基于FCE-AHP的矿井通风质量动态评价

靳红梅, 党琪, 李洪安, 李占利

(西安科技大学 计算机科学与技术学院, 陕西 西安 710600)

摘要现有矿井通风系统评价方法是从矿井通风系统全局视角出发,对其进行整体性的评价,所得出的评价结论是静态的、综合性的,无法精准定位出矿井中用风范围内的通风情况并发现其存在的问题,也不能实时反映当前时刻的通风质量状态。针对上述问题,建立了基于模糊综合评价法-层次分析法(FCE-AHP)的矿井通风质量动态评价模型,用以对煤矿的通风质量进行实时评价。首先根据矿井通风需求和作用将通风区域划分为进风区段、回风区段、采煤工作面、掘进工作面、硐室5个区域,根据每一种用风区域类型确定其对应的评价指标体系;然后根据评价指标体系获取对应测风点传感器实时监测到的数据,利用AHP确定各区域的评价指标权重,通过柯西分布隶属度函数计算实时监测数据所属评价级别的隶属度;最后应用FCE计算评级权重,通过置信度识别原则确定区域通风质量级别,完成各区域通风质量的动态评价。以东滩煤矿南翼回风巷为例,通过FCE-AHP模型对其通风质量进行了实时评价,评价结果显示其通风质量良好,与实际情况相符,证明了该模型的可靠性。FCE-AHP模型可依据实时监测到的数据对煤矿不同通风区域的通风质量进行实时评价,确定煤矿通风质量的安全级别,进而实现对矿井通风质量的综合评价,为改善煤矿通风系统质量提供依据。

关键词矿井通风; 通风质量动态评价; 通风区域划分; 实时监测; 层次分析法; 模糊综合评价; 隶属度; 置信度判别

0 引言

国家能源局出台的相关政策指出,通风系统的安全稳定是矿井生产的必备前提,必须做到通风质量合格,工作环境合理,从而保证煤矿安全生产[1]。对于矿井通风系统而言,风速过大虽利于防止瓦斯积聚、稀释有毒有害气体,但会造成电能浪费,还可能造成漏风而引起火灾,或扬起地面粉尘等,危及工作人员健康或发生风源性事故。而风量不足会造成有毒有害气体浓度超标。因此,需对通风系统的通风质量进行动态评价,从而保证通风的安全持久化[2]

针对煤矿通风的安全评价,国内外学者从全局角度出发,在评价指标和评价方法2个方面进行了深入研究。在评价指标方面,苏盈盈[3]用SVM(支持向量机)对不同指标组合的评价效果进行筛选,将最佳评价效果的指标组合作为精简后的指标体系,完成了小样本数据下矿井通风系统的16项评价指标体系的建立。芦志刚[4]从安全稳定、经济合理性角度出发建立了一套完整的通风系统评价指标体系,共建立了40个指标,完成了对通风系统的综合评价。张聪聪等[5]在全面分析煤矿通风系统可靠性影响因素的基础上,采用主成分分析法将13个评价指标简化为4个综合指标,完成了煤矿通风系统的可靠性评价。李强[6]为进一步提高煤矿企业通风安全监管,通过层次分析法建立了包含18项指标的通风系统安全稳定性评价指标体系。在评价方法方面,王海青[7]应用FMEA(Failure Mode and Effects Analysis,故障模式和影响分析)分析法对矿井通风系统进行了整体评价。孙佳保[8]采用主成分分析法将各种评价指标转变为相应的线性组合,进而利用构建的综合评价函数的方法评价矿井通风系统。刘洋[9]建立了基于层次分析法的煤矿通风系统评价体系,从环境、设施、管理3个方面提出了通风网络结构合理性、通风地点的温度、通风设备的可靠性、人员素质等10个具体指标。Jia Tinggui等[10]应用多元回归分析法分析了矿井通风系统的稳定性。毕娟等[11]利用集成模糊分析法和灰靶决策方法的评价方法对矿井通风系统进行可靠性评价。

