软硬交错倾斜煤层下煤矿钻孔机器人钻杆系统振动特性研究

Study on vibration characteristics of drill rod system in a coal mine drilling robot under interlaced soft and hard inclined coal seams

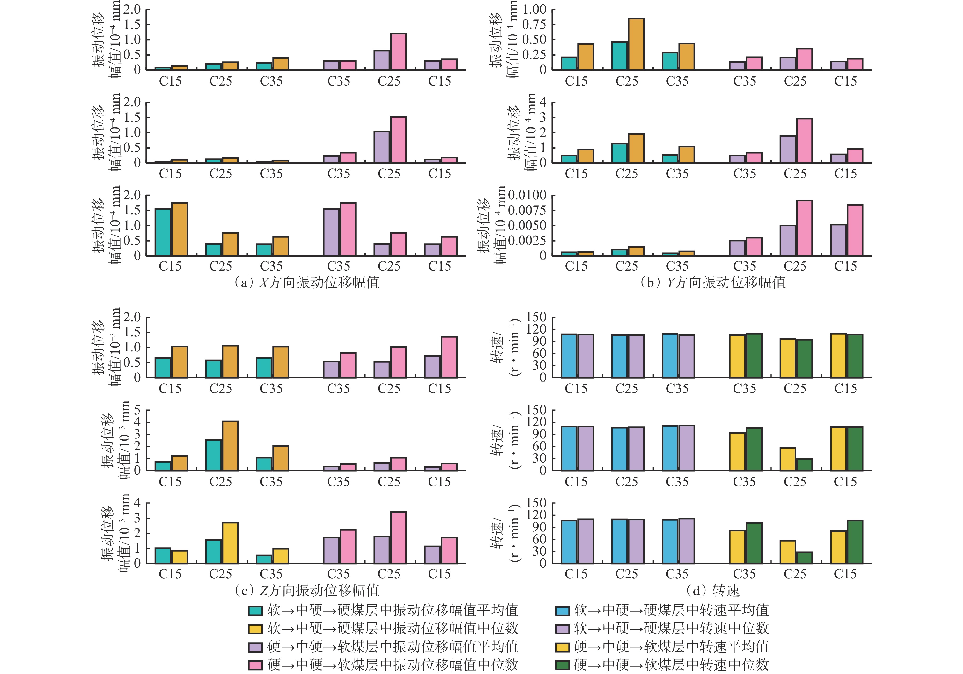
  • 摘要: 煤矿钻孔机器人钻杆系统振动特性的研究是钻进轨迹预测及控制的重要前提。考虑水平钻进过程中钻杆系统与煤层交互约束的复杂机制,搭建煤矿钻孔机器人钻进实验平台及振动监测系统,开展不同软硬煤层及煤层倾斜角度下的水平钻进实验;采用经验模态分解方法对采集数据进行分解、滤波和重构处理,以消除噪声干扰,进而研究软硬交错倾斜煤层下钻孔机器人钻杆系统振动特性。研究结果表明:钻孔机器人无论是在硬→中硬→软煤层还是软→中硬→硬煤层中钻进,钻杆系统的纵向、横向、扭转振动幅度均随煤层倾斜角度的增大而增大;同一煤层倾斜角度下,钻孔机器人在软→中硬→硬煤层中钻进较在硬→中硬→软煤层中钻进时,钻杆系统的纵向、横向及扭转振动幅度更大;煤层倾斜角度较小时,软硬交错煤层对钻杆系统振动特性的影响较大,煤层倾斜角度较大时,煤层倾斜角度对振动特性的影响大于软硬交错煤层的影响;较大的砂石对钻杆系统振动产生一定影响。

     

    Abstract: Research on the vibration characteristics of the drill rod system in a coal mine drilling robot is essential for the prediction and control of drilling trajectories. Considering the complex interaction mechanisms between the drill rod system and coal seams during horizontal drilling, an experimental platform and vibration monitoring system for the coal mine drilling robot were established. Horizontal drilling experiments were conducted under various layering conditions of soft and hard coal seams and different seam inclination angles. The empirical mode decomposition method was used to decompose, filter, and reconstruct the collected data to eliminate noise interference and study the vibration characteristics of the drill rod system under interlaced soft and hard inclined coal seams. The results showed that as the inclination angle of the coal seam increased, the longitudinal, transverse, and torsional vibration amplitudes of the drill rod system increased when the robot was drilling through hard→medium-hard→soft or soft→medium-hard→hard coal seams. At the same inclination angle, the vibration amplitudes in the longitudinal, transverse, and torsional directions were higher when drilling through soft→medium-hard→hard coal seams than through hard→medium-hard→soft seams. When the inclination angle was small, the interlaced soft and hard coal seams had a greater impact on the drill rod system's vibration characteristics, whereas at larger angles, the seam inclination angle had a more significant effect than the layering. Moreover, larger sand and gravel particles had a certain impact on the vibration of the drill rod system.

     

/

返回文章
返回