陈梓华, 李敬兆
(安徽理工大学 电气与信息工程学院, 安徽 淮南 232001)
摘要:针对现有煤矿安全隐患智能语义采集与决策系统存在欠缺智能语义提取功能和多属性互联检索分析与决策功能、智能化程度不高等问题,设计了一种基于改进卷积神经网络(CNN)和蚁群算法(ACO)的煤矿安全隐患智能语义采集与智慧决策支持系统。该系统采用基于CNN的智能语义采集模型,利用CNN算法匹配出相似度最高的近义关键词,通过映射表关联到标准关键词,解决了相近语义的关键词匹配精度不高的问题;采用基于ACO的智慧检索模型,通过ACO算法负反馈和正向加强的方式标记高频度检索条例,实现了被检索的高频度条例的智能显示。实验与应用结果表明,该系统可实现多属性语义关键词的互联查询、高频度检索条例的智能显示、隐患问题相关数据的实时跟踪、数据统计图的多样化显示、决策分析预警简报的智能生成等功能。
关键词:煤矿安全; 隐患排查; 语义分析; 语义智能采集; 语义智慧检索; 多属性互联检索; 卷积神经网络;蚁群算法
中图分类号:TD76
文献标志码:A
网络出版地址:http://kns.cnki.net/kcms/detail/32.1627.TP.20181025.1651.002.html
CHEN Zihua, LI Jingzhao
(School of Electrical and Information Engineering, Anhui University of Science and Technology, Huainan 232001, China)
Abstract:In view of problems of lacking intelligent semantic extraction function and multi-attribute interconnection retrieval analysis and decision function,and low intelligence degree in existing intelligent semantic acquisition and decision system of coal mine safety hazards, a kind of intelligent semantic acquisition and smart decision support system of coal mine safety hazards based on improved convolutional neural network (CNN) and ant colony optimization (ACO) was designed. The system adopts CNN-based intelligent semantic acquisition model, and uses CNN algorithm to match the close semantic keywords with the highest similarity, and uses mapping table to concern the standard keywords, so as to solve problem of low matching accuracy of semantic keywords. The system adopts ACO-based intelligent retrieval model, and uses negative feedback and positive reinforcement method of ACO algorithm to mark high-frequency retrieval rules, so as to realize intelligent display of high-frequency retrieval rules. The experiment and application results show that the system can realize functions such as interconnection query of multi-attribute semantic keywords, intelligent display of high-frequency retrieval rules, real-time tracking of data related to hidden danger, and diversified display of data charts, intelligent generation of decision analysis and early warning reports.
