基于PSO−BP神经网络的临时支架支撑力自适应控制

Adaptive control of temporary support force based on PSO-BP neural network

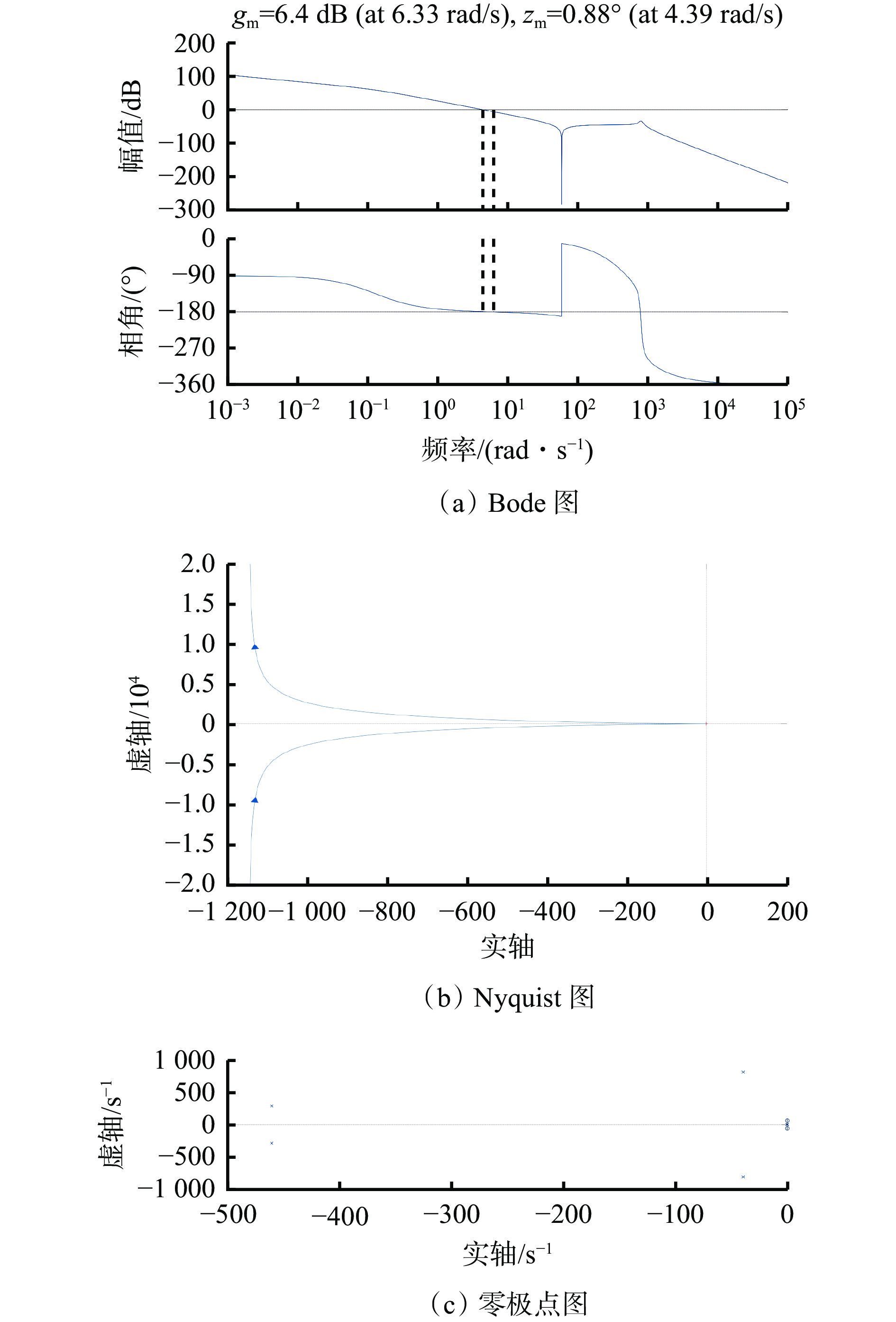
  • 摘要: 为了使临时支架的支撑力更好地与矿压相适应,提高支架的支护能力,以双联自移式临时支架为研究对象,提出了基于粒子群优化(PSO)−BP神经网络的临时支架支撑力自适应控制方法。利用PSO算法的全局搜索能力及快速收敛特性对BP神经网络的初始权值进行优化,提高BP神经网络的收敛速度;再通过优化后的BP神经网络实现PID参数在线自调整,构建PSO−BP神经网络优化PID控制器,使临时支架的支撑力更快速、准确地达到预定值,实现临时支架支撑力自适应控制,避免因支护力和顶板压力不匹配而对顶板造成破坏。用单位阶跃信号模拟临时支护支架的期望初撑力进行实验验证,结果表明,与BP神经网络优化PID控制器及传统PID控制器相比,PSO−BP神经网络优化PID控制器可以更快、更准确地达到预期的初撑力,调整时间仅为0.5 s且基本不存在超调。根据实际地质条件仿真模拟开挖支护过程中支架受到的顶板压力,研究3种控制器的支撑力自适应控制效果,结果表明,在PSO−BP神经网络优化PID控制器的控制下,系统误差仅为0.02 MPa,误差最小,控制效果最好。

     

    Abstract: In order to make the temporary support force better adapt to the mine pressure and improve the support capacity of the support, taking the dual self-moving temporary support as the research object, an adaptive control method of temporary support force based on particle swarm optimization (PSO) - BP neural network is proposed. The initial weights of the BP neural network are optimized by using the global search capability and fast convergence features of the PSO algorithm to improve the rate of convergence of the BP neural network. Then, the optimized BP neural network is used to achieve online self-adjustment of PID parameters. The PSO-BP neural network is constructed to optimize the PID controller. This enables the temporary support force to reach the predetermined value more quickly and accurately, achieving adaptive control of the temporary support force. It avoids damage to the roof due to the mismatch between support force and roof pressure. The expected initial support force of the temporary support is simulated using unit step signals for experimental verification. The results show that compared with the BP neural network optimized PID controller and traditional PID controller, the PSO-BP neural network optimized PID controller can achieve the expected initial support force faster and more accurately. The adjustment time is only 0.5 s and there is almost no overshoot. Based on actual geological conditions, the roof pressure on the support during excavation support is simulated. The adaptive control effect of three controllers for support force is studied. The results show that under the control of the PSO-BP neural network optimized PID controller, the system error is only 0.02 MPa, with the smallest error and the best control effect.

     

/

返回文章
返回