综上可知,对矿井通风系统进行评价,有助于促进煤矿安全生产的持续推进。但现有的矿井通风系统评价方法是从矿井通风系统全局视角出发,对其进行整体性的评价,所得出的评价结论往往是静态的[12]、综合性的,得出的结果太过笼统,无法精准定位出矿井中用风范围内的通风情况并发现其存在的问题,也不能够实时反映当前时刻的通风质量状态。针对以上问题,本文建立了基于FCE-AHP(Fuzzy Comprehensive Evaluation Method-Analytic Hierarchy Process,模糊综合评价法-层次分析法)的矿井通风质量动态评价模型,用以对煤矿的通风质量进行实时评价。首先根据通风需求和作用将通风区域划分为进风区段、回风区段、采煤工作面、掘进工作面、硐室5个区域,根据每一种用风区域类型确定其对应的评价指标体系;然后根据评价指标体系获取对应测风点传感器实时监测到的数据;最后通过所建模型,依据实时监测到的数据对通风质量进行实时评价,确定煤矿通风质量的安全级别。该模型的评价结果是基于实时监测数据计算得出,能够及时反映通风质量状态,实时监测通风质量,保证矿井通风时刻安全。

1 矿井通风质量评价指标建立

为了能够从通风系统的评价结果中得到更多有效信息,更加精准地确定危险所在地,本文从通风系统各测风点出发展开研究,即对各个传感器所在位置进行划分,每个测风点所在区域为风流较为平稳的一个巷道或一片区域,其所测数据能反映该区域的整体通风情况,可作为一个原子用风区域,通过分析每一个原子用风区域的通风用途和需求,确定用风区域类型,将通风用途和需求相同的归为一类。在确定用风区域类型之后,根据每一种用风区域类型确定其对应的评价指标体系,可以更全面实现煤矿通风质量的评价。

根据通风需求和作用将通风区域划分为进风区段、回风区段、采煤工作面、掘进工作面、硐室5个区域。其中由于采煤工作面中上隅角区域的通风不太顺畅,其通风指标含量与采煤工作面中其他工作地点的要求准则有所不同,故该区域的危险评判界限不同,需将其进行单独分析,这里将采煤工作面分为2个子区域:一个为上隅角区域,一个为回风巷区域。基于不同用风区域的确定,分别考虑各区域对通风质量的不同影响因素,进而建立各区域相应的评价指标体系。具体的通风系统通风质量划区域评价层次指标体系如图1所示。

图1 通风系统通风质量划区域评价层次指标体系
Fig.1 Ventilation quality region evaluation hierarchy index system of ventilation system

2 基于FCE-AHP的动态评价模型

矿井通风系统是一个复杂随机的动态系统,对其通风质量评价所涉及的因素繁多,且通风质量是随煤矿生产推进而变化的。只依据考核评级办法完成对通风质量的打分不能满足对通风质量评价的实时性,需通过对矿井通风进行动态监控,根据实时监测数据进行动态评价,才能真实反映生产过程中煤矿的实时通风质量是否合格,进而有效促进矿井通风安全的方案调整,做到防患于未然。AHP、FCE等方法能够处理含有定性因素、定量因素的评价问题,使评价过程规范化,以提高评价的科学性。AHP能够将复杂对象的影响因素进行系统化、层次化的分析,计算简单、适用性广泛。FCE可以对多因素、多变量、多层次的复杂系统进行评价,能够对模糊安全状态的评价对象进行合理评价。故本文选择AHP与FCE相结合的方法完成通风质量的动态评价。

2.1 指标权重确定

权重是指各评价因子对评价目标所起作用的重要程度,运用AHP可有效将原本复杂的定性评价过程进行合理量化,将无序的要素按照目标层、准则层和方案层归纳出有序的递阶层次结构[13]。本文采用AHP进行各指标权重的确定,根据9级标度确定相对重要程度[14],构建成对比较判断矩阵。9标度指标重要程度判断见表1。

表1 9标度指标重要程度判断
Table 1 9 scale index importance judgment

标度含义1表示2个元素相比,具有同样的重要性3表示2个元素相比,前者比后者稍重要5表示2个元素相比,前者比后者明显重要7表示2个元素相比,前者比后者强烈重要9表示2个元素相比,前者比后者极端重要2,4,6,8表示上述相邻判断的中间值

为了确保利用AHP所得评价指标权重的基本合理性,需对成对比较矩阵进行一致性检验,即对于成对比较矩阵A,有

AW=λmaxW

(1)

式中:W为所对应的特征向量;λmax为最大特征值。

一致性指标CI为

(2)

式中N为矩阵阶数。

一致性比例CR为

(3)

