煤低温氧化动力学参数测试方法对比研究

候飞1,2, 曹威虎1,2, 王艺1,2, 仲晓星1,2

(1.中国矿业大学 煤矿瓦斯与火灾防治教育部重点实验室, 江苏 徐州 221116;2.中国矿业大学 安全工程学院, 江苏 徐州 221116)

摘要针对现有研究缺乏对不同煤低温氧化动力学参数测试方法的对比分析,采用Coats-Redfern法、q/m法及Starink等转化率法3种测试方法分别计算煤低温氧化动力学参数,并以煤氧化自热反应时间和自燃临界堆积厚度作为对比参量比较3种方法的准确性。通过绝热氧化装置和同步热分析仪进行了煤样在纯氧和贫氧条件下的绝热氧化实验、多升温速率实验和恒温实验。根据热分析实验结果,分别采用3种方法计算煤低温氧化动力学参数。依据获得的动力学参数计算煤氧化自热反应时间和自燃临界堆积厚度。将计算结果与实测的煤氧化自热反应时间和采空区实际遗煤厚度进行对比,评价3种方法的准确性。实验结果表明:① 通过绝热氧化实验实测的煤氧化自热温度变化率随时间的推移均逐渐增大;采用Coats-Redfern法计算得到的温度在0~8 h(q/m法为0~10 h)内几乎不发生变化,超过这一时间段后温度迅速升高;采用Starink等转化率法获得的温度变化趋势与绝热氧化实验实测结果类似。② 采空区实际遗煤厚度大于Coats-Redfern法计算得到的临界堆积厚度;采用q/m法获得的临界堆积厚度超过了该工作面所在煤层厚度,与实际明显不符;采用Starink等转化率法获得的计算结果与实际较为接近。③ 采用Starink等转化率法获得的预测结果与实测结果更为接近,表明Starink等转化率法得到的煤低温氧化动力学参数较其他2种测试方法更为准确。

关键词煤自燃; 煤低温氧化动力学参数; Coats-Redfern法; q/m法; Starink等转化率法; 煤氧化自热反应时间; 自燃临界堆积厚度

0 引言

在煤炭工业生产中,当煤与氧气相互作用的产热速率大于散热速率时,就会发生煤自燃[1]。煤自燃不仅会影响正常生产作业、烧损大量煤炭资源,还会产生有毒有害物质,甚至诱发瓦斯、煤尘爆炸等二次灾害[2-3]。在煤自燃研究中,通常采用煤低温氧化动力学参数来定性衡量煤自燃倾向性[4]及定量表征煤氧反应速率和产热速率[5-6]等。当前测试煤低温氧化动力学参数的方法有绝热氧化法、金属网篮法和热分析法等,其中热分析法因测试所需煤样少、重复性好,被众多研究者所采用。基于不同热分析理论和实验研究,研究者提出了多种煤低温氧化动力学参数测试方法。Wang Haihui等[7]根据煤与氧气在35~115 ℃温度环境中反应时的质量变化,采用Coats-Redfern法分析了煤中水分析出过程中的活化能。Li Bo等[8]开展了3种干燥煤样在恒定升温速率下的TGA-DSC实验,根据放热速率q与质量m的比值变化获得了煤低温氧化过程的表观动力学参数(q/m法),发现温度为100~150 ℃时得到的动力学参数及放热速率与金属网篮法获得的结果一致。Zhong Xiaoxing等[9]采用q/m法研究了不同贫氧条件下煤低温氧化过程中表观活化能和指前因子的变化规律。J. Naktiyok等[10]依据多升温速率测试结果,分别采用Kissinger-Akahira-Sunose(KAS)、Flynn-Wall-Ozawa等转化率法及Coats-Redfern法和Master-Plot法计算了煤氧反应的活化能和指前因子。仲晓星等[11]基于热分析动力学理论中的Starink等转化率法推导出煤氧化自热动力学参数计算模型及其测试方法,依据3种不同变质程度的干燥煤样的绝热氧化实验、多升温速率实验和恒温实验结果,确定了测试煤氧化自热动力学参数的最优升温速率组合和转化率计算步长。这些研究的开展促进了对煤低温氧化动力学过程的认识,但对于相同热分析实验结果,采用不同方法获得的煤低温氧化动力学参数并不相同[10],现有研究尚缺乏对不同煤低温氧化动力学参数测试方法的对比分析。为此,本文采用常用的Coats-Redfern法、q/m法和Starink等转化率法分别测试煤样在不同氧浓度下的低温氧化动力学参数,对比研究3种方法测试结果的准确性。

