煤矿井下金属结构等效储能模型耦合电磁波能量安全性分析

Equivalent energy storage model coupled electromagnetic wave energy safety analysis of metal structures in underground coal mines

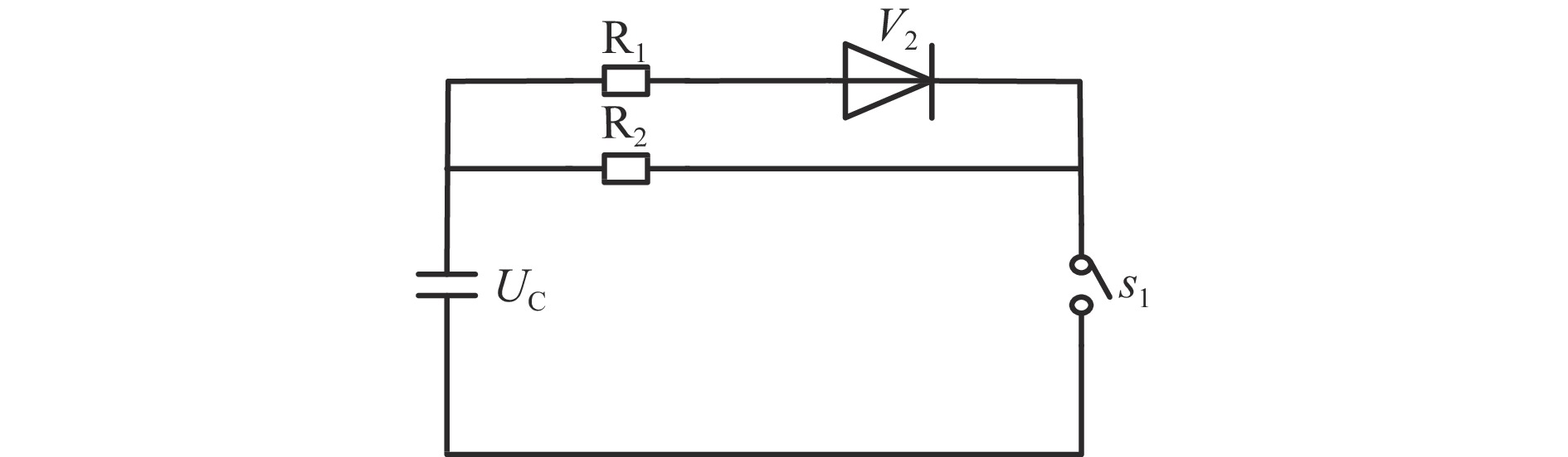
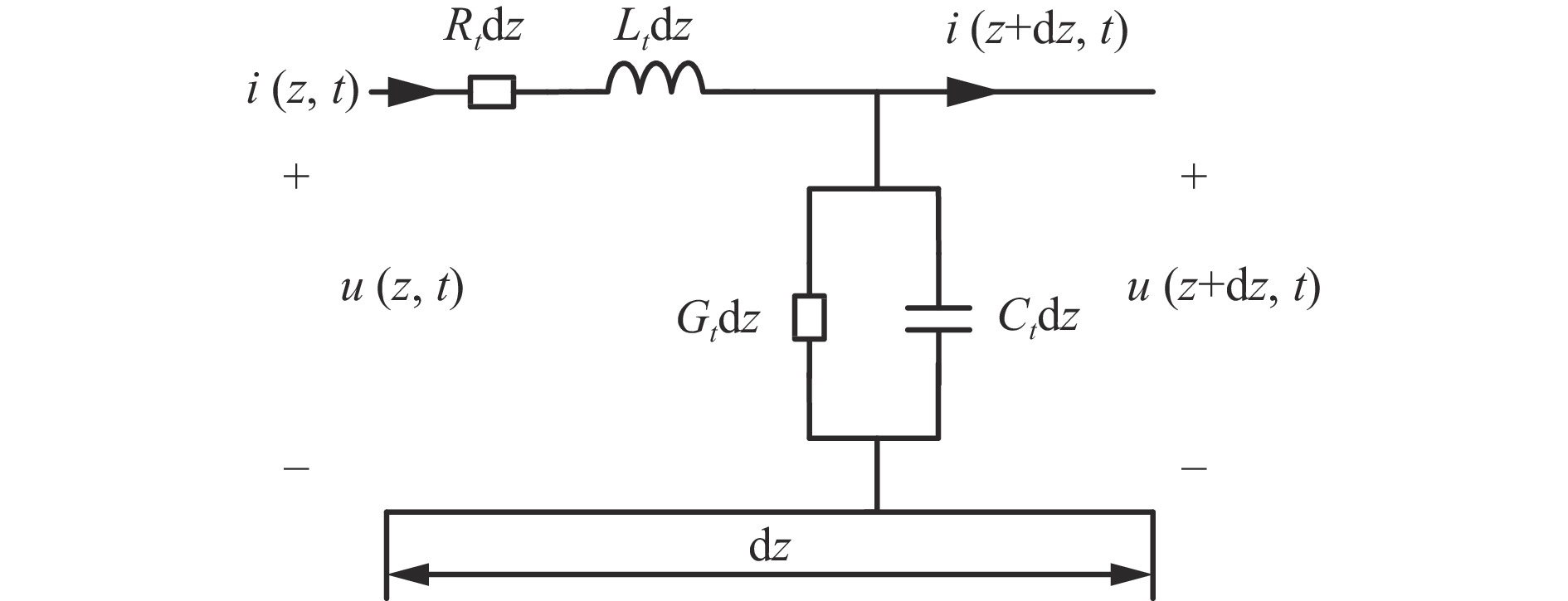
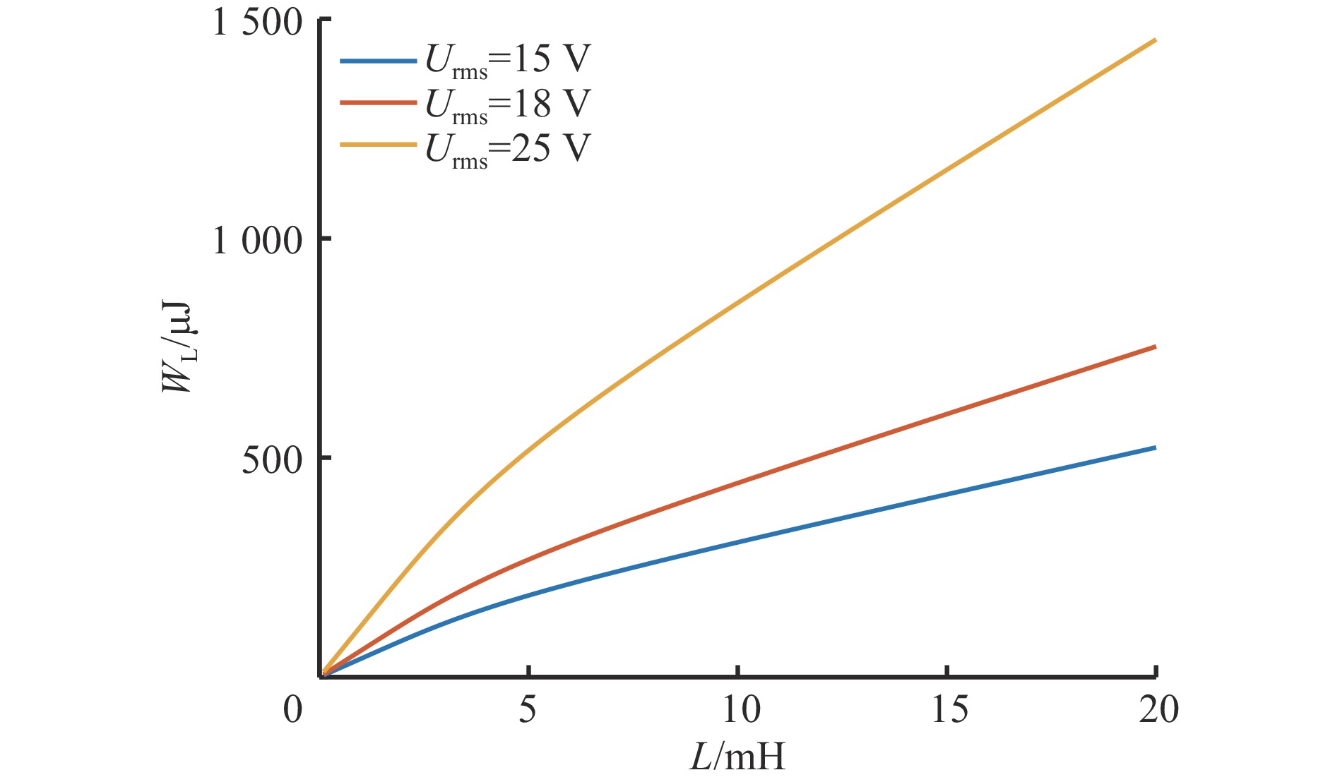
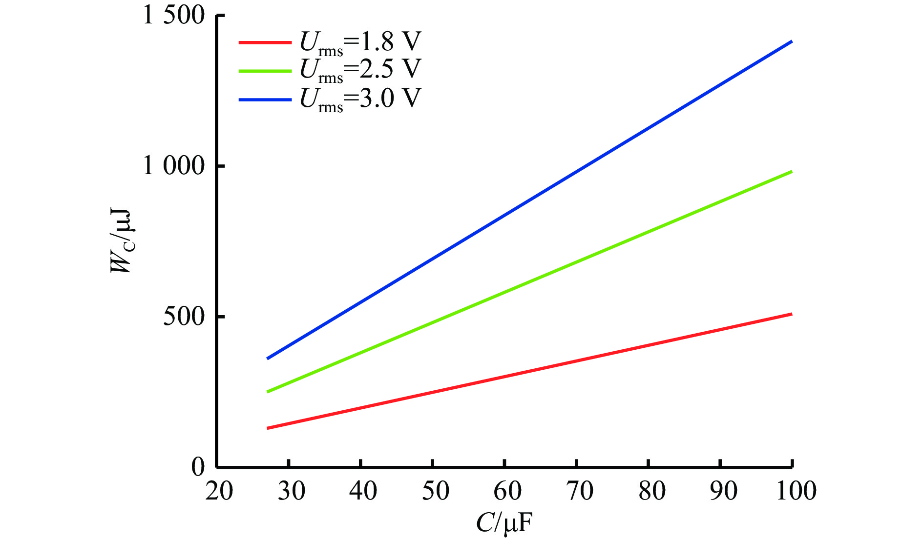
