矿井通风是煤矿安全生产过程中必不可少的环节,矿井通风系统存在较多不确定因素,具有随机性、动态性和复杂性[1]。对矿井通风系统进行健康评价,即对整个系统的安全稳定性进行科学衡量,从而保障矿井生产安全。
国内外学者针对矿井通风系统健康评价已开展了大量研究工作,如:前苏联Lyapounov提出了矿井通风系统的稳定性分析源于控制论中的系统稳定性概念[2];P.S.Paul等[3]提出了以人机交互为主的安全评价和灾害预测方法,较好地应用于矿山安全评价;王瑶[4]采用基于德尔菲-层次分析法及熵权法的模糊综合评价法对矿井通风系统进行评价,其结果具有一定的适用性与广泛性;毕娟等[5]采用模糊灰靶决策建立矿井通风可靠性评价模型,对系统可靠性进行量化分析,结合10个矿井通风系统数据,确定了通风系统评价等级;杨德智[6]分析了通风网络单元模型,提出了基于神经网络算法的通风系统可靠性预计方法;陈圆超等[7]针对矿井通风系统评价中的随机性和模糊性,将级差最大化组合赋权法和云模型综合运用于矿井通风系统评价工作。上述研究能较好地评价矿井通风系统健康水平,但评价指标均采用常权权重,评价结果易与客观实际背离,无法反映系统真实状态。陈开岩等[8]提出将变权理论引入矿井通风系统可靠性评价,但其研究偏重于软件开发,且应用的变权模型较复杂,存在一定的主观性与不确定性。此外,以往研究在选取通风系统健康评价指标时,由于技术不成熟,设备较落后,需要考虑的指标较多,导致各指标权重较低,某些指标异常对通风系统整体健康度的影响难以发现。随着科技不断进步及相关部门监管力度的加强,部分指标对系统的影响已解决,无需作为评价指标。
本文在充分考虑矿井通风系统健康评价要求与影响因素基础上,选取21项因素构建矿井通风系统健康评价指标体系,综合运用模糊综合评价法、层次分析法、变权理论,设计了矿井通风系统健康评价方法,通过实例验证了该方法得到的评价结果更接近实际情况。
(1) 综合评价方法。综合评价方法一般采用主观与客观相结合的方式,根据实际数据选择相应单一评价方法进行组合。目前常用的单一评价方法包括主成分分析法、加权平均法、模糊综合评价法、层次分析法、灰色综合评估法等。对于相对复杂的矿井通风系统,采用模糊综合评价法和层次分析法相结合的综合评价方法[9],可以较好地减小评价误差。
(2) 变权理论。变权理论是相对于常权理论而言的。在实际评价中一般有较多的评价指标,分配给各指标的权重相对较低,一旦某些指标出现突变或异常变化,会出现该指标与其他指标中和现象,导致评价结果失真。因此,有必要在评价矿井通风系统健康度时引入变权理论[10-11]。
(3) 变权模糊层次分析法。设计变权模糊层次分析法进行矿井通风系统健康评价。首先,采用层次分析法确定矿井通风系统各级评价指标的权重;然后,采用基于隶属度的Hardarmard乘积变权模型对评价指标权重进行变权计算,以反映权重随评价指标严重程度的变化情况;最后,采用模糊综合评价法将各指标权重与其隶属度相结合进行综合评价。
通过理论分析、现场调研、查阅文献等方式,确定了通风动力、通风网络、通风质量、通风设施4项因素(B1—B4)作为评价矿井通风系统健康度的一级指标,主要通风机稳定性、等积孔、风速合格率、通风设施合格率等21项因素(C1—C21)作为二级指标[12],建立矿井通风系统健康评价指标体系,如图1所示。
图1 矿井通风系统健康评价指标体系
Fig.1 Health evaluation indexes system of mine ventilation system
参考其他健康评价领域内健康等级划分方法[13-15],将矿井通风系统健康评价等级定义为F={f1,f2,f3,f4,f5}={健康,较健康,临界状态,不健康,病态}。根据《矿井通风质量标准及检查评定方法》、AQ 1011—2005《煤矿在用主通风机系统安全检测检验规范》、《煤矿安全规程》,在进行大量系统分析及文献查阅基础上[16],制定了矿井通风系统健康评价指标分级标准,见表1。
表1 矿井通风系统健康评价指标分级标准
Table 1 Grading standard of health evaluation indexes of mine ventilation system
评价指标健康评价等级量化值健康较健康临界状态不健康病态主要通风机稳定性>1.51.4~1.51.3~1.41.2~1.3≤1.2主要通风机备用系数>1.31.2~1.31.1~1.21~1.1≤1主要通风机综合效率/%>9085~90———局部通风机无计划停风故障率/%<55~88~1212~15≥15局部通风机安全装备合格率/%>9894~9889~9485~89≤85外部漏风率/%<55~1010~1515~20≥20等积孔/m2>2.52~2.51~20.5~1≤0.5通风网络结构复杂度<0.20.2~0.30.3~0.40.4~0.5≥0.5不稳定角联分支数<2020~2525~3030~35≥35采掘工作面串联通风率/%00~1010~2020~30≥30回风段阻力比/%<3535~3838~4242~45≥45巷道失修率/%<33~44~66~7≥7风量供需比<1.21.2~1.31.3~1.41.4~1.5≥1.5有效风量率/%>9085~9080~8570~80≤70采掘工作面瓦斯历史超限次数0123≥4风速合格率/%10099~10098~9997~98≤97有害气体污染度/%<0.10.1~0.20.2~0.40.4~0.5≥0.5通风设施合格率/%>9590~9585~9080~85≤80网络分支平均通风设施数<3.43.4~3.63.6~3.83.8~4≥4防灾设施合格率/%>9996~9993~9690~93≤90风网调节合理度<11~1.21.2~1.31.3~1.5≥1.5