Key words:coal mine safety; hazard indentification; semantic analysis; intelligent semantic acquisition; intelligent semantic retrieval; multi-attribute interconnection retrieval;convolutional neural network; ant colony optimization
收稿日期:2018-09-11;
修回日期:2018-10-20;
责任编辑:张强。
基金项目:国家自然科学基金项目(51874010, 61170060);重大创新平台及高校创新人才团队_矿山物联网研发团队项目(2017A053);安徽省学术和技术带头人学术科研活动资助项目(2015D046);安徽省高等学校优秀拔尖人才资助项目(gxbjZD2016044)。
作者简介:陈梓华(1993-),男, 安徽淮南人,硕士研究生,主要研究方向为物联网应用、计算机应用,E-mail:Czh1619@126.com。通信作者:李敬兆(1964-),男,安徽淮南人,教授,博士,博士研究生导师,主要研究方向为物联网工程技术、嵌入式系统,E-mail:jzhli@aust.edu.cn。
引用格式:陈梓华,李敬兆.煤矿安全隐患智能语义采集与智慧决策支持系统[J].工矿自动化,2018,44(11):7-13.
CHEN Zihua, LI Jingzhao. Intelligent semantic acquisition and smart decision support system of coal mine safety hazards[J].Industry and Mine Automation,2018,44(11):7-13.
文章编号:1671-251X(2018)11-0007-07
DOI:10.13272/j.issn.1671-251x.2018090031
近年来,尽管煤矿企业在煤矿安全方面加大重视和投入,但煤矿安全事故仍时有发生。经过调研分析发现,大量煤矿事故是由于安全隐患没有及时得到排查和解决导致的[1]。煤矿企业迫切需要能自动提取语义特征信息、智能地进行安全隐患决策分析的煤矿安全隐患智能处理系统。
目前,煤矿企业通过实时采集隐患排查数据,并将数据录入后台系统数据库,实现对安全隐患数据的处理,但该方法存在以下问题:基本数据杂乱无章,缺少规范性;数据整理能力不强,Web数据库建设不完善[2-3];缺少智能多属性互联数据分析工具等。如何高效、快捷提取到语义特征,准确提取到关键性语义,智能地从海量的数据库中分析出煤矿安全隐患问题,这对于煤矿安全生产有着重要意义。
现阶段国内外针对煤矿安全隐患智能语义采集与决策系统的研究,主要是对基于语义特征的提取和文本数据检索方法的研究。语义特征提取大多数是通过设计深度学习算法和机器学习方法为各种词性附加权值,从而构造相应的信息提取模型[4-6];也有一部分特征提取采用的是相似关键字匹配方法[7-10]。煤矿文本数据检索最常用的方法是关键词比对检索方法[11-12]。陈小林[13]提出了一种煤矿安全隐患量化管理信息化的解决方案,建立了安全隐患库,该库可以随着煤矿的生产过程不断补充完善,把矿井可能存在的安全隐患进行规范化描述,提供了安全隐患处理建议,并且按安全隐患所属的不同专业及危险度等级进行了分类。该方案提高了安全隐患的处理速度及处理的准确性,但对于关键词智能语义提取方面未涉及,无法针对特定具体问题进行检索分析,智能化程度不高,且不能解决煤矿企业条例检索的关键词提取问题。王海荣[14]针对Web数据库数据查询不准确问题,提出了构建基于智能语义自相关特征的Web数据库优化识别查询模型,实现了智能查询、数据的纠错、消重、整合等功能,极大提升了数据的检索精确度,但未涉及多属性互联分析和智慧决策功能,且只是在数据库层次上进行处理,对后台系统检索功能也未涉及。
针对上述研究存在欠缺智能语义提取功能和多属性互联检索分析与决策功能及智能化程度不高等问题,本文通过构建基于卷积神经网络(Convolutional Neural Network,CNN)语义分析的智能提取模型和深度蚁群频度智慧检索模型,设计了一种基于改进CNN和蚁群算法 (Ant Colony Optimization,ACO)的煤矿安全隐患智能语义采集与智慧决策支持系统。该系统具有多属性语义关键词的互联查询、高频度检索条例的智能显示、隐患排查数据的实时跟踪、隐患整改数据统计图的多样化显示、决策简报的智能生成等功能,解决了人工处理数据的低效率、高成本问题,同时,也降低了煤矿安全隐患的发生频率。
煤矿安全隐患智能语义采集与智慧决策支持系统分为数据采集层、模型描述层、频度检索层、智慧决策层,如图1所示。