1 理论基础

1.1 煤低温氧化动力学参数测试方法

1.1.1 Coats-Redfern法

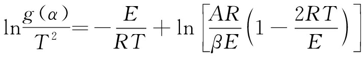
Coats-Redfern法是一种以单升温速率测试结果为基础的动力学参数计算方法。

(1)

式中:g(α)为最概然机理函数,Coats-Redfern法的研究中常以一阶反应机理表示,即g(α)=-ln(1-α),α为转化率;T为温度,K;E为表观活化能,kJ/mol;R为普适气体常数,R=8.314 J/(mol·K);A为指前因子,s-1β为升温速率,K/min。

对于煤低温氧化过程,式(1)中RT/E≪1,即(1-2RT/E)≈1,则式(1)可简化为[12]

(2)

当升温速率β一定时,用ln(g(α)/T2)对1 000/T作散点图并线性拟合,获得斜率K1和截距C1,分别通过式(3)和式(4)求得煤氧作用的表观活化能E1和指前因子A1

E1=-K1R

(3)

(4)

1.1.2 q/m

q/m法是一种以放热速率为基础的单升温速率法。根据Arrhenius速率方程,煤氧作用过程的放热速率可表示为[8-9]

(5)

式中:m为煤样质量,g;Q为反应放热量,J/g。

对式(5)进行处理后可得

(6)

用ln(q/m)对1 000/T作散点图并进行线性拟合,获得斜率K2和截距C2,分别通过式(7)和式(8)求得煤氧作用过程的表观活化能E2和指前因子A2

E2=-K2R

(7)

(8)

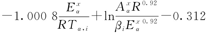
1.1.3 Starink等转化率法

等转化率法是一种多升温速率法,该方法基于等转化率法则,认为固定转化率下的反应速率只是温度的函数,在预测表观活化能时无需提前假设反应机理模型,因此又被称为自由模型法[13]。等转化率法的处理方式很多,现有研究结果认为KAS法中的Starink法准确性较高,其表达式为[14]

(9)

式中:βi为不同升温速率;Tα,i为与升温速率βi相对应的不同转化率下的温度;Eα为不同转换率下的表观活化能;Aα为不同转换率下的指前因子;g(α)α为不同转化率下的最概然机理函数。

通过多升温速率实验得到不同升温速率对应转化率下的温度Tα,i,用对1 000/Tα,i作散点图并线性拟合,获得斜率Kα和截距Cα,分别通过式(10)和式(11)求得对应转化率下的表观活化能Eα和指前因子Aα

(10)

(11)

为确定不同转化率下煤氧作用遵循的最概然机理函数g(x为文献[11]中列出的常用的20种气固反应机理函数编号),对式(9)进行变形,得

(12)

式中分别为不同机理函数下的煤氧反应活化能、指前因子。

依据式(12),当转化率一定时,分别作20种机理函数下关于1 000/Tα,i变化的散点图并对其进行线性拟合,根据斜率获得对应活化能Eα为标准,比较Eα,与Eα相等或相近的所对应的机理函数即为该转化率下煤氧作用遵循的最概然机理函数。

1.2 对比参量

以煤氧化自热反应时间和自燃临界堆积厚度作为对比参量比较Coats-Redfern法、q/m法和Starink等转化率法的准确性。根据热分析实验结果,分别采用3种方法计算煤低温氧化动力学参数。依据获得的动力学参数计算煤氧化自热反应时间和自燃临界堆积厚度。将计算结果与实测的煤氧化自热反应时间和采空区实际遗煤厚度进行对比,评价3种方法计算结果的准确性。

煤氧化自热反应时间计算公式为[11]

(13)

式中:T(α)为对应转化率下的温度; f(α)为g(α)的微分形式。

采用式(13)计算煤氧化自热反应时间t时,除需获得动力学参数EAf(α)外,还应确定T(α)。本文采用文献[11]中的恒温法计算T(α)。

自燃临界堆积半厚度计算公式为[15]

(14)

式中:δc为F-K准则参数,采空区δc=0.88;Tα为环境温度,K;λ为热传导系数,λ=0.32 W/(m·K);ρ为煤体密度,kg/m3Tα,c为临界环境温度,K。

2 实验

2.1 煤样选取与制备

实验所用煤样取自某煤矿工作面,属于气煤煤种。该工作面所在煤层厚度为14.95 m,最短自然发火期为34 d。从现场取新鲜块状原煤密封送至实验室低温保存,实验前,取采集的原煤内部未受氧化部分,在惰性气氛包围的真空手套箱内研磨并筛选粒径为0.18~0.42 mm的颗粒作为测试煤样。实验煤样的工业分析和元素分析见表1。

