correlation of characteristic parameters during coal body damage and failure make it difficult to reliably and comprehensively reflect the damage and failure characteristics, uniaxial loading experiments were conducted. The AE response characteristics of the coal body during damage and failure were analyzed. Additionally, based on fractal theory, the information dimension of AE signals was calculated to analyze the fractal temporal evolution characteristics of coal body damage and failure. The results showed that: ① The AE energy of the coal body exhibited distinct stage-dependent characteristics across five phases: compaction, linear elasticity, elastoplasticity, instability failure, and residual strength. A sharp increase in AE energy during the instability failure phase served as a precursor signal of macroscopic coal body fracture. This precursor signal was influenced by the initial damage level of the coal: the better the integrity of the coal, the more obvious the precursor signal during the damage and failure process. ② The coal body demonstrated prominent fractal characteristics throughout the loading process, with the information dimension decreasing as the AE signal threshold increased. At the initial loading stage, the information dimension increased due to the closure of microcracks. In the elastoplastic phase, crack propagation caused a rapid decrease in the information dimension, while in the instability failure phase, macroscopic fracture led to a subsequent increase. The stage of rapid decrease in information dimension corresponded to the critical state of internal crack propagation and coalescence, which served as an effective predictor of macroscopic coal body failure. These findings provide a theoretical foundation for the identification of precursors of coal body damage and failure and the analysis of coal failure mechanisms.

     

/

返回文章
返回