低位巷瓦斯抽采条件下采空区遗煤自燃规律研究

Study on spontaneous combustion law of residual coal in goaf under the condition of gas extraction in the low-level roadway

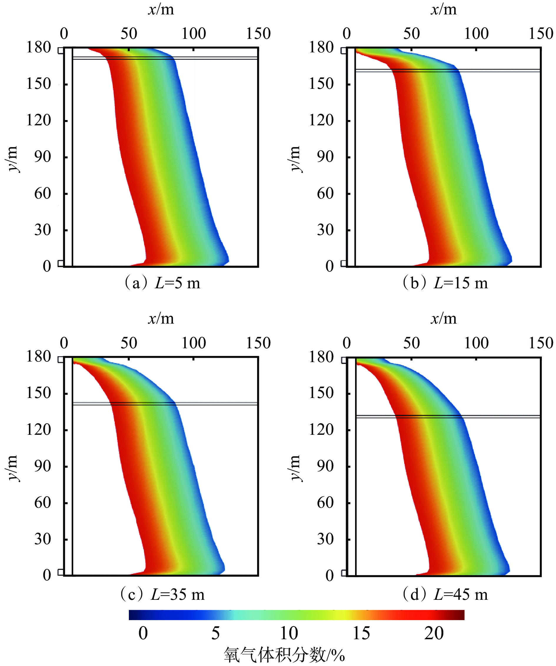
  • 摘要: 煤层顶板布置低位巷抽采瓦斯是解决工作面上隅角瓦斯超限问题的重要技术措施,但低位巷大流量混合抽采造成采空区漏风严重,增加遗煤自燃风险。目前针对低位巷布置与抽采流量协同影响采空区遗煤自燃方面的研究较少。针对贾家沟煤矿10106工作面布置低位巷抽采采空区瓦斯的实际情况,采用COMSOL软件建立了非均质采空区三维流−固−热多场耦合数值模型,通过数值模拟分析了低位巷抽采瓦斯诱导采空区遗煤自燃规律,结果表明:低位巷瓦斯抽采能够降低工作面上隅角瓦斯浓度;瓦斯抽采流量与自燃氧化带最大宽度、采空区最高温度呈正比,抽采流量增加,则自燃氧化带最大宽度和采空区最高温度增加,但过高的抽采压力导致上隅角附近空气“回流”至采空区,增加采空区遗煤自燃风险;当低位巷瓦斯抽采流量一定时,内错距越小,则采空区自燃氧化带最大宽度和最高温度越大。结合数值模拟结果与工程实践,确定贾家沟煤矿低位巷内错距为15 m,瓦斯抽采流量为45 m3/min,此时上隅角瓦斯体积分数为0.875%,采空区自燃氧化带最大宽度为59.14 m,有效解决了上隅角瓦斯浓度超限问题,且未显著增大采空区遗煤自燃危险区域。

     

    Abstract: The gas extraction in the low-level roadway in the coal seam roof is an important technical measure to solve the problem of gas concentration exceeding the limit in the upper corner of the working face. But the high-flow mixed extraction in the low-level roadway causes serious air leakage in goaf and increases the risk of spontaneous combustion of residual coal. At present, there are few studies on the synergistic effect of low-level roadway layout and extraction flow on the spontaneous combustion of residual coal in goaf. According to the actual situation of gas extraction in existing goaf with the low-level roadway in 10106 working face of Jiajiagou Coal Mine, a three-dimensional fluid-solid-thermal multi-field coupling numerical model of heterogeneous goaf is established by COMSOL software. The spontaneous combustion law of residual coal in goaf induced by gas extraction in the low-level roadway is analyzed by numerical simulation. The results show that gas extraction in the low-level roadway can reduce the gas concentration in the upper corner of the working face. The gas extraction flow rate is proportional to the maximum width of the spontaneous combustion oxidation zone and the maximum temperature of goaf. With the increase of gas extraction flow rate, the maximum width of the spontaneous combustion oxidation zone and the maximum temperature of goaf will increase. But too high gas extraction pressure will cause the air near the upper corner to "flow back" to the goaf. This will increase the risk of spontaneous combustion of residual coal in goaf. When the gas extraction flow rate of low-level roadway is constant, the smaller the dislocation distance is, the larger the maximum width and the maximum temperature of the spontaneous combustion oxidation zone in goaf are. Combined with the numerical simulation results and engineering practice, it is determined that the dislocation distance in the low-level roadway of Jiajiagou Coal Mine is 15 m. The gas extraction flow rate is 45 m3/min. The gas volume fraction in the upper corner is 0.875% and the maximum width of the spontaneous combustion oxidation zone in goaf is 59.14 m. The scheme effectively solves the problem of gas concentration exceeding the limit in the upper corner. The risk area of spontaneous combustion of residual coal in goaf is not significantly increased.

     

/

返回文章
返回