基于自适应多尺度注意力机制的CNN−GRU矿用电动机健康状态评估

Health status evaluation of CNN-GRU mine motor based on adaptive multi-scale attention mechanism

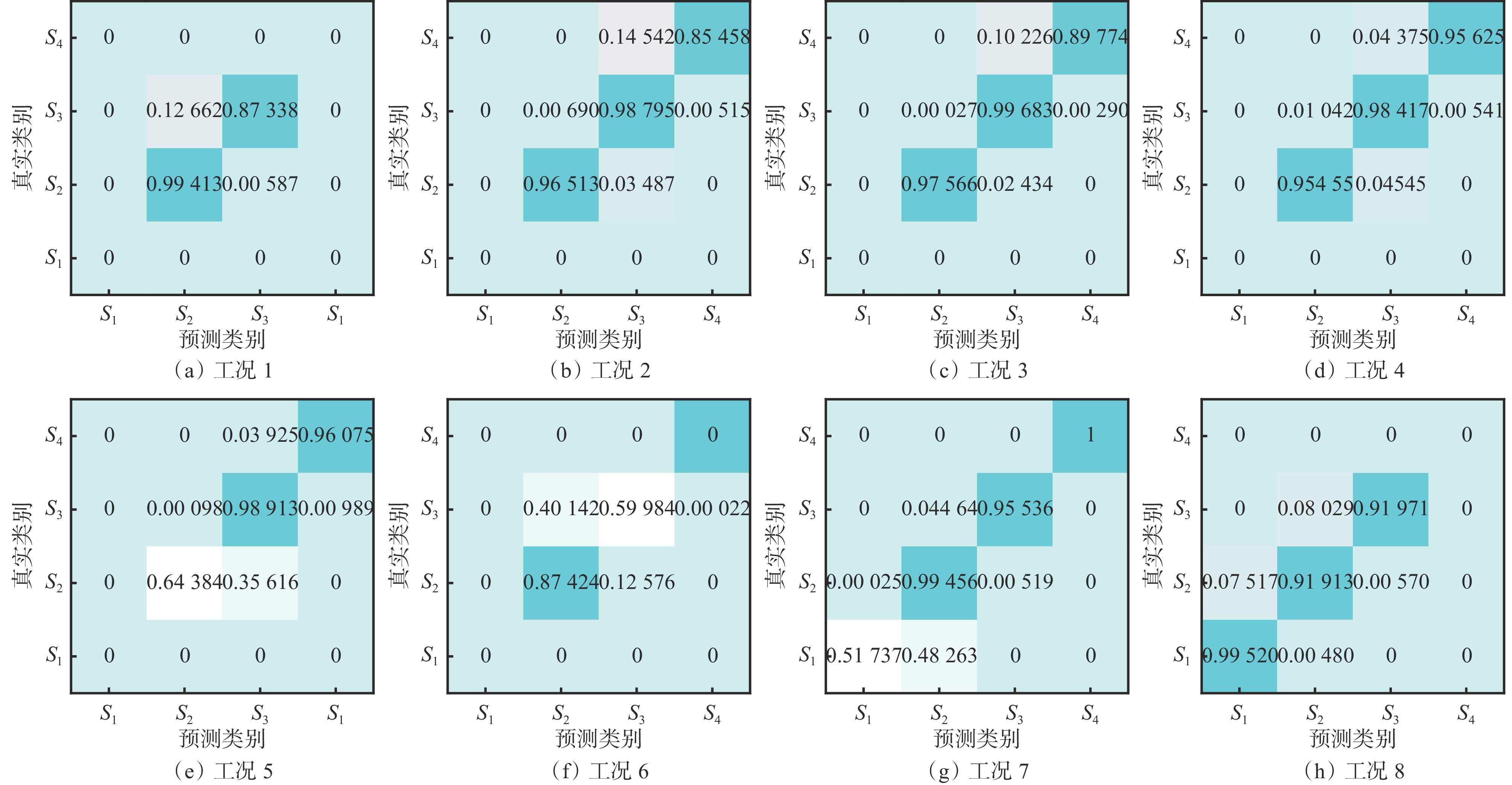
  • 摘要: 利用多传感器信息融合技术进行电动机健康状态评估时,矿用电动机监测数据中存在异常值和缺失值,而卷积神经网络和循环神经网络等深度学习模型在数据质量下降严重的情况下难以有效提取数据特征和更新网络权重,导致梯度消失或爆炸等问题。针对上述问题,提出了一种基于自适应多尺度注意力机制的CNN−GRU(CNN−GRU−AMSA)模型,用于评估矿用电动机健康状态。首先,对传感器采集的电动机运行数据进行填补、剔除和标准化处理,并以环境温度变化作为依据对矿用电动机运行数据进行工况划分。然后,根据马氏距离计算出电动机电流、电动机三相绕组温度、电动机前端轴承温度和电动机后端轴承温度等健康评估指标的健康指数(HI),采用Savitzky–Golay滤波器对指标HI进行降噪、平滑、归一化处理,并结合主成分分析法计算的不同指标对矿用电动机的贡献度,对指标HI进行加权融合得到矿用电动机HI。最后,将矿用电动机HI输入CNN−GRU−AMSA模型中,该模型通过动态调整注意力权重,实现对不同尺度特征的信息融合,从而准确输出电动机健康状态评估结果。实验结果表明,与其他常见的深度学习模型CNN,CNN−GRU,CNN−LSTM,CNN−LSTM−Attention相比,CNN−GRU−AMSA模型在均方根误差、平均绝对误差、准确率、Macro F1及Micro F1等评价指标上更优,且预测残差的波动范围更小,稳定性更优。

     

    Abstract: When using multi-sensor information fusion technology to evaluate the health status of motors, there are outliers and missing values in the monitoring data of mine motors. However, deep learning models such as convolutional neural networks and recurrent neural networks find it difficult to effectively extract data features and update network weights when the data quality is severely degraded, resulting in problems such as vanishing or exploding gradients. In order to solve the above problems, A CNN-GRU (CNN-GRU-AMSA) model based on adaptive multi-scale attention mechanism is proposed to evaluate the health status of mine motors. Firstly, the model fills in, removes, and standardizes the motor operation data collected by sensors, and classifies the operating conditions of mine motors based on environmental temperature changes. Secondly, based on the Mahalanobis distance, the health index (HI) of health evaluation indicators such as motor current, three-phase temperature of motor winding, front bearing temperature of motor, and rear bearing temperature of motor are calculated. The Savitzky Golay filter is used to denoise, smooth, and normalize the HI indicator. Combining the contribution of different indicators calculated by principal component analysis method to mine motors, the weighted fusion of indicator HI is used to obtain the mine motor HI. Finally, the mine motor HI is input into the CNN-GRU-AMSA model, which dynamically adjusts attention weights to achieve information fusion of features at different scales, thereby accurately outputting the health status evaluation results of the motor. The experimental results show that compared with other common deep learning models such as CNN, CNN-GRU, CNN-LSTM, and CNN-LSTM Attention, the CNN-GRU-AMSA model performs better in evaluation metrics such as root mean square error, mean absolute error, accuracy, Macro F1, and MicroF1. The model has a smaller fluctuation range and better stability in predicting residuals.

     

/

返回文章
返回