机械冲击条件下锂离子蓄电池安全性分析

Safety analysis of lithium-ion batteries under mechanical shock conditions

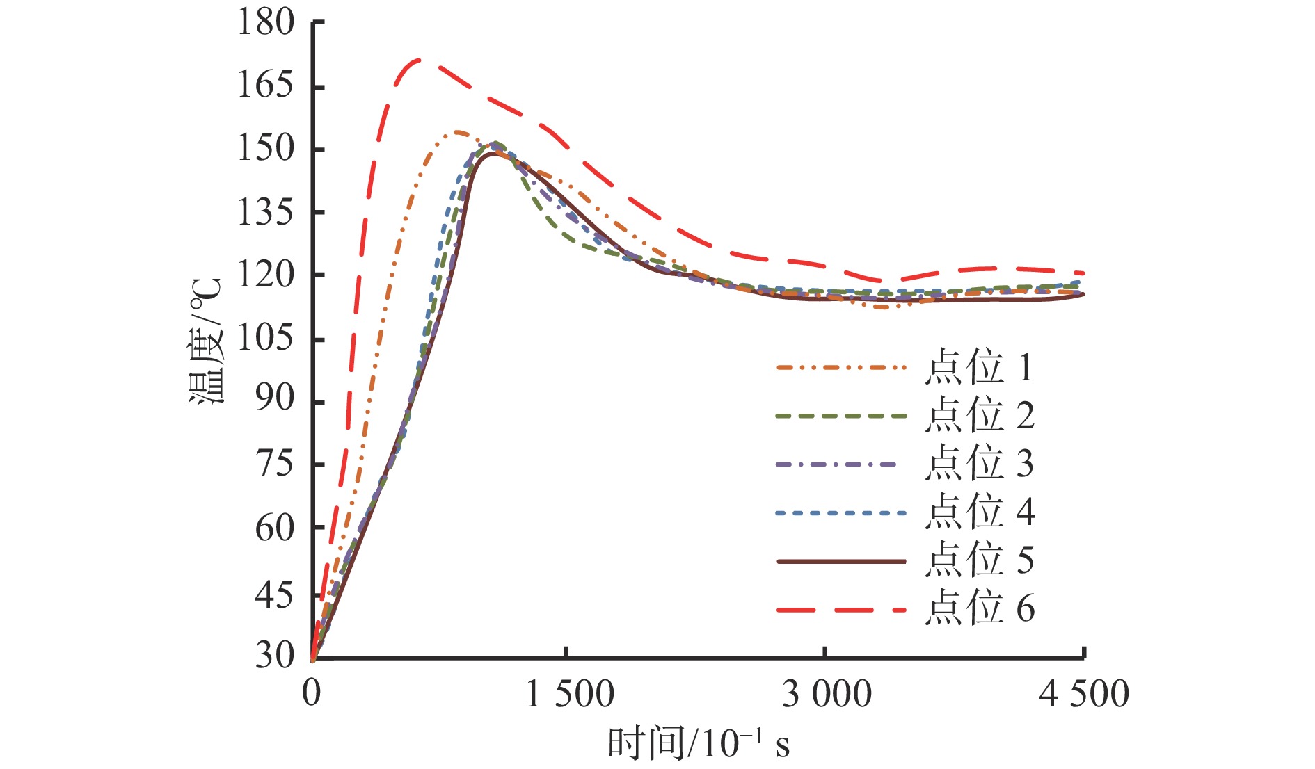
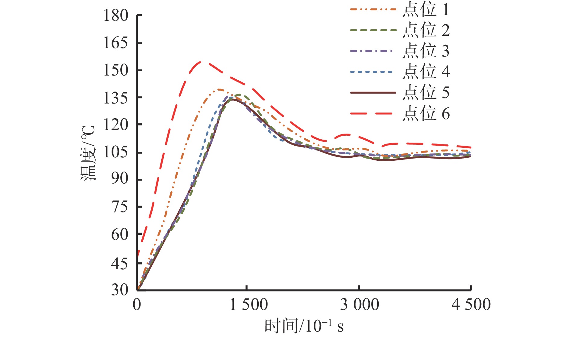
  • 摘要: 煤矿井下环境恶劣且空间狭小,锂离子蓄电池容易遭受外部的物理冲击或损害,引发安全事故。以100 A·h矿用锰酸锂离子蓄电池作为研究对象,对该电池进行针刺、高温、潮湿试验,分析电池的安全性能。通过针刺试验模拟煤矿井下环境中潜在的机械冲击,用尖锐物体刺入电池,观察电池在极端条件下的反应。使用炉箱和湿度控制环境箱模拟煤矿井下的高温和潮湿环境,对针刺后的电池实施试验,评估电池在煤矿井下极端环境中的安全性和可靠性。试验结果表明:① 电池被钨针刺穿后,表面出现一定变形和破裂,但未出现电解质泄漏的情况,同时电池并未出现冒烟、起火、爆炸等危险情况,内部也没有气体产生。被钨针刺穿后,电池温度显著上升,但能控制在安全范围内且没有引发燃烧或爆炸,说明该电池在煤矿井下应用中具有一定的热稳定性。② 被刺穿电池在炉箱加热后显著膨胀,并伴随有气体泄漏的现象,但尚未引发爆炸或燃烧,说明电池在特定条件下具有一定的热稳定性。③ 在潮湿环境下,被刺穿电池产生气体,增加了内部压力,在刺穿和潮湿的双重影响下,使得电池温度增加,但因为潮湿环境中的水分起到一定的冷却作用,与高温环境下相比,电池温度上升趋势较为缓慢,且仍未引发爆炸或燃烧,说明电池在潮湿环境下仍具有热稳定性,不会出现热失控现象。

     

    Abstract: The harsh and confined environment of underground coal mines makes lithium-ion batteries vulnerable to external physical shocks or damage, potentially leading to safety incidents. This study investigated a 100 A·h lithium manganese oxide ion battery designed for mining applications, employing puncture, high-temperature, and humidity tests to evaluate its safety performance. The puncture test simulated mechanical shocks typical in coal mine environments by penetrating the battery with a sharp object and observing its response under extreme conditions. A furnace and humidity-controlled environment chamber were also utilized to replicate the high-temperature and humid conditions encountered in coal mines, assessing the battery's safety and reliability post-puncture. The results revealed the following: ① After puncture by a tungsten needle, the battery exhibited surface deformation and cracking, but no electrolyte leakage, smoke, fire, or explosion occurred, with no gas generation inside. Although the temperature of the punctured battery rose significantly, it remained within a safe range without igniting or exploding, indicating a certain level of thermal stability suitable for coal mine applications. ② The punctured battery expanded notably when heated in the furnace, accompanied by gas leakage; however, no explosion or combustion took place, suggesting thermal stability under specific conditions. ③ In a humid environment, the punctured battery produced gas, leading to increased internal pressure. The combination of puncture and humidity raised the battery's temperature, but the moisture acted as a cooling agent, resulting in a slower temperature increase compared to high-temperature conditions, without triggering explosion or combustion. This indicated that the battery maintained thermal stability in humid environments and did not exhibit thermal runaway.

     

/

返回文章
返回