分析研究
智能传感器作为应用广泛的系统前端感知器件,既可以助推传统产业升级,又可以推动创新应用。GB/T 34069—2017《物联网总体技术 智能传感器特性与分类》[1]明确了智能传感器的定义和特性,其中智能传感器的物联网特性要求其能自动向外部发出信息,描述自己的位置,并能自动识别自身在网络中的位置。GB/T 33900—2017《工业物联网仪表应用属性协议》[2]规定,工业物联网仪表位置属性是指工业物联网仪表的安装位置,是经纬度确定的绝对位置、海拔高度或相对位置信息。王国法等[3-4]在进行智能化煤矿顶层设计时,要求建立地下精准位置服务系统,研究定位和导航组合技术,为井下人员、车辆、机电设备提供精准定位服务。可见,无论是工业物联网智能传感器自身特性要求还是智能化煤矿顶层设计要求,都需要智能传感器提供位置信息。
井下巷道无法接收地面卫星信号,获取智能传感器位置信息必须依靠室内定位技术。张胜利等[5]阐述了WiFi、地磁、惯性导航、ZigBee、蓝牙、射频识别(Radio Frequency Identification,RFID)、红外、超声波、超宽带(Ultra Wide Band,UWB)等主流室内定位技术的优缺点;胡青松等[6]重点从原理、方法和算法方面阐述了主流无线定位技术的优缺点。根据井下巷道环境,WiFi、ZigBee、蓝牙、RFID、红外、超声波、UWB都需要在外围预装设备才能实现定位,而预装设备增加了成本和不确定性;地磁定位方法采用地磁数据库比对方式实现定位,但是设备布局和环境因素变化会影响地磁数据,从而影响匹配的准确性;惯性导航存在累计误差,且累计误差随时间和距离的增加而增大。因此,现有的单一室内定位技术无法满足智能传感器的定位要求。
惯性导航是一种自主式导航技术,利用陀螺仪、加速度传感器等采集载体速度、方向、加速度等数据,运用航迹推算法获取自身位置。针对惯性导航存在累计误差的先天性缺陷,实际应用中采用了多种方式进行校准,如谭建平等[7]采用惯性导航和旋转编码器、接近开关等组合导航模式,李镇等[8]采用惯性导航和地磁组合导航模式,唐宇[9]采用视觉里程计和惯性导航融合导航模式,唐相猛[10]采用双惯导相互印证模式,杨洲[11]采用UWB和基于微机电系统(Micro Electro-Mechanical System,MEMS)的惯性导航融合定位方案。这些模式应用于智能传感器惯性导航时存在以下问题:一方面,需要外部设备配合或者结合环境特征信号进行校准,失去了惯性导航完全自主的优势;另一方面,会大幅度增加成本。
MEMS陀螺仪和加速度计具有体积小、成本低、可靠性高、抗冲击能力强等优点,且实现了微型化和经济化[12-13]。目前,基于MEMS的惯性测量单元(Inertial Measurement Unit,IMU),即MEMS-based IMU已经进入全面发展阶段。因此,本文首先将井下巷道分解为多个一定垂高的二维平面,在二维平面形成多条既定路径,将智能传感器定位问题转换为既定路径上的移动轨迹跟踪问题;然后选用MEMS-based IMU实现井下巷道内智能传感器惯性导航,结合零速修正和既定路径标定的方式反演移动轨迹。
井下环境大体分为3类[14]:巷道、开阔平面及特殊区域(拐弯、分支或倾斜等)。其中,开阔平面可视作变宽的巷道;拐弯、分支或倾斜等特殊区域可视作2条巷道的交叉点,弧度较长的拐弯可近似为进弯和出弯2个交叉点和1段巷道。
在确定井田范围和矿井生产能力后,必须合理地划分开采水平并确定开采水平垂高。根据开采水平的划分依据,井下巷道可分解为多个一定垂高的二维平面。智能传感器定位时,可将三维空间位置信息转换为高度(z轴)一定的二维(x轴和y轴)平面信息。
在电子地图中,可将垂高一定的巷道抽象为一定宽度的四边形,将开阔平面抽象为宽度更大的四边形,将拐弯、分支或倾斜等特殊区域抽象为交叉点。某煤矿某平面的井下巷道电子地图如图1所示。起始点O(0, 0)为平面坐标原点,将所有巷道交叉连接,对交叉中心点逐点逐行编号,并标明平面内各点的相对坐标A1(x1, y1)—A12(x12, y12);根据交叉中心点坐标确定巷道内所有路径,将井下巷道内任意一条路径明确为既定路径,从而将井下巷道内智能传感器移动轨迹跟踪转换为一定垂高条件下二维平面内的既定路径惯性导航。