图1 煤矿安全隐患智能语义采集与智慧
决策支持系统体系结构
Fig.1 Structure of intelligent semantic acquisition and
smart decision support system of coal mine safety hazards
数据采集层由安全人员通过智能语义采集与智慧决策支持系统将检查的数据以规范化的数据结构存储到标准数据库中,并建立关键词语义相似数据库,以方便后续进行语义分析提取。采用动态调用数据表的形式将相关数据绑定到复选框(Dropdownlist),以供安全人员选择;前期数据录入完毕后,构建初始近义词数据库与关键词标准数据库,规范统一了数据库中关键词的表示形式,同时,建立映射表将2个数据库关联起来,为下一步建立模型做准备。数据采集层结构如图2所示。

图2 数据采集层结构
Fig.2 Structure of data acquisition layer
模型描述层是系统的核心,通过推理引擎设计构建智能采集模型和智慧检索模型,提出解决安全隐患问题的算法思想,如图3所示。

图3 模型描述层结构
Fig.3 Structure of model description layer
物理模型是指相近语义关键词所构成的近义词数据库,该近义词数据库与标准关键词数据库呈多对一映射关系。逻辑模型是煤矿安全隐患数据采集与系统智慧决策的工具,以改进CNN算法与ACO算法为基础,实现系统智能化功能。推理引擎是一个基于面向对象架构模型的计算环境,包括初始对象建立、语义分析、算法设计、实例化对象等。
频度检索层是将模型描述层建立的模型运用到煤矿安全隐患信息检索中,通过相关语义服务器检索后,将某一段时间内的检索信息显示在前台系统页面上。通过上一层的改进CNN算法模型处理后得到映射的标准关键词,调用系统智能采集模型推理出来的标准关键词,进行安全条例的精确查询,得到高精确度检索结果;同时访问本地服务器中的Session,通过基于ACO的智慧检索模型获取到相应检索频度较高的安全条例,并通过正反馈方式对该安全条例进行加强标识并显示出来,方便工作人员进行下一次信息录入选择,为智慧决策层的决策工作提供参考。频度检索层结构如图4所示。

图4 频度检索层结构
Fig.4 Structure of frequency retrieval layer
智慧决策层是通过对某一段时间的煤矿信息多属性互联检索对相关数据进行统计,以图形的形式进行分析,从而实现智慧决策的功能。煤矿安全人员在系统检索界面选择多属性互联查询条件组后,系统进行数据库数据检索,并实时更新数据,通过实时统计多属性互联检索的数据,设定某些条件阈值(如本系统中区别一般隐患、严重隐患的阈值)来统计该段时间煤矿安全隐患的情况,利用数据决策统计图的方式从海量数据中清晰、简明且动态反映出煤矿安全隐患问题的变化趋势;同时后台系统通过特定程序生成规定格式的决策分析简报,智能分析煤矿各类安全隐患问题的发生情况,以便制定措施及时整改,减少或杜绝安全事故的发生。智慧决策层结构如图5所示。

图5 智慧决策层结构
Fig.5 Structure of smart decision layer
基于CNN的智能语义采集模型的构建过程如图6所示。首先建立匹配矩阵,通过向量的表示方式将输入的关键词与近义词数据库中的关键词依据规则库变成由0和1组成的向量,使用余弦相似度计算公式来定义词与词之间的相似度;然后将录入的关键词与数据库中相近关键词的空间位置构建成一个二维结构,类似于一个平面图像;之后,使用CNN进行建模,在卷积层设计卷积核进行特征提取和自抽样,生成多张过滤表(filter),再通过池化层进行采样,使用Max Pooling的方式进行降维,使用激励函数进行处理;最后基于多个二维卷积层和池化层,在全连接层构建感知网络,将最终数据表示为维度为n×1的矩阵,如{P1,P2,…,Pi},其中Pi为匹配度 ,得到最终输入关键词和语义相近关键词的相似度,取最相似的一条进行映射,得到标准数据库中的对应标准关键词。

图6 基于CNN的智能语义采集模型构建过程
Fig.6 Building process of intelligent semantic
acquisition model based on CNN
CNN算法步骤如下:
(1) 记输入关键词经过规则库处理后的向量坐标为x(x1,x2,…,xn),近义关键词经过规则库(Ruler)处理后的向量坐标为y(y1,y2,…,yn),则词向量相似度λi(i=1,2,…,n)可用式(1)表示。
(1)
规则库:对煤矿录入信息中常用的关键词与相近关键词赋予权值,构造一对一相似度关系,以数据的形式存入数据表中。如“没”、“未”相近,赋予权值0.7;“穿”与“戴”较相近,赋予权值0.6;“没”与“没”一致,赋予权值0.9等。
(2) 根据式(1)分别计算出所有关键词对应的余弦相似度cosθ,建立匹配矩阵,如图7所示。
对匹配矩阵的各个节点进行编号,用αi,j表示图像的第i行、第j列元素;对filter的每个权重进行标号;用ωi,j表示第i行、第j列的权重,所有的ωi,j构成了3×3的卷积核;ωb为权重偏移量,此处ωb=0,m,n为偏移量,用xλ(i,j)表示Feature Map

