液压支架关键姿态参数测量系统

Measurement system for key attitude parameters of hydraulic support

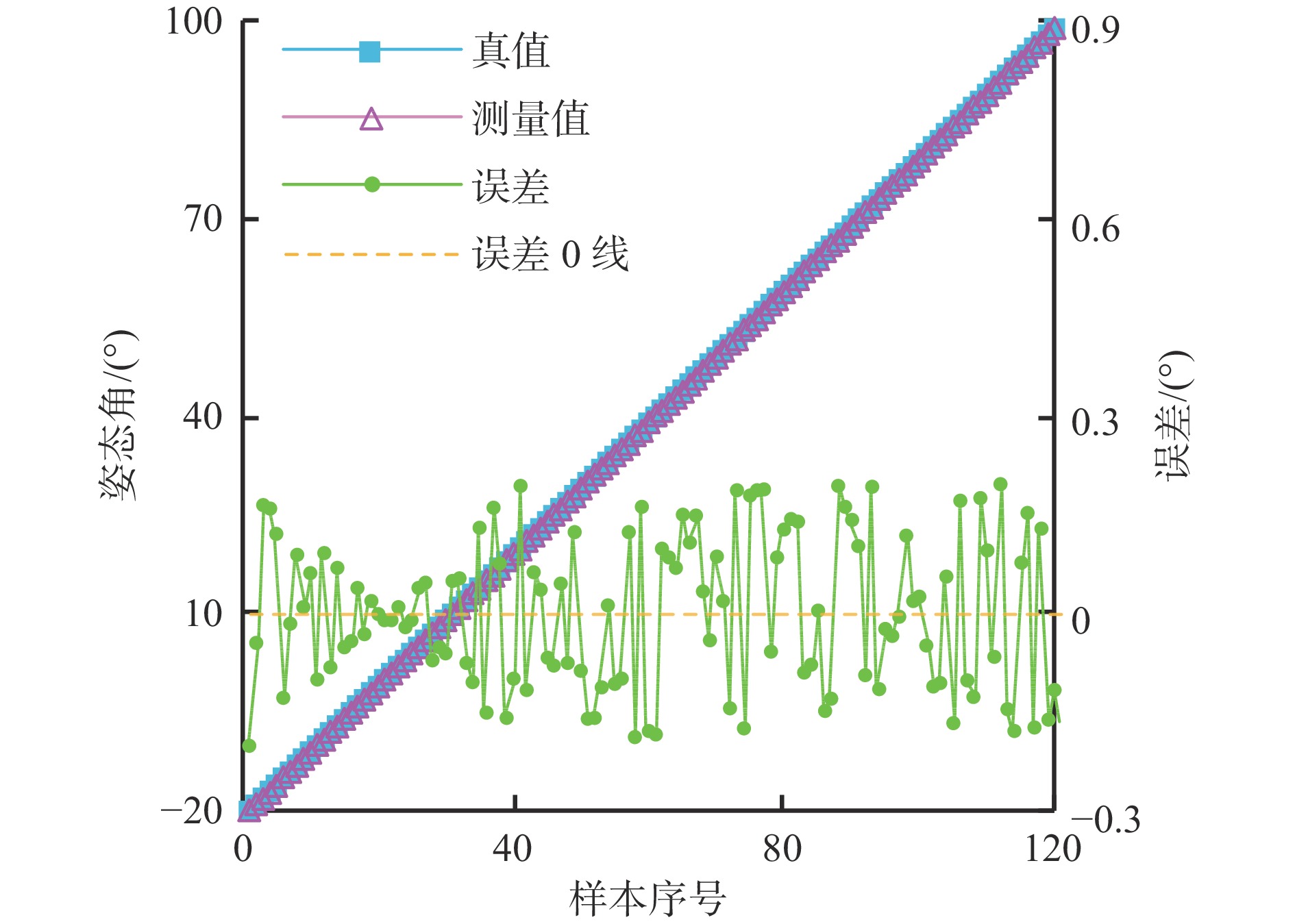
  • 摘要: 针对现有液压支架姿态监测方法测量参数不全面、精度和可靠性不高、工况环境适应性差等问题,提出一种直接测量与间接测量相结合的液压支架关键姿态参数测量系统,研制了以DSP为核心、以MEMS惯导为测量元件、具备LoRa无线通信功能的姿态传感器。分析得出了影响液压支架支护姿态的关键参数,其中底座、前连杆、掩护梁和顶梁与水平面夹角及推移步距采用直接测量方式,支护高度、立柱与平衡千斤顶长度采用间接测量方式。该系统包括安装于底座、前连杆、掩护梁、顶梁处的4个姿态传感器和1个安装于底座的红外激光测距传感器,采用LoRa无线通信方式组网。底座处的姿态传感器作为网关(即网关传感器),用于测量底座与水平面的夹角,控制红外激光测距传感器测量推移步距,并解算支护高度、立柱长度和平衡千斤顶长度;其他3处的姿态传感器作为节点(即节点传感器),用于测量前连杆、掩护梁和顶梁与水平面的夹角,并将获得的角度信息上报至网关传感器。测试结果表明,姿态角测量的最大绝对误差为0.2°,支护高度、立柱长度、平衡千斤顶长度测量的最大百分比相对误差分别为0.78%,0.72%,0.83%,推移步距测量的最大绝对误差为1.9 mm。以ZY9000/22/45D型液压支架为例,分析其在不同姿态角范围下的误差分布,得到支护高度最大测量误差为27.4 mm,立柱长度最大测量误差为16.6 mm。

     

    Abstract: The existing hydraulic support attitude monitoring methods have the problems of incomplete measurement parameters, low precision and reliability, and poor adaptability to working conditions. In order to solve the above problems, a key attitude parameter measurement system for hydraulic supports is proposed. The system combines direct and indirect measurement. An attitude sensor with DSP as the core, MEMS inertial navigation as the measurement element and with LoRa wireless function, is developed. The key parameters affecting the support attitude of hydraulic supports are analyzed. The parameters include the angle between the base, front connecting rod, cover beam, and top beam and the horizontal plane, as well as the displacement distance, which are directly measured. The support height, column, and balance jack length are indirectly measured. The system includes four attitude sensors installed on the base, front connecting rod, cover beam, and top beam, as well as one infrared laser ranging sensor installed on the base. The system is networked using LoRa wireless communication. The attitude sensor at the base serves is used as a gateway (i.e. gateway sensor) to measure the angle between the base and the horizontal plane, control the infrared laser ranging sensor to measure the displacement distance, and calculate the support height, column length, and balance jack length. The other three attitude sensors are served as nodes (i.e. node sensors) to measure the angle between the front connecting rod, cover beam, and top beam and the horizontal plane, and report the obtained angle information to the gateway sensor. The test results show that the maximum absolute error of attitude angle measurement is 0.2°. The maximum percentage relative errors of support height, column length, and balance jack length measurement are 0.78%, 0.72%, and 0.83%, respectively. The maximum absolute error of displacement step measurement is 1.9 mm. Taking the ZY9000/22/45D hydraulic support as an example, the error distribution under different attitude angle ranges is analyzed. The maximum measurement error of the support height is 27.4 mm, and the maximum measurement error of the column length is 16.6 mm.

     

/

返回文章
返回