图1 井下巷道电子地图
Fig.1 Electronic map of underground roadway
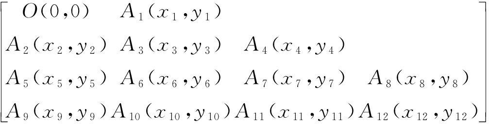
将图1中各点按照行列关系生成二维数字化平面地图坐标矩阵:
I=
(1)
每行元素的个数由同一水平巷道交叉点数量确定,元素不满处空缺,行数由电子地图中水平巷道数量确定。
包含巷道、开阔平面及特殊区域的井下环境是智能传感器移动轨迹的合法范围,智能传感器无法到达井下巷道之间的煤层中。因此,将坐标原点O、交叉中心点A1—A12用一定宽度的线条连接,如图2所示,绿色区域是合法区域,除此以外的区域都是非法区域。
图2 智能传感器合法区域
Fig.2 Legal area of intelligent sensor
智能传感器在合法区域内任意2点之间的移动轨迹都可以用交叉中心点和巷道来表示,例如原点O与交叉中心点A7之间的路径包括但不限于以下5种:
(1) O→A1→A3→A6→A7。
(2) O→A1→A3→A4→A8→A7。
(3) O→A1→A3→A2→A5→A6→A7。
(4) O→A1→A3→A2→A5→A9→A10→A6→A7。
(5) O→A1→A3→A4→A8→A12→A11→A7。
无论哪一种路径都是从原点出发,经过若干交叉中心点和巷道,最终到达交叉中心点A7。任意一条路径都可以在井下巷道数学模型上用点和不同长度的线段进行描述。对于移动轨迹来说,每条路径都是已知的,因此,井下巷道移动轨迹都是基于既定路径形成的。
惯性导航系统一般安装在待测目标内部,工作时不需要外部数据,不向外辐射能量,也不易受外部干扰,但启动后误差随时间增加而逐渐增大,需定期校准。引起惯性器件误差的原因很多[15],既有惯性器件自身设计、装配工艺、工作机理等内在因素,也有所附载体运动环境等外在因素。对于采用“三轴一体”的惯性测量单元,惯性器件零偏、标度因数和安装误差等误差项混叠于载体真实运动信息中。因此,需要在实际应用中进行校准和标定。
零速修正[16]由静止检测触发,即在检测为静止的时间区间内将速度计算结果清零,达到修正速度误差的目的。为充分利用静止检测的结果,估计出更多的误差参数,结合零速修正原理,设置智能传感器在移动轨迹的起始点静止10 s以上,固定在该点进行零速修正,并将该点作为平面内相对移动的坐标原点O(0, 0)。
生成井下巷道二维数字化平面地图坐标矩阵,并导入到智能传感器内部。智能传感器在既定路径起始点零速修正后,整个既定路径上的移动分为直线惯性导航和交叉点标定2种模式。
直线惯性导航:传感器航向角和横滚角变化值不超过阈值(本文中设为15°)时,通过惯性导航组件解算得到传感器速度、位置和姿态角,计算出实时相对坐标和运动路径。
交叉点标定:传感器运动到交叉点处时,根据交叉点已知坐标值对当前实时值进行校准,消除惯性导航的累计误差。当传感器航向角和横滚角变化值超过阈值或从超过阈值回归时,判定传感器到达指定交叉点。
惯性导航电路包括MEMS-based IMU芯片、用于数据分析处理的微控制单元(Microcontroller Unit,MCU)、用于数据存储的FLASH、通信接口和用于电源管理的低压差线性稳压器(Low Dropout Regulator,LDO),如图3所示。MEMS-based IMU芯片选用高性能、低功耗的六轴运动跟踪器件ICM-20648,以100 Hz频率实时输出三轴陀螺仪和三轴加速度计数据。MCU对六轴数据进行接收、分析和处理,以2 Hz频率从通信接口实时输出相对坐标,同时将相对坐标保存到数据存储单元。
图3 惯性导航电路设计
Fig.3 Inertial navigation circuit design
