高阶煤吸附孔结构特征及其对甲烷吸附能力的影响

Features of adsorption pore structure in high-rank coal and its influence on methane adsorption capability

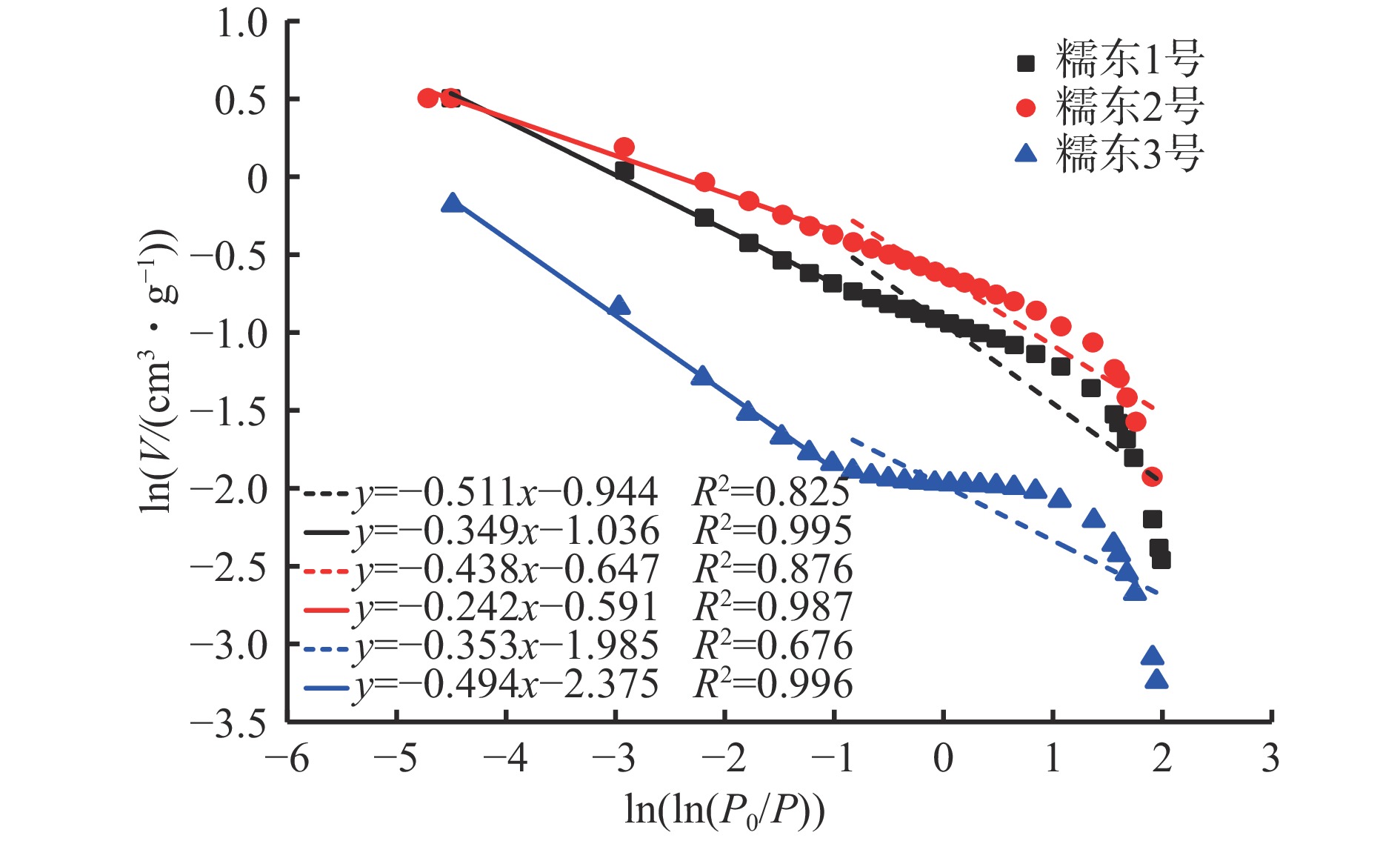
  • 摘要: 孔隙结构对煤层吸附甲烷的能力有显著影响,但目前对高阶煤吸附孔结构特征及其对甲烷吸附能力的影响研究较少。以贵州兴安煤业有限公司糯东煤矿高阶煤样为研究对象,采用低温N2吸附和低温CO2吸附试验,结合分形理论研究了高阶煤吸附孔的孔隙结构特征,并通过高压等温甲烷吸附试验,分析了煤储层物性、孔隙结构特征和分形维数对甲烷吸附能力的影响。结果表明:① 高阶煤储层孔隙形态较为单一,多数为两端开放的平行板孔和狭缝型孔,微孔在煤的孔隙结构中占主导地位,其孔体积和孔比表面积占比均大于98%,为气体的富集提供了空间。② 以不同孔径段的孔体积占比为权重计算高阶煤孔隙的综合分形维数,微孔分形维数在综合分形维数中占主导地位;煤样孔隙结构具有明显的分形特征,孔隙非均质性较强。③ Langmuir模型能很好地描述高阶煤的吸附行为,煤储层物性、孔隙结构和分形维数对甲烷吸附能力影响显著,Langmuir体积与最大镜质体反射率、镜质组含量、灰分含量和水分含量呈线性正相关关系,与惰质组含量呈线性负相关关系;Langmuir体积与吸附孔的孔比表面积和孔体积均呈线性正相关关系,Langmuir体积与分形维数呈弱线性关系。研究结果可为黔西南地区高阶煤层气勘探开发及煤矿瓦斯灾害防治提供理论指导。

     

    Abstract: The pore structure has a significant impact on the capability of coal seams to adsorb methane. But there is currently limited research on the features of adsorption pore structure in high-rank coal and its influence on methane adsorption capability. Taking the high-rank coal samples from Nuodong Coal Mine of Guizhou Xing'an Coal Industry Co., Ltd. as the research object, low-temperature N2 adsorption and low-temperature CO2 adsorption experiments are conducted. Combined with fractal theory, this paper studies the pore structure features of high-rank coal adsorption pores. Through high-pressure isothermal methane adsorption experiments, the influence of coal reservoir properties, pore structure features, and fractal dimension on methane adsorption capability is analyzed. The results show the following points. ① The pore morphology of high-rank coal reservoirs is relatively simple, mostly consisting of parallel plate pores and narrow slit pores with open ends. Micro pores dominate the pore structure of coal, with pore volume and pore specific surface area accounting for more than 98%, providing space for gas enrichment. ② The method calculates the comprehensive fractal dimension of high-rank coal pores based on the proportion of pore volume in different aperture segments, with micropore fractal dimension dominating the comprehensive fractal dimension. The pore structure of coal samples has obvious fractal features and strong heterogeneity of pores. ③ The Langmuir model can describe the adsorption behavior of high-rank coal. The physical properties, pore structure, and fractal dimension of coal reservoirs have a significant impact on methane adsorption capability. Langmuir volume is linearly positively correlated with maximum vitrinite reflectance, vitrinite content, ash content, and moisture content. It is linearly negatively correlated with inertinite content. The Langmuir volume is linearly positively correlated with the pore specific surface area and pore volume of the adsorption pores. The Langmuir volume is weakly linearly correlated with the fractal dimension. The research results can provide theoretical guidance for the exploration and development of high-rank coalbed methane and the prevention and control of coal mine methane disasters in southwestern Guizhou.

     

/

返回文章
返回