矿井主要通风机切换过程供给风量优化控制研究

Study on the optimal control of supply air volume in switchover process of mine main ventilators

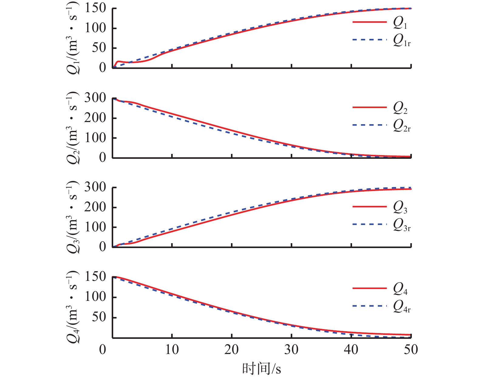
  • 摘要: 矿井主要通风机切换过程中存在供给风量大范围波动甚至中断问题,易导致瓦斯浓度超限。常用的基于模型的主要通风机切换控制方法难以很好地对约束进行处理,基于智能算法的控制方法依赖专家知识和经验,具有主观性和随意性。针对上述问题,以中国平煤能源化工集团有限责任公司二矿主要通风机切换过程为研究背景,研究了主要通风机切换过程供给风量优化控制问题。基于流体动力学方程和图论概念,建立了主要通风机切换过程动态模型,并采用泰勒展开式对其进行线性化处理,以降低计算复杂度。考虑矿井主要通风机切换过程具有强非线性、系统状态受约束,且为离散的多输入多输出系统,采用模型预测控制(MPC)算法研究风量控制问题,设计了主要通风机切换过程MPC系统,将风量优化转换为二次规划问题。采用原对偶神经网络在线求解优化问题,实现主要通风机切换过程的供给风量实时优化控制。试验结果表明:MPC系统可有效实现主要通风机切换,切换过程中4个风门风量可很好地跟踪参考值;各采样时刻运算时间为0.027 s,满足切换过程实时性要求;供给风量波动最大值仅为0.9%,明显优于传统PID控制效果。

     

    Abstract: The supply air volume fluctuates in a large range or even interrupts during the switching process of mine main ventilators, which is easy to cause the gas concentration to exceed the limit. The commonly used model-based main ventilator switchover control method is difficult to handle the constraints well. The intelligent algorithm relies on expert knowledge and experience, which is subjective and arbitrary. In order to solve the above problems, taking the switchover process of main ventilators in the No.2 Mine of China Pingmei Energy and Chemical Group Co., Ltd. as the research background, the optimal control of supply air volume in the switchover process of main ventilators is studied. Based on the hydrodynamics equation and the concept of graph theory, the dynamic model of the main ventilator switchover process is established. The Taylor expansion is used to linearize it to reduce the computational complexity. The switchover process of mine main ventilator is strongly nonlinear, and the system state is constrained. It is a discrete multi-input and multi-output system. The model predictive control (MPC) algorithm is used to study the air volume control problem. The MPC system of the main ventilator switchover process is designed, which converts the air volume optimization into a quadratic programming problem. The primal-dual neural network is used to solve the optimization problem online to realize the real-time optimal control of the supply air volume during the main ventilator switchover process. The test results show that the MPC system can effectively switch the main ventilator, and the air volume of four air doors can well track the reference value during the switchover process. The operation time of each sampling time is 0.027 s, which meets the real-time requirements of the switchover process. The maximum fluctuation of supply air volume is only 0.9%, which is significantly better than the traditional PID control effect.

     

/

返回文章
返回