不同粒径混合煤样瓦斯解吸动力特性研究

Study on gas desorption dynamic features of mixed coal samples with different particle sizes

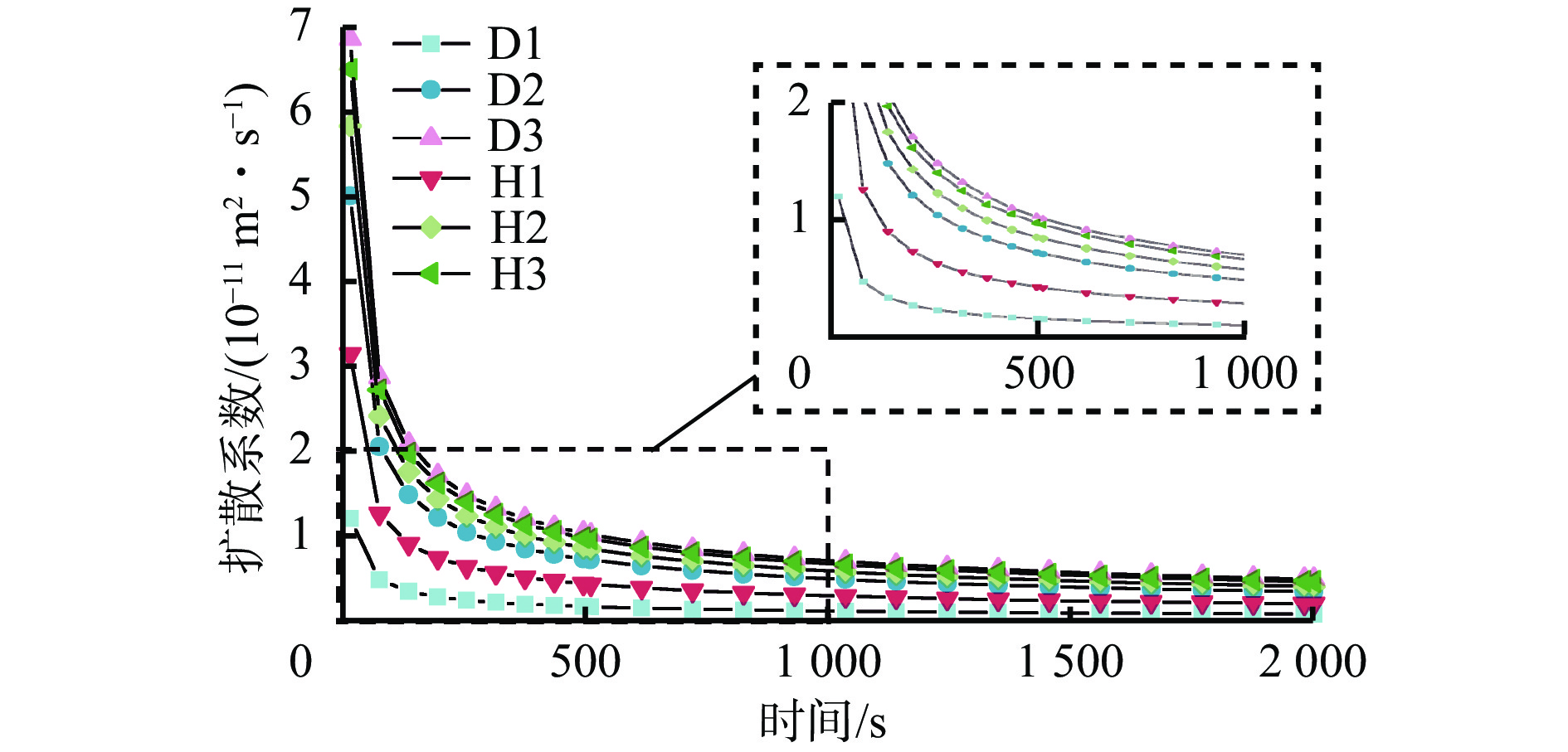
  • 摘要: 目前关于瓦斯解吸动力特性的研究主要集中在单一粒径煤样,而对于不同粒径混合煤样瓦斯解吸动力特性的研究较少。针对该问题,利用含瓦斯煤多场耦合渗流解吸实验系统,将(0,0.25)mm、0.25,0.5)mm、0.5,1 mm 3种粒径煤样按照不同比例混合,开展了不同粒径混合煤样瓦斯解吸实验,分析了不同粒径煤样占比条件下的瓦斯解吸量、扩散系数及解吸衰减系数等瓦斯解吸动力学参数变化特征。结果表明:① 不同粒径混合煤样瓦斯解吸过程中,前期影响瓦斯解吸量的主要因素是粒径大小,后期影响瓦斯解吸量的主要因素是煤样中不同粒径煤样占比大小;小粒径煤颗粒占比越大,煤样瓦斯解吸量越大。② 不同粒径混合煤样瓦斯扩散系数具有时变性,随着瓦斯解吸时间增加,瓦斯扩散系数呈衰减态,最终趋近0;初始瓦斯扩散系数随小粒径颗粒煤占比的增加而减小;③ 小粒径颗粒煤占比越大,瓦斯解吸衰减系数越大。因此,在井下瓦斯含量测定过程中,获取的煤样中应尽可能提高大粒径颗粒煤的占比,以降低取样过程中瓦斯损失量,提高瓦斯含量测定的准确度。

     

    Abstract: Currently, research on the dynamic features of gas desorption mainly focuses on single particle size coal samples. There is less research on the dynamic features of gas desorption of mixed coal samples with different particle sizes. To solve this problem, a multi field coupled seepage desorption experimental system is used to mix coal samples with three different particle sizes (0,0.25) mm, 0.25, 0.5) mm, and 0.5, 1 mm in different proportions. Gas desorption experiments are conducted on mixed coal samples with different particle sizes. The changes in gas desorption kinetic parameters such as gas desorption amount, diffusion coefficient, and desorption attenuation coefficient are analyzed under different particle size coal sample proportions. The results indicate the following points. ① During the gas desorption process of mixed coal samples with different particle sizes, the main factor affecting the gas desorption amount in the early stage is particle size. In the later stage, the main factor affecting the gas desorption amount is the proportion of coal samples with different particle sizes. The larger the proportion of small coal particles, the greater the amount of gas desorption in the coal sample. ② The gas diffusion coefficient of mixed coal samples with different particle sizes exhibits temporal variability. As the gas desorption time increases, the gas diffusion coefficient decreases and eventually approaches 0. The initial gas diffusion coefficient decreases with the increase of the proportion of small particle coal. ③ The larger the proportion of small particle coal, the greater the attenuation coefficient of gas desorption. Therefore, in the process of underground gas content measurement, the proportion of large particle coal in the coal samples obtained should be increased as much as possible to reduce gas loss during the sampling process and improve the accuracy of gas content measurement.

     

/

返回文章
返回