智能传感器惯性导航软件结合了扩展卡尔曼滤波[17]、航迹推算[18]和连续自标定算法[19],流程如图4所示。系统上电后,首先对外设驱动部分进行初始化,将井下巷道二维数字化平面地图坐标矩阵数据存入存储单元中,再配置MEMS-based IMU参数,读取三轴陀螺仪和三轴加速度计数据,完成系统初始化;其次将传感器在起始点静止10 s以上,完成零速修正,计算初始姿态角,并初始化卡尔曼滤波器;然后进入主循环,MEMS-based IMU实时输出三轴陀螺仪和三轴加速度计数据,通过导航参数预处理、卡尔曼滤波、航迹推算对实时导航参数进行修正;同时实时解算姿态角,若横滚角和航向角变化值不超过阈值则直接更新坐标,若超过阈值则结合存入的既定路径进行交叉点标定,更新位置坐标,消除惯性导航累计误差;最后存储并输出更新后的位置坐标。单次处理完毕后重复上述主循环操作,实现智能传感器位置实时更新。
图4 智能传感器惯性导航软件流程
Fig.4 Intelligent sensor inertial navigation software process
当智能传感器一直联网工作时,通过实时位置坐标更新即可实现实时惯性导航;当传感器通信中断时,将实时位置坐标存入数据存储单元中作为历史坐标信息,待传感器通信恢复后,上传所有历史坐标信息,在上位机实现智能传感器移动轨迹反演。
将惯性导航电路以模块方式搭载到矿用温度传感器内部,蓄电池可供持续工作8 h以上。在地面某全长378 m的环形道路上,提着传感器静止30 s后出发移动1圈,回到起点后静止5 s。传感器未标定情况下的移动轨迹如图5所示。
图5 传感器未标定情况下的移动轨迹
Fig.5 Moving track of sensor without calibration
从图5可看出:终点和起点相差约18 m,航向偏差约为30°,整个移动距离为357.25 m,与参考距离378 m相差20.75 m,相对误差为5.5%。
在环形道路的对应弯道处设置标定点A(0,43),B(-2,45),C(-114,47),D(-116,45),E(-117,-22),F(-115,-25),G(-2,-27),H(0,-25)。生成二维数字化平面地图坐标矩阵I:
I=
(2)
将二维数字化平面地图坐标矩阵数据导入传感器,提着传感器静止30 s后出发,沿着环形道路移动1圈,回到起点后静止5 s。传感器到达各标定点处时自动完成标定,传感器标定后的移动轨迹如图6所示。每次在90°转弯时有进弯和出弯2个点,进弯处航向角偏转超过阈值15°,出弯处航向角偏转从15°以上回归,在这2个点进行标定,保证了转弯过程中航向的准确性。
图6 传感器标定后的移动轨迹
Fig.6 Moving track of sensor with calibration
由图6可见,标定后传感器移动轨迹和实际道路吻合程度更高,终点和起点相差约2 m,航向偏差约为2°,整个移动距离为375.01 m,与参考距离378 m相差2.99 m,相对误差为0.8%。
对比标定和未标定2种情况下的航向角,如图7所示。对比2条曲线可以看出:在未标定情况下,航向角累计偏差达100°;而在每个弯道标定后,航向角累计偏差为2°,大大提高了航向角精度,移动轨迹和实际道路吻合程度更高。
图7 传感器标定前后航向角对比曲线
Fig.7 Comparison curves of heading angle before and aften sensor calibration
(1) 将井下巷道分解为多个一定垂高的二维平面,结合巷道数字化平面地图和巷道交叉点生成坐标矩阵,将坐标矩阵导入智能传感器。井下巷道内智能传感器结合惯性导航和既定路径交叉点标定,完成移动轨迹反演。
(2) 在地面环形道路的试验结果表明:在未标定情况下,纯惯性导航的航向偏差约为30°,移动距离相对误差为5.5%;结合既定路径交叉点标定后,航向偏差约为2°,移动距离相对误差为0.8%。