图7 匹配矩阵
Fig.7 Matching matrix
第i行、第j列元素;用f表示激活函数,则卷积值如式(2)所示。
(2)
根据式(2),采样得到卷积层Feature Map(X)的所有元素。
(3) 将获取到的Feature Map(X)进行最大池化,其池化公式如下:
f(x)=max(X,0)
(3)
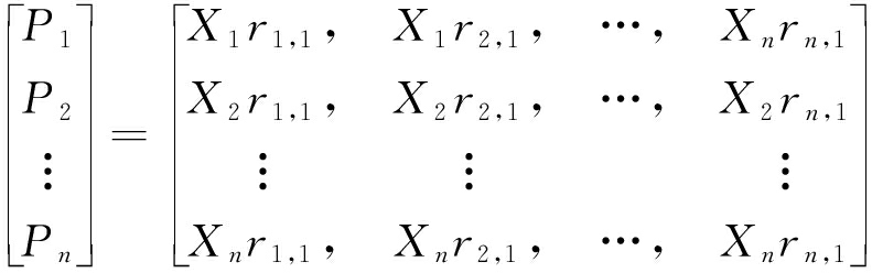
(4) 全连接层进行处理,将池化层输出的结果作为全连接层的输入量,记为X{X1,X2,…,Xn},采样矩阵(n×1维)为r{r1,1,r2,1,…,rn,1},重复进行多层卷积与池化,最终输出的匹配度Pi如下:

(4)
(5) 获取最大匹配度Max(Pi){i=1,2,…,n}。
基于ACO的智慧检索模型结构如图8所示,构建过程如图9所示。初始化状态时,数据库中所有的安全条例标记为空,检查人员检索到一条安全条例完成时,系统会自动给这条安全条例增加一个信息素,通过ACO算法,从虚拟源节点出发,每经历一次检索后,向所有汇聚节点广播,再由汇聚节点向子节点扩散,同时会在该安全条例对应的汇聚节点的子节点信息表INF-ant中记录信息上一跳节点地址、节点深度、当前节点信息素强度、信息素挥发因子等信息;随着检索次数(频度)的增加,当前节点会向源节点发送负反馈信息(局部最优路径),系统会对高信息素集中的节点路径进行正向加强[15],实现正反馈,最终得到信息素全局最强的路径,即为被高频度检索条例,通过Session表记录到服务器,实时显示到前台页面,供检查人员录入时选取,同时也为后期决策提供参考条件。

图8 基于ACO的智慧检索模型结构
Fig.8 Structure of intelligent retrieval model based ACO

图9 基于ACO的智慧检索模型构建过程
Fig.9 Building process of intelligent retrieval
model based on ACO
ACO算法分为3个阶段:节点发现阶段、反向探测阶段、正向加强阶段。
(1) 节点发现阶段:记数据库条例集合为T(S,D),汇聚节点集合为S{S1,S2,…,Sn},子节点集合为D{d1,d2,…,dn};设G为一种聚合信息量,Ma为检索条目次数总数,M为当前条例数据总数,则聚合信息量计算公式如下:
G=Ma/M
(5)
假定检索次数为lk,当前子节点的深度为hk,检索到的条例总数目为N,则该条安全条例被检索的频度为
Q=lkhk/N
(6)
若当前检索条例节点非上一次的检索条例节点,则深度hk为
hk=hk+1
(7)
(2) 反向探测阶段:各子节点向汇聚节点向发送代理消息INF-ant信息,包括禁忌表Tabuk(k=1,2,…,m),用于记录当前子节点k所经历的节点及频度Q。按式(8)将下一个节点k′包含在局部Q值最优的探测路径Lu(k1,k2,…,kn)中:
(8)
(3) 正向加强阶段:汇聚节点接收到INF-ant表内信息后,对当前反馈中的信息素最大的路径按式(9)进行调整。
(9)
式中:τij(t+Δt)为当前时间点节点ki到kj路径信息素强度;
为之前时间点的信息素强度;μ为常量;ρ为信息素挥发因子,
为单位时间最大信息素增量,
为节点k的信息素增量。
综合考虑信息素强度、条例频度及聚合信息量3个方面,则选取高频度路径的影响因子δi,j的计算公式为
δi,j=τij(t+Δt)Q G
(10)
(4) 重复(2)、(3)阶段,直至到达叶子节点,终止算法。
为了验证基于改进CNN和ACO的煤矿安全隐患智能语义采集与智慧决策支持系统的可靠性,在某集团某矿进行了实验。实验采样数据为20 000条,分为10组进行实验,每组2 000条。将基于CNN算法的智能采集模型、相似关键字匹配算法模型及基于“T”结构语义权重关系算法[16]的提取模型应用于该矿检索信息输入的语义关键词组检索中,进行采样数据对比,验证其检索准确度与消耗时间,对比结果见表1;3种算法在相同时间内精确度、召回率、F-score值实验对比结果见表2。其中:准确率=正确检索到的条数/实际检索到的条数;召回率=正确检索到的条数/检索条数;F-score=(2×准确率×召回率)/(准确率+召回率)。
表1 固定数据量的检索精确度及消耗时间实验对比结果
Table 1 Experimental comparison results of retrieval
accuracy and consumption time of fixed data volume