采用层次分析法确定评价指标权重[17]。首先,确定一级评价指标相对于矿井通风系统健康评价等级的权重;其次,确定二级评价指标相对于一级评价指标的相对权重;再次,采用Matlab计算判断矩阵的特征值和特征向量,计算一致性指标;最后,计算随机率,进行一致性检验[18],防止出现严重的反逻辑错误,若判断矩阵未通过一致性检验,则需重新调整,直至满足条件。矿井通风系统健康评价指标权重计算结果见表2。
表2 矿井通风系统健康评价指标权重计算结果
Table 2 Calculation results of health evaluation indexes weights of mine ventilation system
一级评价指标一级评价指标权重二级评价指标二级评价指标相对权重通风动力0.286 2通风网络0.322 8通风质量0.236 4通风设施0.154 6主要通风机稳定性0.273 2主要通风机备用系数0.176 2主要通风机综合效率0.114 8局部通风机无计划停风故障率0.176 2局部通风机安全装备合格率0.176 2外部漏风率0.083 4等积孔0.229 2通风网络结构复杂度0.129 6不稳定角联分支数0.181 0采掘工作面串联通风率0.168 2回风段阻力比0.203 6巷道失修率0.088 4风量供需比0.271 5有效风量率0.191 7采掘工作面瓦斯历史超限次数0.247 4风速合格率0.165 6有害气体污染度0.123 8通风设施合格率0.350 5网络分支平均通风设施数0.135 0防灾设施合格率0.350 5风网调节合理度0.164 0
采用隶属度函数对各评价指标原始值进行处理,将不同维度的数值转换为[0,1]区间的隶属度。根据矿井通风系统健康评价指标特点,将其划分为效益型(数值越大越好)和成本型(数值越小越好)2种[19],其中主要通风机稳定性、主要通风机备用系数、主要通风机综合效率、局部通风机安全装备合格率、等积孔、有效风量率、风速合格率、通风设施合格率、防灾设施合格率为效益型指标,其余为成本型指标。指标分级界限由u1—u4表示[12]。本文拟定的隶属度函数为线性函数,如图2所示,函数表达式见表3,其中μ为隶属度,x为评价指标原始值。
(a) 效益型指标
(b) 成本型指标
图2 矿井通风系统健康评价指标隶属度函数
Fig.2 Membership functions of health evaluation indexes of mine ventilation system
表3 矿井通风系统健康评价指标隶属度函数表达式
Table 3 Membership function formulas of health evaluation indexes of mine ventilation system
评价等级效益型指标成本型指标健康μ=0x
对平顶山天安煤业股份有限公司某煤矿综采工作面通风系统进行实地调查,获取各评价指标原始值,采用层次分析法确定指标相对权重。将各评价指标原始值代入相应的隶属度函数,获得其隶属于不同评价等级的隶属度。需要注意的是,由于采用线性隶属度函数,会出现各指标的3个隶属度中至少有1个为0的情况,使其变权后的权重无穷大,导致结果无法计算。为解决该问题,取足够小的量δ取代值为0的隶属度,并在其他非零隶属度中相应地减去δ,确保每个指标的各隶属度之和为1。引入δ对评价结果的影响极小[20]。
(1)
式中n为值为0的隶属度数量。
矿井通风系统健康评价指标相对权重及隶属度计算结果见表4。
表4 矿井通风系统健康评价指标相对权重及隶属度计算结果
Table 4 Calculation results of relative weight and membership of health evaluation indexes of mine ventilation system
