基于超声阵列的输送带动态煤量检测系统

A dynamic coal quantity detection system for conveyor belt based on ultrasonic array

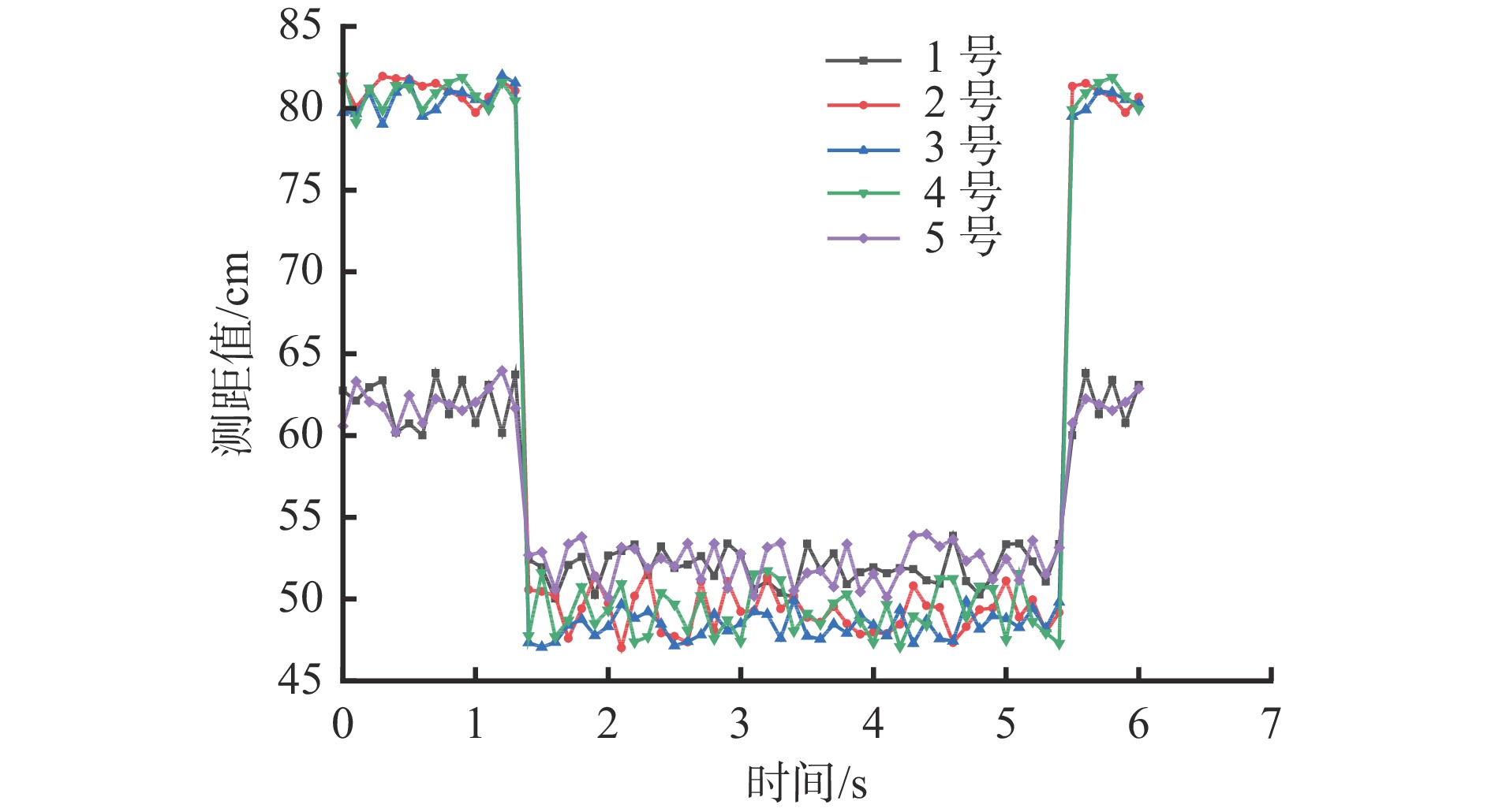
  • 摘要: 输送带动态煤量检测是实现顺煤流启动和自动调速等多级带式输送机能耗优化措施的基础和关键。针对现有基于超声波的煤量检测方法精度较低、多超声波传感器之间易受干扰等问题,设计了基于超声阵列的输送带动态煤量检测系统。利用超声波测距原理,通过超声阵列实时检测各超声波传感器阵元对应检测点的煤料高度,采用横截面切片法计算单位时间内输送带上通过煤料的总体积,结合煤料堆积密度计算输送带实时煤流量及总煤量。为降低同频声波串扰及超声波在井下恶劣环境中衰减带来的误差,选用10路中心频率不同的超声波传感器阵元,布置为2×5线性阵列形式,通过多行超声波传感器对采集的煤高数据进行补偿,以提高煤高数据检测准确性。实时性分析结果表明,超声阵列检测速度在理论上满足带速为5 m/s的带式输送机煤量检测要求。实验结果表明:在0.125,0.170 m/s带速下,规则物料体积检测的平均相对误差分别为4.99%,5.16%;模拟实际工况条件下,煤量检测的平均相对误差为5.56%。在低带速状态下,该系统对规则物料和煤料的测量准确度达94%以上,基本实现了输送带动态煤量实时准确检测,满足带式输送机煤量检测需求。

     

    Abstract: Dynamic coal quantity detection for conveyor belt is the foundation and key to achieving energy consumption optimization measures for multi-stage belt conveyors such as coal flow starting and automatic speed regulation. The existing coal quantity detection methods based on ultrasonic have low precision. Multiple ultrasonic sensors are susceptible to interference. In order to solve the above problems, a dynamic coal quantity detection system for conveyor belts based on ultrasonic array is designed. Using the principle of ultrasonic ranging, the coal material height corresponding to the detection points of each ultrasonic sensor array element is detected in real-time through an ultrasonic array. The cross-section slicing method is used to calculate the total volume of coal material passing through the conveyor belt per unit time. The real-time coal flow and total coal quantity of the conveyor belt are calculated based on the coal material stacking density. In order to reduce the crosstalk of the same frequency acoustic wave and the error caused by the attenuation of ultrasonic waves in harsh underground environments, 10 ultrasonic sensor arrays with different center frequencies are selected and arranged in a 2×5 linear array form. The collected coal height data is compensated through multiple rows of ultrasonic sensors to improve the accuracy of coal height data detection. The analysis results of real-time performance indicate that the ultrasonic array detection speed theoretically meets the coal quantity detection requirements of a belt conveyor with a belt speed of 5 m/s. The experimental results show that the average relative errors of regular material volume detection are 4.99% and 5.16% at belt speeds of 0.125 m/s and 0.170 m/s, respectively. Under simulated actual operating conditions, the average relative error of coal quantity detection is 5.56%. In the low belt speed state, the system has a measurement accuracy of over 94% for regular materials and coal. It basically achieves real-time and accurate detection of the dynamic coal quantity of the conveyor belt, meeting the coal quantity detection requirements of the belt conveyor.

     

/

返回文章
返回