(3) 井下巷道内智能传感器采用带标定的惯性导航方法,解决了其他组合惯性导航方式失去完全自主优势和增加成本的问题,为井下智能传感器惯性导航提供了一种可行方案。但该方法必须以建立井下巷道电子地图为前提,通过生成坐标矩阵才能实现巷道交叉点标定,不适用于地图未知条件下的井下巷道内智能传感器移动轨迹反演,后续将针对该问题进行进一步研究。
[1] GB/T 34069—2017 物联网总体技术 智能传感器特性与分类[S].
GB/T 34069-2017 General technology of Internet of things-characteristic and classification of intelligent sensor[S].
[2] GB/T 33900—2017 工业物联网仪表应用属性协议[S].
GB/T 33900-2017 Application attribute protocol for instrument of industrial Internet of things[S].
[3] 王国法,杜毅博,任怀伟,等.智能化煤矿顶层设计研究与实践[J].煤炭学报,2020,45(6):1909-1924.
WANG Guofa,DU Yibo,REN Huaiwei,et al.Top level design and practice of smart coal mines[J].Journal of China Coal Society,2020,45(6):1909-1924.
[4] 王国法,任怀伟,庞义辉,等.煤矿智能化(初级阶段)技术体系研究与工程进展[J].煤炭科学技术,2020,48(7):1-27.
WANG Guofa,REN Huaiwei,PANG Yihui,et al.Research and engineering progress of intelligent coal mine technical system in early stages[J].Coal Science and Technology,2020,48(7):1-27.
[5] 张胜利,焦诚,付永恒.室内定位方法和技术综述[J].数字技术与应用,2018,36(10):73-74.
ZHANG Shengli,JIAO Cheng,FU Yongheng.Overview of indoor positioning methods and techniques[J].Digital Technology & Application,2018,36(10):73-74.
[6] 胡青松,张申,吴立新,等.矿井动目标定位:挑战、现状与趋势[J].煤炭学报,2016,41(5):1059-1068.
HU Qingsong,ZHANG Shen,WU Lixin,et al.Localization techniques of mobile objects in coal mines:challenges,solutions and trends[J].Journal of China Coal Society,2016,41(5):1059-1068.
[7] 谭建平,林波,刘溯奇,等.基于组合导航的超深矿井提升容器状态监测系统[J].中国惯性技术学报,2016,24(2):185-189.
TAN Jianping,LIN Bo,LIU Suqi,et al.Condition monitoring system of ultra-deep mine hoisting container based on integrated navigation[J].Journal of Chinese Inertial Technology,2016,24(2):185-189.
[8] 李镇,王海涌,靳宇航,等.一种弹道导弹捷联惯导/地磁组合导航方法[J].中国惯性技术学报,2015,23(5):636-641.