评价指标指标原始值隶属度健康较健康临界状态不健康病态相对权重变权相对权重主要通风机稳定性1.80.996 00.001 00.001 00.001 00.001 00.273 20.273 2主要通风机备用系数1.4470.996 00.001 00.001 00.001 00.001 00.176 20.176 2主要通风机综合效率87.5%0.001 00.996 00.001 00.001 00.001 00.114 80.114 8局部通风机无计划停风故障率3%0.996 00.001 00.001 00.001 00.001 00.176 20.176 2局部通风机安全装备合格率100%0.996 00.001 00.001 00.001 00.001 00.176 20.176 2外部漏风率4.36%0.996 00.001 00.001 00.001 00.001 00.083 40.083 4等积孔4.0 m20.996 00.001 00.001 00.001 00.001 00.229 20.213 7通风网络结构复杂度0.480.001 00.001 00.001 00.198 50.798 50.129 60.188 6不稳定角联分支数210.198 50.798 50.001 00.001 00.001 00.181 00.168 7采掘工作面串联通风率00.996 00.001 00.001 00.001 00.001 00.168 20.156 8回风段阻力比39.52%0.001 00.141 50.855 50.001 00.001 00.203 60.189 8巷道失修率5%0.001 00.001 00.996 00.001 00.001 00.088 40.082 4风量供需比1.30.001 00.498 50.498 50.001 00.001 00.271 50.241 8有效风量率87.58%0.155 50.841 50.001 00.001 00.001 00.191 70.170 7采掘工作面瓦斯历史超限次数00.996 00.001 00.001 00.001 00.001 00.247 40.220 3风速合格率98.32%0.001 00.001 00.816 50.180 50.001 00.165 60.147 5有害气体污染度0.56%0.001 00.001 00.001 00.001 00.996 00.123 80.219 7通风设施合格率100%0.996 00.001 00.001 00.001 00.001 00.350 50.350 5网络分支平均通风设施数0.440.996 00.001 00.001 00.001 00.001 00.135 00.135 0防灾设施合格率100%0.996 00.001 00.001 00.001 00.001 00.350 50.350 5风网调节合理度1.150.001 00.522 50.474 50.001 00.001 00.164 00.164 0
对煤矿通风系统健康度进行二级评价,先用二级指标评价相应的一级指标(一级评级),再用一级指标评价结果评价整个通风系统的健康度(二级评价)。
以通风动力B1为例介绍一级评价过程,步骤如下。
(1) 根据B1权重确定二级评价指标C1—C6的相对权重。
(2) 根据各指标在不同评价等级下的隶属度构造模糊关系矩阵。
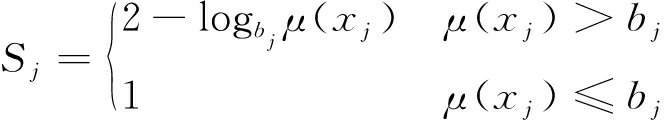
(3) 计算各指标的状态影响量[21]:
(2)
式中:bj为评价指标xj(j=1,2,…,m,m为评价指标数)调整水平,即xj隶属于最低评价等级(病态)时的隶属度阈值;μ(xj)为评价指标xj隶属于病态时的隶属度。
本文将b1,b2,…,bm取相同值,并规定某一评价指标隶属于病态时的隶属度大于0.6时,该评价指标已经很差,需进行相应调整,因此取bj=0.6。
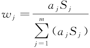
(4) 采用基于隶属度的Hardarmard乘积变权模型计算各评价指标的变权相对权重:
(3)
式中aj为评价指标xj的常权权重。
根据式(3)得通风动力B1二级评价指标变权相对权重向量WB1=(0.273 2,0.176 2,0.114 8,0.176 2,0.176 2,0.083 4)。可见由于二级评价指标在评价等级为病态时的隶属度均小于0.6,因此权重未发生改变。
同理,采用Hardarmard乘积变权模型对通风网络B2、通风质量B3与通风设施B4的二级评价指标权重进行变权计算,结果见表4。
(5) 模糊综合运算。通风动力B1的健康评价值为
HB1=WB1RB1
(4)
式中RB1为通风动力B1的模糊关系矩阵,由二级指标隶属度构成。
根据WB1及表2数据得HB1=(0.881 8,0.115 2,0.001 0,0.001 0,0.001 0)。
通风网络B2、通风质量B3与通风设施B4评价过程同上,可得HB2=(0.403 0,0.1622,0.245 2,0.038 2,0.151 4),HB3=(0.246 5,0.264 8,0.241 6,0.027 5,0.219 6),HB4=(0.832 8,0.086 5,0.078 7,0.001 0,0.001 0)。
将一级评价结果作为二级评价的依据,评价过程同上,得系统健康评价值:
H=WR
(5)
式中:W为一级评价指标变权权重向量;R为一级评价指标模糊关系矩阵,
分别采用常权权重、变权权重与模糊关系矩阵进行模糊综合运算,得到该矿通风系统健康评价结果,见表5。
表5 矿井通风系统健康评价结果