式中RI为平均一致性指标,具体取值见表2。

表2 平均一致性指标值
Table 2 Average consistency index values

N123456RI000.520.891.121.26N789101112RI1.361.411.461.491.521.54

当CR<0.1时,认为成对比较矩阵的一致性是可接受的。否则,需对成对比较矩阵作适当修改。

2.2 评价指标分级标准

在确定各区域指标权重之后,本文按照优秀、良好、合格、危险4个等级对指标进行划分。基于矿井通风安全的研究,由于大部分通风质量指标范围具有上下限,即认为监测数据超出上下限范围的,视为危险级别。通风质量中各指标的量纲不同,含量标准不同,故其4个等级的确定标准范围也各不相同,又因为煤矿安全的相关文件中未明确规定出煤矿通风质量的优良级别界限,故本文通过函数分布划分通风质量的不同指标的各级别界限。基于对通风质量各指标监测数据的研究,可近似认为指标界限分布满足正态型分布,可设函数为

(4)

式中:x为指标变量值;ab为常数,a≥0,b>0。

在等级划分函数确立的基础上,完成对各个指标的级别划分。根据通风质量各动态指标的危险界限,确定每个指标不同等级的界限。具体级别结合《煤矿安全规程》中的危险界限进行计算,完成各评价指标的标准分级。

2.3 指标隶属度确定

隶属度函数的选择直接影响隶属度的大小,进而影响评价结果的合理性。由于通风质量的评价指标均为定量指标,柯西分布隶属度函数的计算过程简单,函数图像变化合理[15],故隶属度函数选取柯西分布隶属度函数。隶属度函数主要是用来量化不同等级下的指标,其函数类型的选择与指标的特点有关,需要依据具体因素进行分析。一般情况下,评价为极差和极好的2种情况会选用偏小或偏大型隶属度函数,其余情况可选择居中型隶属度函数。

偏小型隶属度函数为

(5)

居中型隶属度函数为

(6)

偏大型隶属度函数为

(7)

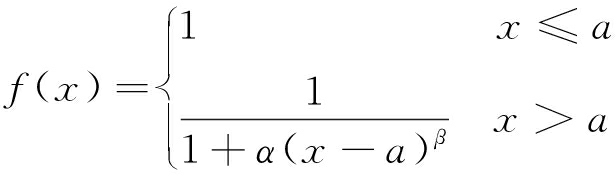
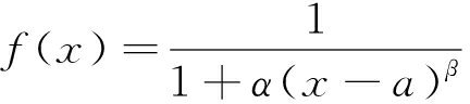
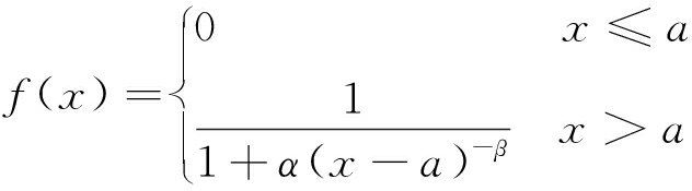
式中:f(x)为输出隶属度;α,β为调整函数的参数,其中,β取值为2,α一般由实践经验确定。

将类似柯西分布的隶属度函数作为确定元素隶属度的基础,对有区间范围的指标选用式(6),两极分布的选用式(5)或式(7)。

对于居中型隶属度函数有

(8)

式中xmax,xmin为对应级别相应参数的上下边界值。

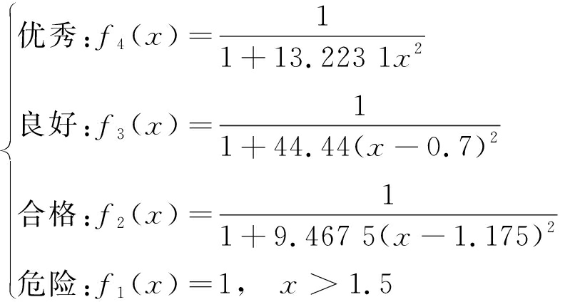
对于偏大型或偏小型分布隶属度函数,结合煤矿通风的危险等级,当指标达到危险级别时,即具有“一票否决权”,也就是对于超出上下界限范围的监测数据,直接认定其危险级别的隶属度值为1,即f1(x)=1,为了不削弱危险程度的监测值的评价结果,故将煤矿通风质量的两极分布隶属度函数设为

f1(x)=1(x>xmax,x<xmin)

(9)

2.4 综合评价

本文通过FCE对通风质量进行综合评价,其计算步骤如下:

Step1 确定评级对象因素集:U={u1,u2,…un}(n=1,2,…),un为指标因素。

Step2 确定评语集:V={v1,v2,…vm}(m=1,2,…),vm为评语。

Step3 单因素评价:讨论单个因素对于评语集V的隶属度,得到第i个区域的单因素评价矩阵Ri

(10)

式中rinm为计算得到的权重。

Step4 综合评价:综合考虑各指标隶属度完成评价对象的等级量化,再通过置信度识别原则得到最终的综合评价结果。

Q=wi·Ri=

(11)

式中:wi为第i个区域的权重向量;·为模糊算子;q为矩阵乘积计算出来的综合权重。

对于通风质量的综合评价,其单因素评价矩阵由柯西分布隶属度函数进行计算,指标权重由AHP求得,再根据式(11)计算评价的量化结果Q,最后确定评价结果的具体级别。将评价集V记为V={优秀,良好,合格,危险}={v4,v3,v2,v1}。通常情况下,认为优秀>良好>合格>危险,即v4>v3>v2>v1,则{v1,v2,v3,v4}是评价对象U的一个有序分类。对于结果的确定,若选用最大隶属度原则确定评价结果会出现偏差,故通过置信度识别原则来评判评价结果。该原则规定:设μ为置信度,0.5<μ≤1,Fj(V)表示评价集中第j个等级的评价得分,若则判断评价结果属于第k0个等级vk0μ通常取0.6或0.7,本文取0.6。

3 应用与分析

3.1 东滩煤矿概况

东滩煤矿位于山东省兖州市,井田位于兖州煤田东部,井田范围大,通风方式为对角式通风,主要通风方法为抽出式通风。本文结合该煤矿数据,选择63上06工作面的采煤工作面回风巷进行通风质量评价,该通风线路各测点所在区域风流稳定,巷道断面规整,均符合测点所应遵循的原则。

63上06工作面通风系统的具体路线:进风区段(副井→井底车场→南翼轨道大巷→南翼辅运下山→南翼辅运巷)→其他用风区域(南翼第二胶带运输巷南段→辅助回风巷联络巷)→工作面回风巷(南翼回风巷南段→南翼回风巷)→掘进工作面(63上06采区轨道巷)→回风区段(支架联络巷→南翼总回风巷→西翼总回风巷→西风井底→西风井)。本文以南翼回风巷数据为例进行评价,具体数据见表3。

表3 南翼回风巷某一时刻通风质量指标数据
Table 3 Ventilation quality index data at a certain moment in the south wing return airway

风速/(m·s-1)温度/℃湿度/%风量供需比瓦斯体积分数/%CO2体积分数/%CO体积分数/%O2体积分数/%粉尘浓度/(mg·m-3)1.3122.4631.02900.03021.11.7

3.2 东滩煤矿南翼回风巷通风质量动态评价

对于通风质量的评价,首先需完成指标权重的计算,即由多个煤矿通风安全专家对各区域指标进行重要度评判,取其均值,得到各指标间两两对比的重要度判断,再通过AHP计算该区域各指标权重。基于图1所建立的通风系统通风质量划区域评价层次指标,完成各区域的指标权重计算,判断矩阵记为Bi(i=1,2,…,6,分别表示采煤工作面的上隅角、回风巷、掘进工作面、硐室、进风区段、回风区段)。同时验证各判断矩阵Bi是否通过一致性检验,通过则计算权重,否则对判断矩阵进行修改,直到通过一致性检验,计算得出最终权重结果wBi,见表4。

在得到表4中的各指标的指标权重后,根据式(1)—式(3)对判断矩阵进行一致性检验,矩阵均通过了一致性检验,所得权重合理。从表4可得到采煤工作面回风巷各指标权重为wB2=[0.155 5,0.024 7,0.018 3,0.222 3,0.312 1,0.035 0,0.050 7,0.107 5,0.073 9]。

表4 各区域指标权重计算结果
Table 4 Calculation results of index weights in each region

wB1wB2wB3wB4wB5wB60.242 00.155 50.031 80.107 40.160 10.107 50.046 70.024 70.092 80.164 50.467 30.222 30.032 40.018 30.011 60.046 10.277 20.024 70.345 40.222 30.011 60.363 60.095 40.035 00.068 30.312 10.022 10.032 00.312 10.104 80.035 00.045 80.069 80.018 30.160 30.050 70.045 80.216 50.050 70.107 50.186 40.155 50.073 90.186 40.073 90.015 70.065 90.130 90.130 90.022 1

