Abstract:
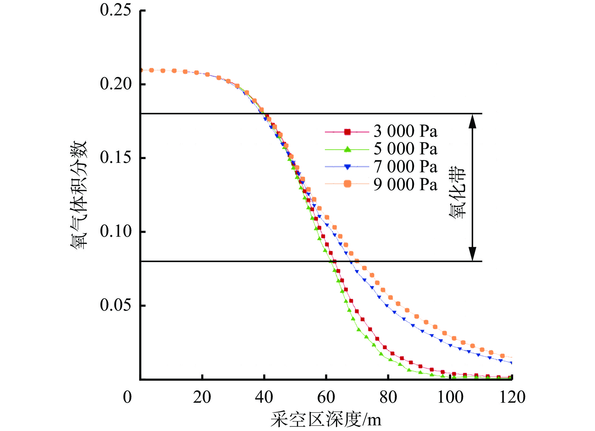
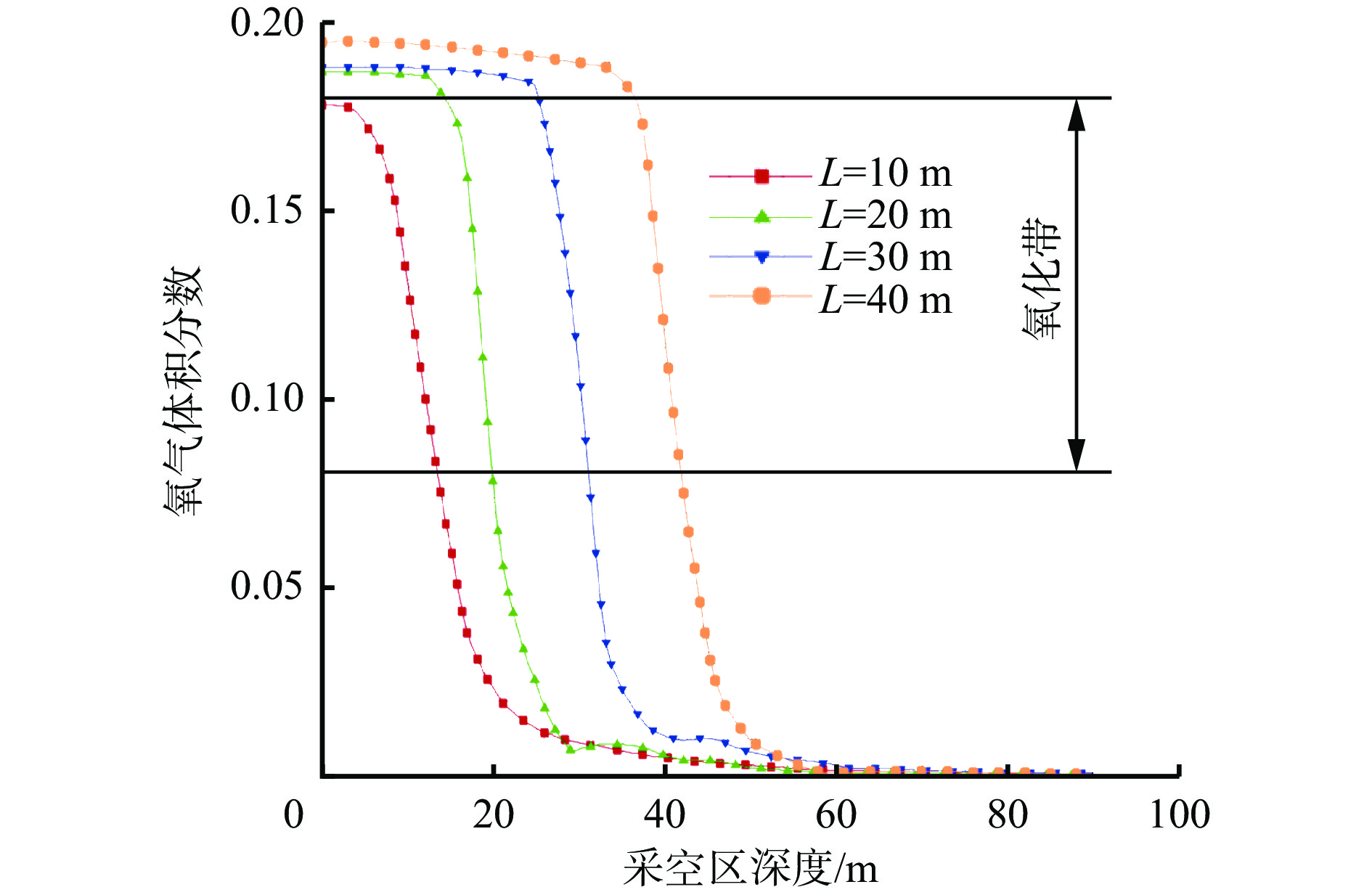
Gas extraction is one of the commonly used methods for controlling the mine disasters. But during the extraction process, it will increase the amount of air leakage in the goaf, thereby increasing the risk of coal spontaneous combustion and directly affecting the distribution of coal spontaneous combustion dangerous areas in the goaf. Taking the 30503 working face of Tashan Coal Mine of China Coal Datong Energy Co., Ltd. as the research object, according to the actual situation of the goaf, a geometric model is established. The numerical simulation methods is used to analyze the impact of different buried pipe extraction positions and extraction negative pressure on the dangerous area of coal spontaneous combustion in the goaf. The results show the following points. ① With the deepening of the extraction position of the buried pipe on the inlet side, the oxygen volume fraction on the return side shows an increasing trend. The width of the oxidation zone does not change much. The overall oxygen volume fraction on the inlet side shows a decreasing trend, and the width of the oxidation zone first decreases and then increases. The oxidation zone area in the goaf first decreases and then increases. ② In the inlet side of the fixed buried pipe extraction position, the change of the negative pressure of extraction has a greater effect on the oxygen distribution on the inlet side of the extraction zone, while it has almost no effect on the return side. ③ As the negative pressure of extraction increases, the width of the oxidation zone on the inlet side first decreases and then increases, while the width of the oxidation zone on the return side remains almost unchanged. The area of the oxidation zone in the goaf first decreases and then increases. The relationship between the oxidation zone area and the extraction negative pressure is a quadratic function. ④ The optimal position for buried pipe extraction is at a distance of 20 m from the air inlet side of the goaf to the working face. The optimal negative pressure for extraction is 5 000 Pa. At this time, the oxidation zone area of the goaf is the smallest, that is, the coal spontaneous combustion danger area is the smallest.