  • 摘要: 煤矿井下无线通信设备发射的电磁波能量可以被周围金属结构耦合吸收,这种现象存在点燃矿井内爆炸性气体的危险。现有针对井下金属结构耦合电磁波安全性研究只是对金属结构等效阻性模型耦合电磁波能量进行分析,缺乏对金属结构耦合电磁波能量在时间上积累的储能过程研究。针对上述问题,提出一种适用于金属结构耦合−积累−释放电磁波能量研究的等效储能结构模型,即金属结构等效容性储能模型与金属结构等效感性储能模型。首先通过低衰减度传输线模型,推导出发射天线输出功率、发射天线与金属结构之间距离与接收端感应电压之间的关系。然后建立金属结构等效储能模型,推导出接收端参数与放电火花能量之间的数学关系式,分析了接收端参数对放电火花能量的影响。最后通过接收端感应电压与感应电压有效值的关系,推导出发射天线输出功率、发射天线与金属结构之间距离与放电火花能量之间的数学关系式,分析了发射天线输出功率、发射天线与金属结构之间距离对放电火花能量的影响,并给出在其他参数确定情况下2种金属结构等效储能模型各自的理论参考安全点。仿真结果表明:① 对于金属结构等效容性储能模型,放电火花能量随着等效储能电容、接收端感应电压有效值增大而增大,安全点向左偏移,对等效储能电容、接收端感应电压有效值的安全要求变得严苛。② 放电火花能量随着发射天线功率增大而增大,随着发射天线与金属结构之间距离增大而减小,得到金属结构等效容性储能模型理论参考安全点。③ 对于金属结构等效感性储能模型,放电火花能量随着等效储能电感、接收端感应电压有效值增大而增大,安全点向左偏移,对等效储能电感、接收端感应电压有效值的安全要求变得严苛。④ 放电火花能量随着发射天线功率增大而增大,随着发射天线与金属结构之间距离增大而减小,得到金属结构等效感性储能模型理论参考安全点。⑤ 对比2种金属结构储能模型理论参考安全点,得到金属结构等效容性储能模型的危险性远大于金属结构等效感性储能模型的结论。