结合表3中东滩煤矿南翼回风巷中当前时刻所检测到的通风质量指标数据,计算当前时刻通风质量各指标在评价等级中的隶属度矩阵,完成该区域当前时刻的通风质量评价。

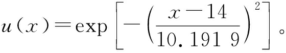
确定各区域隶属度矩阵的步骤:首先需基于《煤矿安全规程》中对各区域不同指标的界限规定,结合文中正态分布的函数完成各指标的等级划分。如对于采煤工作面回风巷中的温度,《煤矿安全规程》规定,生产矿井的采煤工作面和掘进工作面的空气温度应<26 ℃,当该区域的空气温度>30 ℃时,必须暂停作业。冬季总进风的温度应≥2 ℃,井下温度<2 ℃或者>26 ℃时,必须做好升温或降温的措施。结合式(4),可以得到a=(2+26)/2=14,又由于本文将等级划分为4类,故有u(2)=u(26)=1/4,通过计算,可以得到b=10.191 9,故得隶属度函数如下:再根据所划分等级函数值分别为1/4,1/2,3/4,1,得到不同级别的指标上下界,求得对温度的指标危险级别划分。同理,可以得到该区域其他指标的危险级别划分,具体的指标级别划分见表5。

表5 采煤工作面回风巷危险级别划分
Table 5 Classification of danger levels of return air roadway in coal working face

指标优秀良好合格危险风速/(m·s-1)1.3~2.90.8~1.3或2.9~3.40.25~0.8或3.4~4.0<0.25或>4温度/℃8.5~19.55.5~8.5或19.5~22.52~5.5或22.5~26<2或>26湿度/%37~7326~36或73~8315~26或83~95<15或>95风量供需比1.05~1.141.03~1.05或1.14~1.171~1.03或1.17~1.20<1或>1.2瓦斯体积分数/%0~0.450.45~0.70.7~1>1CO2体积分数/%0~0.550.55~0.850.85~1.50>1.5CO体积分数/%0~0.0010.001 0~0.001 70.001 7~0.002 4>0.002 4O2体积分数/%20.5~22.420~20.5或22.4~2319.5~20或23~23.5<19.5或>23.5粉尘浓度/(mg·m-3)0~0.90.9~1.41.4~2>2

在确定该区域指标分级的基础上,确定隶属度权重,根据划分指标的级别界限,结合隶属度函数确定理论求得矿井通风采煤工作面回风巷区域的各个通风质量指标的隶属度函数。

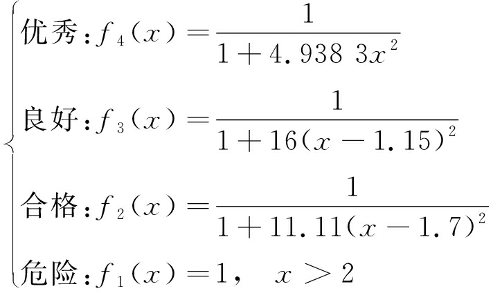
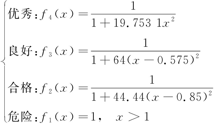
风速的隶属度函数为

(12)

温度的隶属度函数为

(13)

湿度的隶属度函数为

(14)

风量供需比的隶属度函数为

(15)

瓦斯浓度的隶属度函数为

(16)

CO2浓度的隶属度函数为

(17)

CO浓度的隶属度函数为

(18)

O2浓度的隶属度函数为

(19)

粉尘浓度的隶属度函数为

(20)

结合表3中传感器检测到的当前时刻数据,根据所建立的隶属度函数计算该区域指标在4个级别中的隶属度,归一化后所得各个指标的隶属度级别矩阵为

(21)

针对采煤工作面回风巷区域,此时w1即为wB2,计算w1·w2

w=[0.589 9,0.204 4,0.152 0,0]

(22)

根据置信度识别原则,选择置信度为 μ =0.6,即有0.589 9+0.204 4=0.794 3>0.6,可得评价集V为良好,故南翼回风巷此刻的通风质量评级为良好,与实际情况相符。