通过表1的对比实验可以得出,智能语义采集与智慧决策支持系统在精确度、时间损耗等方面占据绝对优势,解决了关键词智能语义提取方面的局限性、词性顺序固定及检索条例精确度相对不高的问题,适合我国煤矿企业安全隐患语义智能检索应用。
表2 相同时间内精确度、召回率、F-score值实验对比结果
Table 2 Experimental comparison results of accuracy, recall rate, F-score value in the same time

从表2可看出,在相同时间内,应用本文改进CNN算法在准确度上优于“T”结构语义权重关系算法和相似关键字匹配算法,对比综合评价指标F-score值可知,本算法在煤矿企业安全隐患排查语义分析提取与采集方面具有较高的精确度。
在此之前,该集团的煤矿安全隐患排查方式采用的是人工采集、人工分析、人工撰写简报的方式,每周采集的隐患数据很多,人工方式经常出现遗漏等情况,致使有些隐患不能得到及时处理。应用该系统后实现了数据的智能采集、自动分析、智慧决策功能,大大提高了生产效率。
(1) 使用基于CNN的智能语义提取以及频度检索分析方法,可快速采集到已排查的隐患数据。
(2) 对采集到的隐患数据,根据隐患程度、地点、时间与类别,自动进行分级分类,提高了数据的应用率。
(3) 通过多属性互联检索,可实时跟踪排查到的安全隐患解决情况。对于已经解决的隐患问题,系统自动进行智能对比消除,只保留最终的排查数据;对于排查未整改的隐患,系统会反复提醒;对于多次提醒未整改的问题,系统会进行隐患升级,并向更高级管理者发送预警。该集团2018年1月开始使用该系统,1—6月该集团下属的1矿12-2号煤层301盘区和2矿4号煤层东盘区的未解决隐患数据分别如图10和图11所示。由图10和图11可看出,该集团1—2月的各类未处理隐患问题还比较严重,3—6月,各类未处理隐患逐渐呈递减趋势,从而有力减少了安全事故的发生频度。
煤矿安全隐患智能语义采集与智慧决策支持系统使用改进的CNN算法,从服务器数据库中以算法计算的相似度为依据,自动选取最相近的关键词,与标准关键词数据库以多对一方式映射,解决了相近语义的关键词匹配精度不高的问题;使用改进的ACO算法构建模型,实现了被检索的高频度条例的智能显示。该系统可实现多属性语义关键词的互联查询、高频度检索条例的智能显示、隐患问题相关数据的实时跟踪、数据统计图的多样化显示、决策简报的智能生成等功能,解决了关键词语义提取检索效率低及检索条例准确度相对不高的问题。实验与应用结果证明了该系统的可靠性。

图10 1矿12-2号煤层301盘区未解决隐患数据
Fig.10 Unresolved hidden danger data in 12-2 coal
seam-301 district of No.1 Coal Mine

