基于生成对抗网络的井下人员步长估计方法

A method for estimating the step size of underground personnel based on generative adversarial networks

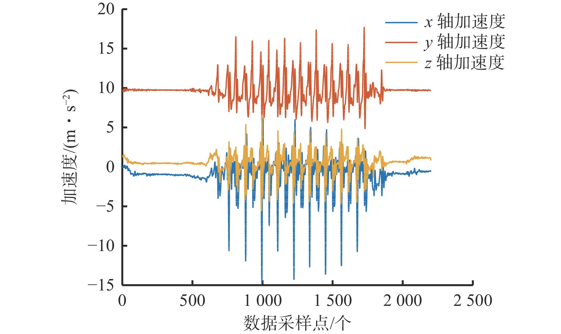
  • 摘要: 针对基于行人航位推算(PDR)的煤矿井下人员定位系统中步长估计存在累计误差及传统深度学习方法所需数据集样本过大的问题,提出了一种基于生成对抗网络(GAN)的井下人员步长估计方法。GAN模型主要包括生成模型和判别模型2个部分,均采用深度神经网络(DNNs)实现。生成模型根据输入数据生成连续的结果分布(即标签),其输出层使用线性激活函数,以保留网络的线性特性,允许模型预测任何人员在行走过程中的步长;判别模型根据输入数据与标签判别是真实标签还是由生成器生成的标签,其输出层使用Sigmoid激活函数,以实现结果的二分类。确定生成模型与判别模型后,GAN模型联合2个模型进行训练,通过构建并优化生成器和判别器之间的动态竞争,使得生成器能够在不断迭代中学会生成更加逼真、难以区分的数据样本。实验结果表明,使用同样训练集及测试集的情况下,GAN模型的平均误差为0.14 m,标准差和均方根误差均小于DNNs模型,最小值均为0.74 m。户外测试结果表明,基于GAN的井下人员步长估计方法在上下坡场景的误差最小值为3.21%,最大值为4.79%;相比于上下坡场景,操场场景的误差更小,最大误差为1.91%。

     

    Abstract: In response to the problems of cumulative errors in step size estimation and the large sample size required by traditional deep learning methods in the pedestrian dead reckoning (PDR) based underground personnel positioning system in coal mines, a step size estimation method for underground personnel based on generative adversarial network (GAN) is proposed. The GAN model mainly includes two parts: generative model and discriminative model, both of which are implemented using deep neural networks (DNNs). The generative model aims to generate continuous result distributions (i.e. labels) based on input data. Its output layer uses a linear activation function to preserve the linear features of the network, allowing the model to predict the step size of any personnel during walking. The discriminant model aims to distinguish whether the input data and labels are real labels or labels generated by the generator. Its output layer uses a Sigmoid activation function to achieve binary classification of results. After determining the generative model and discriminant model, the GAN model combines two models for training. By constructing and optimizing the dynamic competition between the generator and discriminator, the generator can learn to generate more realistic and indistinguishable data samples in continuous iterations. The experimental results show that under the same training and testing sets, the average error of the GAN model is 0.14 m, and the standard deviation and root mean square error are both smaller than those of the DNNs model, with the minimum values being 0.74 m. The outdoor test results show that the GAN based underground personnel step estimation method has a minimum error of 3.21% and a maximum error of 4.79% in uphill and downhill scenarios. Compared to uphill and downhill scenarios, the error in playground scenarios is smaller, with a maximum error of 1.91%.

     

/

返回文章
返回