4 结论

(1) 分析了煤矿通风质量的影响因素,通过对《煤矿安全规程》及煤矿通风资料的研究分析,从通风需求和作用2个方面出发,将煤矿通风区域划分为进风区段、回风区段、采煤工作面、掘进工作面、硐室5个区域;全面考虑不同区域通风质量的影响因素,建立了不同区域的矿井通风质量动态评价指标体系;通过分析煤矿测风点实时监测数据的规律,结合《煤矿安全规程》中的指标界限,用符合监测数据分布的正态型函数对评价等级范围进行划分,提出了基于FCE-AHP的动态评价模型,对区域通风质量进行动态评价。该模型选取柯西分布隶属度函数,选择置信度判别原则确定评价级别,提高了通风质量评价的客观性。区域通风质量的动态评价有利于精准判断通风系统中的通风质量的危险源所在地。

(2) 利用基于FCE-AHP的动态评价模型对东滩煤矿的采煤工作面回风巷区域通风质量进行评价,评价结果为良好,煤矿经专家评定得到的通风质量为良好,评价结果与实际情况相符,说明评价模型的建立合理,能够对煤矿不同通风区域的通风质量进行动态评价,进而实现对矿井通风质量的综合评价,为改善煤矿通风系统质量提供依据,对煤矿通风安全生产的推进具有实用价值。

参考文献(References):

[1] 陈磊.煤矿通风系统安全可靠性评价研究[D].包头:内蒙古科技大学,2014.

CHEN Lei.Research on safety and reliability evaluation of coal mine ventilation system[D].Baotou:Inner Mongolia University of Science and Technology,2014.

[2] 庄万军.新形势下煤矿“一通三防”技术的应用分析[J].建材与装饰,2019,15(17):229-230.

ZHUANG Wanjun.Application analysis of "one ventilation and three prevention" technology in coal mines under the new situation[J].Building Materials & Decoration,2019,15(17):229-230.

[3] 苏盈盈.矿井通风系统指标体系的约简及其安全评价[J].中国安全科学学报,2013,23(9):83-89.

SU Yingying.Reduction of mine ventilation system index system and its safety evaluation[J].China Safety Science Journal,2013,23(9):83-89.

[4] 芦志刚.常村煤矿通风系统评价及应用[J].辽宁工程技术大学学报(自然科学版),2014,33(9):1193-1199.

LU Zhigang.Evaluation and application of ventilation system in Changcun Coal Mine[J].Journal of Liaoning Technical University (Natural Science Edition),2014,33(9):1193-1199.

[5] 张聪聪,吴世跃,安省伟,等.煤矿通风系统可靠性评价[J].工矿自动化,2015,41(1):114-118.

ZHANG Congcong,WU Shiyue,AN Shengwei,et al.Reliability evaluation of coal mine ventilation system[J].Industry and Mine Automation,2015,41(1):114-118.

[6] 李强.基于层次分析法的煤矿通风安全稳定性评价研究[J].山东煤炭科技,2019,37(2):203-205.

LI Qiang.Research on safety and stability evaluation of coal mine ventilation based on analytic hierarchy process[J].Shandong Coal Science and Technology,2019,37(2):203-205.

[7] 王海青.基于FMEA的煤矿通风系统评价研究[J].山西焦煤科技,2016,40(10):16-18.

WANG Haiqing.Research on coal mine ventilation system evaluation based on FMEA[J].Shanxi Coking Coal Science and Technology,2016,40(10):16-18.

[8] 孙佳保.主成分分析法在煤矿通风系统评价中的应用[J].机械管理开发,2017,32(10):84-86.

SUN Jiabao.Application of principal component analysis method in the evaluation of coal mine ventilation system[J].Machinery Management and Development,2017,32(10):84-86.

[9] 刘洋.AHP在煤矿通风系统安全评价中的应用[J].煤矿现代化,2018,27(1):110-112.

LIU Yang.The application of AHP in the safety evaluation of coal mine ventilation system[J].Coal Mine Modernization,2018,27(1):110-112.

[10] JIA Tinggui,LIU Jian.Stability of mine ventilation system based on multiple regression analysis[J].Mining Science and Technology(China),2009,19(4):463-466.

[11] 毕娟,李希建.基于模糊灰靶决策的矿井通风可靠性评价[J].矿业研究与开发,2019,39(10):122-126.

BI Juan,LI Xijian.Mine ventilation reliability evaluation based on fuzzy gray target decision[J].Mining Research and Development,2019,39(10):122-126.

[12] 江斌,闫辉,李居奎.多井田生产矿井通风系统的改造及应用[J].煤矿现代化,2013,22(3):108-109.