图11 2矿4号煤层东盘区未解决隐患数据统计
Fig.11 Unresolved hidden danger data in No.4 coal
seam-east district of No.2 Coal Mine
参考文献:
[1] 李仕琼.矿井安全隐患数据挖掘模型及算法分析[J].煤炭技术,2013(12):104-105.
LI Shiqiong.Mine safety hazard data mining model and algorithm analysis[J].Coal Technology,2013(12):104-105.
[2] 刘传安,刘建,都永正.煤矿安全监控系统便捷检查分析装备设计[J].工矿自动化,2017,43(3):74-77.
LIU Chuan'an,LIU Jian,DU Yongzheng.Design of convenient inspection and analysis equipment for coal mine safety monitoring and control system[J].Industry and Mine Automation,2017,43(3):74-77.
[3] 魏峰.一种数字式煤矿安全监控系统设计[J].工矿自动化,2017,43(2):19-23.
WEI Feng.Design of a digital coal mine safety monitoring and control system[J].Industry and Mine Automation,2017,43(2):19-23.
[4] OH Y R,JEON H B,SONG H J,et al.A deep-learning based native-language classification by using a latent semantic analysis for the NLI shared task[C]//The Workshop on Innovative Use of NLP for Building Educational Applications,2017:413-422.
[5] ZHAO B,FENG J,WU X,et al.A survey on deep learning-based fine-grained object classification and semantic segmentation[J].International Journal of Automation and Computing,2017,14(2):119-135.
[6] 江腾蛟,万常选,刘德喜,等.基于语义分析的评价对象-情感词对抽取[J].计算机学报,2017,40(3):617-633.
JIANG Tengjiao,WAN Changxuan,LIU Dexi,et al.Extracting traget-opinion pairs based on semantic analysis[J].Chinese Journal of Computers,2017,40(3):617-633.
[7] 徐浩广,王宁,刘佳明,等.基于自然语言检索的综合相似度计算算法[J].计算机系统应用,2017,26(6):170-175.
XU Haoguang,WANG Ning,LIU Jiaming,et al.Comprehensive computation algorithm of similarity for natural language retrieval[J].Computer Systems & Applications,2017,26(6):170-175.
[8] 姜文超,林德熙,孙傲冰,等.一种新的基于相似度过滤的大数据保序匹配与检索算法[J].计算机工程与科学,2017,39(7):1249-1256.
JIANG Wenchao,LIN Dexi,SUN Aobing,et al.A novel big data order-preserving matching algorithm based on similarity filtration[J].Computer Engineering and Science.2017,39(7):1249-1256.
[9] HEO G,JEON J.A study on the data compression technology-based intelligent data acquisition (IDAQ) system for structural health monitoring of civil structures[J].Sensors,2017,17(7):1620.
[10] VIANA P,SATO L.A proposal for a reference architecture for long-term archiving,preservation,and retrieval of big data[C]//IEEE 13th International Conference on Trust,Security and Privacy in Computing and Communications,Beijing,2014:622-629.
[11] 骆琴,张永胜,聂学武,等.一种基于语义Web服务的匹配算法研究[J].计算机技术与发展,2011,21(2):136-139.
LUO Qin,ZHANG Yongsheng,NIE Xuewu,et al.Research of matching algorithm based on semantic Web services [J].Computer Technology and Development,2011,21(2):136-139.
[12] 华秀丽,朱巧明,李培峰.语义分析与词频统计相结合的中文文本相似度方法研究[J].计算机应用研究,2012,29(3):833-836.
HUA Xiuli,ZHU Qiaoming,LI Peifeng.Chinese text similarity method research by combining semantic analysis with statistics[J].Application Research of Computers,2012,29(3):833-836.
[13] 陈小林.煤矿安全隐患量化管理信息化的研究[J].工矿自动化,2010,36(12):5-7.
CHEN Xiaolin.Research of quantization management informatization of hidden danger of coal mine[J].Industry and Mine Automation,2010,36(12):5-7.
[14] 王海荣.基于智能语义自相关特征的数据库实体识别查询[J].微电子学与计算机,2014,31(5):159-162.
WANG Hairong.Database entity recognition intelligent semantic query based on autocorrelation characteristics[J].Microelectronics & Computer,2014,31(5):159-162.
[15] 吕岩.改进蚁群算法在文本聚类中的应用研究[J].微电子学与计算机,2012,29(3):31-34.
LYU Yan.Research of text clustering based on improved ant colony algorithm[J].Microelectronics & Computer,2012,29(3):31-34.
[16] KUMAR C S S,MOHANAPRIYA M,KALAIARASAN C.A new approach for information retrieval in semantic Web mining involving weighted relationship[C]//International Conference on Innovations in Information,Embedded and Communication Systems (ICIIECS),Coimbatore,2017:1-4.