LI Zhen,WANG Haiyong,JIN Yuhang,et al.Strapdown inertial/geomagnetic integrated navigation method for ballistic missile[J].Journal of Chinese Inertial Technology,2015,23(5):636-641.
[9] 唐宇.基于低成本MEMS的SINS/视觉里程计组合导航系统研究[D].哈尔滨:哈尔滨工程大学,2019.
TANG Yu.Research on SINS/visual odometer integrated navigation system based on low cost MEMS[D].Harbin:Harbin Engineering University,2019.
[10] 唐相猛.基于MEMS的消防单兵室内定位研究与设计[D].济南:山东大学,2017.
TANG Xiangmeng.Research and design of fire fighter indoor location based on MEMS[D].Jinan:Shandong University,2017.
[11] 杨洲.基于UWB/MEMS的高精度室内定位技术研究[D].徐州:中国矿业大学,2015.
YANG Zhou.Study on high precision indoor positioning technology based on UWB/MEMS[D].Xuzhou:China University of Mining and Technology,2015.
[12] 曲国福.基于MEMS技术的捷联惯导系统性能增强技术研究[D].西安:西安理工大学,2010.
QU Guofu.The enhancement technology study of the MEMS-based strapdown inertial navigation system[D].Xi'an:Xi'an University of Technology,2010.
[13] 万伟.MEMS INS/GNSS组合导航系统研究[D].武汉:武汉大学,2019.
WAN Wei.Research on MEMS INS/GNSS integrated navigation system[D].Wuhan:Wuhan University,2019.
[14] 孙波,刘冬阳,徐奉,等.基于RSSI的煤矿井下巷道定位技术误差分析[J].煤炭学报,2014,39(增刊2):609-614.
SUN Bo,LIU Dongyang,XU Feng,et al.Error analysis of RSSI-based location technology in coal mine[J].Journal of China Coal Society,2014,39(S2):609-614.
[15] 于婷,孙伟,文剑.MEMS惯性组件的误差特性分析与标定[J].传感技术学报,2016,29(6):859-864.
YU Ting,SUN Wei,WEN Jian.Error analysis and calibration of MEMS inertial components [J].Chinese Journal of Sensors and Actuators,2016,29(6):859-864.
[16] 孙伟,闫慧芳,李瑞豹,等.基于惯性技术的端帮采煤机姿态测量仪设计[J].传感技术学报,2016,29(2):306-312.
SUN Wei,YAN Huifang,LI Ruibao,et al.The design of attitude determination instrument for end slope coal mining machine based on inertial technology[J].Chinese Journal of Sensors and Actuators,2016,29(2):306-312.
[17] 牛小骥,旷俭,陈起金.采用MEMS惯导的小口径管道内检测定位方案可行性研究[J].传感技术学报,2016,29(1):40-44.
NIU Xiaoji,KUANG Jian,CHEN Qijin.Study on the posibility of the PIG positioning using MEMS-based IMU[J].Chinese Journal of Sensors and Actuators,2016,29(1):40-44.
[18] 唐雷,张哲琛,赵忠华,等.基于误差四元数与Kalman滤波的行人惯导系统设计[J].电子设计工程,2017,25(4):1-4.
TANG Lei,ZHANG Zhechen,ZHAO Zhonghua,et al.Design of pedestrian positioning using a quaternion-based indirect Kalman filter[J].Electronic Design Engineering,2017,25(4):1-4.
[19] 王琪,汪立新,周小刚,等.混合式惯导系统姿态四元数连续自标定模型[J].北京航空航天大学学报,2019,45(7):1424-1434.
WANG Qi,WANG Lixin,ZHOU Xiaogang,et al.Attitude quaternion continuous self-calibration model of hybrid inertial navigation system[J].Journal of Beijing University of Aeronautics and Astronautics,2019,45(7):1424-1434.
BAI Sizhong.Research on moving trajectory of intelligent sensor in underground roadway [J].Industry and Mine Automation,2022,48(2):49-54.
扫码移动阅读