Table 5 Health evaluation results of mine ventilation system
权重健康较健康临界状态不健康病态变权0.569 50.161 30.148 70.019 30.101 2常权0.586 00.172 80.161 40.016 30.063 5
根据最大隶属度评定准则可知,该矿通风系统健康评价结果为健康,与2019年河南煤矿安全监察局安全技术中心出具的主要通风机性能测定报告与通风能力核定报告(报告表明该矿运行工况点处于安全、稳定、可靠、合理范围内,且通风机能力有一定富余)吻合。评价结果提示通风系统存在一些风险因素,需要改善通风网络结构,降低回风流中甲烷和氧气浓度,提高风速合格率,保证矿井通风系统处于健康状态。
由表5可看出:基于常权权重和变权权重得到的评价结果相同;基于变权权重得到的评价结果中“病态”等级比例为0.101 2,放大了不健康指标的影响,易引起相关人员关注,以及时发现隐患,做出相应调整与改进;基于常权权重得到的评价结果中“病态”等级比例仅为0.063 5,出现了不健康指标与其他指标中和的情况,导致评价结果失真,不能及时反映系统安全隐患。
(1) 综合应用模糊综合评价法、层次分析法和变权理论,提出了矿井通风系统健康评价方法。该方法采用模糊综合评价法与层次分析法相结合的综合评价方法,较使用单一评价方法时极大地降低了评价误差;引入变权理论,根据实际情况调整评价指标权重,放大不健康指标的影响,突出系统安全隐患,易引起相关人员重视。
(2) 根据矿井通风系统实际运行状况及健康评价研究现状,选取21项影响因素作为健康评价指标,避免了指标选择过多导致各指标权重较低的情况,确保了变权理论的实用性。采用基于隶属度的Hardarmard乘积变权模型进行变权计算,尽可能地避免了主观因素的影响,使评价结果更加客观。
(3) 采用本文方法对某煤矿通风系统健康度进行综合评价,根据最大隶属度评定准则,确定该矿通风系统健康评价等级为“健康”,与实际情况相符,验证了本文方法的合理性与可行性。评价结果反映出该矿通风系统中存在一些问题,提示相关人员进行调整,以保障矿井通风安全。
[1] 赵丹.基于网络分析的矿井通风系统故障源诊断技术研究[D].阜新:辽宁工程技术大学,2011.
ZHAO Dan.Study of fault source diagnosis technology for mine ventilation system based on network analysis[D].Fuxin:Liaoning Technical University,2011.
[2] 王从陆,吴超,王卫军.Lyapounov理论在矿井通风系统稳定性分析中的应用[J].中国安全生产科学技术,2005,1(4):46-49.
WANG Conglu,WU Chao,WANG Weijun.Application of Lyapounov theories in mine ventilation system stability analysis[J].Journal of Safety Science and Technology,2005,1(4):46-49.
[3] PAUL P S,MAITI J.The synergic role of sociotechnical and personal characteristics on work injuries in mines[J].Ergonomics,2008,51(5):737-767.
[4] 王瑶.基于Delphi-AHP和模糊熵权法的矿井通风系统综合评价研究[D].阜新:辽宁工程技术大学,2018.
WANG Yao.Comprehensive evaluation of mine ventilation system based on Delphi-AHP and fuzzy entropy method[D].Fuxin:Liaoning Technical University,2018.
[5] 毕娟,李希建.基于模糊灰靶决策的矿井通风可靠性评价[J].矿业研究与开发,2019,39(10):122-126.
BI Juan,LI Xijian.Reliability evaluation of mine ventilation based on fuzzy grey target decision[J].Mining Research and Development,2019,39(10):122-126.
[6] 杨德智.基于神经网络的矿井通风可靠性预计研究[J].山西冶金,2020,43(2):70-71.
YANG Dezhi.Reliability prediction of mine ventilation based on neural network[J].Shanxi Metallurgy,2020,43(2):70-71.
[7] 陈圆超,戴剑勇,谢东.矿井通风系统的组合赋权云模型综合评价[J].系统工程,2020,38(6):35-42.