     

    Abstract: The electromagnetic wave energy emitted by wireless communication equipment in coal mines can be coupled and absorbed by surrounding metal structures, which poses a risk of igniting explosive gases in the mine. The existing research on the safety of underground metal structure coupled electromagnetic waves only focuses on the analysis of the energy of metal structure equivalent impedance model coupled electromagnetic waves. It lacks research on the energy storage process of metal structure coupled electromagnetic wave energy accumulated over time. In order to solve the above problems, an equivalent energy storage structure model suitable for studying the coupling-accumulation-release electromagnetic wave energy of metal structures is proposed, namely the metal structure equivalent capacitive energy storage model and the metal structure equivalent inductive energy storage model. Firstly, by using a low attenuation transmission line model, the relationship between the output power of the transmitting antenna, the distance between the transmitting antenna and the metal structure, and the induced voltage at the receiving end is derived. Secondly, an equivalent energy storage model of metal structure is established. The mathematical relationship between the receiving end parameters and the discharge spark energy is derived. The influence of the receiving end parameters on the discharge spark energy is analyzed. Finally, the mathematical relationship between the output power of the transmitting antenna, the distance between the transmitting antenna and the metal structure, and the discharge spark energy is derived by analyzing the relationship between the induced voltage at the receiving end and the effective value of the induced voltage. The influence of the output power of the transmitting antenna and the distance between the transmitting antenna and the metal structure on the discharge spark energy is analyzed. The theoretical reference safety points of the equivalent energy storage models of the two metal structures are given under the condition of other parameters being determined. The simulation results show the following points. ① For the equivalent capacitive energy storage model of metal structures, the discharge spark energy increases with the increase of the effective values of the equivalent energy storage capacitor and the induced voltage at the receiving end, and the safety point shifts to the left. The safety requirements for the effective values of the equivalent energy storage capacitor and the induced voltage at the receiving end become stricter. ② The energy of the discharge spark increases with the increase of the transmitting antenna power, and decreases with the increase of the distance between the transmitting antenna and the metal structure. The theoretical reference safety point of the equivalent capacitive energy storage model of the metal structure is obtained. ③ For the equivalent inductive energy storage model of metal structures, the discharge spark energy increases with the increase of the effective values of the equivalent energy storage inductance and the induced voltage at the receiving end, and the safety point shifts to the left. The safety requirements for the effective values of the equivalent energy storage inductance and the induced voltage at the receiving end become stricter. ④ The energy of the discharge spark increases with the increase of the transmitting antenna power, and decreases with the increase of the distance between the transmitting antenna and the metal structure. The theoretical reference safety point of the equivalent inductive energy storage model of the metal structure is obtained. ⑤ Comparing the theoretical reference safety points of two metal structure energy storage models, it is concluded that the danger of the metal structure equivalent capacitive energy storage model is much greater than that of the metal structure equivalent inductive energy storage model.

     

/

返回文章
返回