JIANG Bin,YAN Hui,LI Jukui.Renovation and application of ventilation system in multi-pit production mines[J].Coal Mine Modernization,2013,22(3):108-109.

[13] 郑万波,吴燕清,李先明,等.省级区域煤矿事故风险综合评估方法研究[J].工矿自动化,2016,42(9):22-26.

ZHENG Wanbo,WU Yanqing,LI Xianming,et al.Research on the comprehensive assessment of risk of coal mine accidents in provincial regions[J].Industry and Mine Automation,2016,42(9):22-26.

[14] 王晓形.基于AHP及专家打分法的大跨度隧道风险评估[J].现代隧道技术,2020,57(增刊1):233-240.

WANG Xiaoxing.Risk assessment of long-span tunnels based on AHP and expert scoring method[J].Modern Tunnelling Technology,2020,57(S1):233-240.

[15] 谢江,王金安,孙阳,等.基于改进AHP方法的西露天矿区地质稳定性评价[J].矿业研究与开发,2020,40(11):21-27.

XIE Jiang,WANG Jin'an,SUN Yang,et al.Geological stability evaluation of the west open-pit mining area based on improved AHP method[J].Mining Research and Development,2020,40(11):21-27.

Dynamic evaluation of mine ventilation quality based on FCE-AHP

JIN Hongmei, DANG Qi, LI Hong'an, LI Zhanli

(College of Computer Science and Technology, Xi'an University of Science and Technology,Xi'an 710600, China)

Abstract:The existing evaluation method of mine ventilation system is to evaluate it as a whole from the overall perspective of mine ventilation system. The evaluation conclusions are static and comprehensive, which cannot precisely locate the ventilation situation in the wind range of the mine and discover its problems, and can not reflect the current state of ventilation quality in real time. In order to solve the above problems, a dynamic evaluation model of mine ventilation quality based on fuzzy comprehensive evaluation method-analytic hierarchy process(FCE-AHP) is established to evaluate the ventilation quality of coal mines in real time. Firstly, according to the requirements and functions of mine ventilation, the ventilation area is divided into five areas, namely, air inlet section, air return section, coal working face, heading face and chamber. And the corresponding evaluation index system is determined according to each type of ventilation area. Secondly, according to the evaluation index system, the data monitored in real time by the sensors of corresponding wind measuring points are obtained, the evaluation index weights of each area are determined by AHP. And the membership degree of the evaluation level belonging to the real-time monitoring data is calculated by the Cauchy distribution membership function. Finally, the rating weights are calculated by applying FCE, and the regional ventilation quality level is determined by the confidence recognition principle so as to complete the dynamic evaluation of the ventilation quality of each region. Taking the south wing of return airway of Dongtan Coal Mine as an example, the FCE-AHP model is used to evaluate the ventilation quality of Dongtan Coal Mine in real time. The evaluation results show that the ventilation quality is good and is consistent with the actual situation, which proves the reliability of the model. The FCE-AHP model can evaluate the ventilation quality of different ventilation areas of coal mines in real time based on the data monitored in real time, determine the safety level of coal mine ventilation quality, then achieve a comprehensive evaluation of mine ventilation quality, and provide a basis for improving the quality of coal mine ventilation systems.

Key words:mine ventilation; dynamic evaluation of ventilation quality; ventilation area division; real-time monitoring; analytic hierarchy process; fuzzy comprehensive evaluation; membership degree; confidence recognition

中图分类号:TD724

文献标志码:A

文章编号1671-251X(2021)09-0077-08

DOI:10.13272/j.issn.1671-251x.2021050061

扫码移动阅读

收稿日期:2021-05-26;

修回日期:2021-08-29;

责任编辑:张强。

基金项目:陕西省自然科学基础研究计划项目(2020JQ-758,2019JM-162,2019JM-348);陕西省企业联合基金项目(2019JLM-10)。

作者简介:靳红梅(1973-),女,陕西大荔人,讲师,硕士,主要从事数字信号处理、计算机视觉等方面的研究工作,E-mail:jinhm@xust.edu.cn。

引用格式:靳红梅,党琪,李洪安,等.基于FCE-AHP的矿井通风质量动态评价[J].工矿自动化,2021,47(9):77-84.

JIN Hongmei,DANG Qi,LI Hong'an,et al.Dynamic evaluation of mine ventilation quality based on FCE-AHP[J].Industry and Mine Automation,2021,47(9):77-84.