CHEN Yuanchao,DAI Jianyong,XIE Dong.Comprehensive evaluation of mine ventilation system based on integrated weighing cloud model[J].System Engineering,2020,38(6):35-42.
[8] 陈开岩,王超.矿井通风系统可靠性变权综合评价的研究[J].采矿与安全工程学报,2007,24(1):37-41.
CHEN Kaiyan,WANG Chao.Variable weight comprehensive ensive evaluation for mine ventilation system seliability[J].Journal of Mining & Safety Engineering,2007,24(1):37-41.
[9] 任浩.基于模糊层次分析法的煤矿通风系统安全评价研究[J].机械管理开发,2018,33(7):153-155.
REN Hao.Study on safety evaluation of coal mine ventilation system based on fuzzy analytic hierarchy process[J].Mechanical Management and Development,2018,33(7):153-155.
[10] WU Qiang,ZHAO Dekang,WANG Yang,et al.Method for assessing coal-floor water-inrush risk based on the variable-weight model and unascertained measure theory[J].Hydrogeology Journal,2017,25(10):1-15.
[11] 肖匀,王文瑞,王斌,等.基于变权理论的高压隔离开关健康监测系统的研究[J].仪表技术与传感器,2020(3):48-53.
XIAO Yun,WANG Wenrui,WANG Bin,et al.Research on high-voltage disconnector health monitoring system based on variable weight theory[J].Instrument Technique and Sensor,2020(3):48-53.
[12] 陈欢.矿井通风系统健康指数研究[D].徐州:中国矿业大学,2014.
CHEN Huan.Research on health index of mine ventilation system[D].Xuzhou:China University of Mining and Technology,2014.
[13] 王国胜.河流健康评价指标体系与AHP-模糊综合评价模型研究[D].广州:广东工业大学,2007.
WANG Guosheng.Study on index system and AHP-fuzzy comprehensive evaluation model of river health evaluation[D].Guangzhou:Guangdong University of Technology,2007.
[14] 孙磊.胶州湾海岸带生态系统健康评价与预测研究[D].青岛:中国海洋大学,2008.
SUN Lei.Coastal ecosystem health assessment and prediction research of Jiaozhou Bay[D].Qingdao:Ocean University of China,2008.
[15] 何建东,张亚,梁谊.变权模糊模型在黄土高边坡稳定性评价中的应用[J].西北水电,2020(3):41-45.
HE Jiandong,ZHANG Ya,LIANG Yi.Application of variable weight fuzzy model in stability evaluation of loess high slope[J].Northwest Hydropower,2020(3):41-45.
[16] 陈开岩.矿井通风系统优化理论及应用[M].徐州:中国矿业大学出版社,2003.
CHEN Kaiyan.Mine ventilation system optimization theory and application[M].Xuzhou:China University of Mining and Technology Press,2003.
[17] 苏晓丹.基于AHP的火石咀煤矿通风系统模糊综合评价[D].阜新:辽宁工程技术大学,2016.
SU Xiaodan.Fuzzy comprehensive evaluation of ventilation system in Huoshizui Coal Mine based on AHP[D].Fuxin:Liaoning Technical University,2016.
[18] 吕跃进.指数标度判断矩阵的一致性检验方法[J].统计与决策,2006(18):31-32.
LYU Yuejin.Consistency checking method of index scale judgment matrix[J].Statistics & Decision,2006(18):31-32.
[19] 董怡静.基于模糊变权模型的煤矿井下瓦斯环境评价研究[J].中国煤炭,2020,46(4):52-56.
DONG Yijing.Study on gas environment evaluation in underground coal mine based on fuzzy variable weight model[J].China Coal,2020,46(4):52-56.
[20] 马进功.基于变权模糊理论的残煤连采可行性评价研究[J].煤炭科学技术,2021,49(8):30-37.
MA Jingong.Study on feasibility evaluation of continuous mining of residual coal based on variable weight fuzzy theory[J].Coal Science and Technology,2021,49(8):30-37.
[21] 黄温钢,王作棠.煤炭地下气化变权-模糊层次综合评价模型[J].西安科技大学学报,2017,37(4):500-507.
HUANG Wengang,WANG Zuotang.Comprehensive evaluation model of fuzzy analytic hierarchy process with variable weight for underground coal gasification[J].Journal of Xi'an University of Science and Technology,2017,37(4):500-507.
REN Zihui,CHEN Zepeng,WU Xinzhong,et al.Research on health evaluation of mine ventilation system[J].Industry and Mine Automation,2021,47(9):70-76.