表1 实验煤样的工业分析和元素分析
Table 1 Proximate and ultimate analyses of coal samples %

工业分析元素分析水分挥发分灰分固定碳CHNSO1.1529.4013.3456.1183.274.721.300.2010.51

2.2 测试过程

为计算煤氧化自热反应时间并与实测结果进行对比,依据文献[11]的实验步骤,采用SDT-Q600型TG-DSC同步热分析仪,开展了纯氧条件下的多升温速率实验和恒温实验。多升温速率实验的升温速率分别设置为0.2,0.5,1.0,2.0 K/min,恒温实验的恒温温度和反应时间设置与文献[11]相同。同时,通过笔者所在团队自行研制的绝热氧化装置,进行了相同条件下的绝热氧化实验,以获得煤氧化自热反应时间的实测值。

为比较煤自燃临界堆积厚度的计算结果与采空区实际遗煤厚度,设计了不同贫氧条件(氧气体积分数分别为21%,16%,12%,8%,4%)下的多升温速率实验和恒温实验。与纯氧实验过程不同,贫氧实验的煤样未经378 K干燥处理。本团队前期在该工作面采空区实测的温度为288~308 K,因此贫氧条件下恒温实验温度分别设为288,293,298,303,308 K。

3 实验结果分析

3.1 煤低温氧化动力学参数计算结果

测试煤样在纯氧、不同升温速率条件下的实验结果如图1所示,实线为质量随温度变化曲线,虚线为放热速率随温度变化曲线。可看出在恒定升温速率下,煤样质量随温度升高呈先减少、后增加、再减少的变化规律,而放热速率曲线出现2个明显的放热峰;对于不同升温速率,煤样质量和放热速率曲线随升温速率的增大均表现出温度的滞后效应,且升温速率越大,滞后效应越强。贫氧条件下测试结果的变化规律与纯氧条件下相同。在纯氧、升温速率为1.0 K/min条件下,根据质量变化规律将煤氧作用过程划分为3个阶段,如图2所示。阶段1和阶段2为煤低温氧化过程,阶段3为煤高温燃烧过程,本文研究对象为阶段1和阶段2。以初始放热速率为基线,通过放热速率随温度变化曲线积分(图中黄色区域),获得反应放热量Q

图1 质量和放热速率随温度变化曲线
Fig.1 Mass and heat release rate change curves with temperature

图2 煤氧作用过程的阶段划分
Fig.2 Stage division of the coal-oxygen action process

采用Coats-Redfern法计算煤低温氧化动力学参数时,依据式(15)将多升温速率实验测得的煤样质量变化转换为对应转化率;依据式(2)—式(4),通过拟合ln(g(α)/T2)关于1 000/T的散点图获得煤氧作用下的动力学参数。参考国内外相关研究,以1.0 K/min下的测试结果为基础进行动力学参数求解(同q/m法)。

(15)

式中:m0为煤样初始质量;Δm为煤样整体质量变化量。

采用Coats-Redfern法计算得到的测试煤样在不同氧气浓度氛围中反应的动力学参数见表2。

表2 采用Coats-Redfern法得到的煤低温氧化动力学参数
Table 2 Kinetic parameters of coal oxidation at low temperature obtained by Coats-Redfern method

氧气体积分数/%反应区间/K指前因子/s-1表观活化能/(kJ·mol-1)100阶段18.21×10880.49阶段22.12×10359.3221288~3081.03×10651.8016288~3089.80×10550.1012288~3084.85×10543.828288~3081.53×10534.734288~3087.28×10433.06

采用q/m法计算煤氧化动力学参数时,通过不同氧气浓度、1.0 K/min下程序升温实验的放热速率随温度变化曲线积分,获得反应放热量;依据式(6)—式(8),通过拟合ln(q/m)关于1 000/T的散点图获得不同氧浓度下的动力学参数,见表3。

表3 采用q/m法得到的煤低温氧化动力学参数
Table 3 Kinetic parameters of coal oxidation at low temperature obtained by q/m method

氧气体积分数/%反应区间/K指前因子/s-1表观活化能/(kJ·mol-1)反应放热量/(J·g-1)100阶段1阶段29.19×10-52.40×10-40.972 79.557 717 50021288~3083.61×10-62.790 015 09816288~3087.21×10-59.650 014 85012288~3082.54×10-57.410 014 9638288~3082.38×10-58.270 014 3564288~3082.15×10-56.610 011 300

采用Starink等转化率法计算煤低温氧化动力学参数时,依据式(15)将不同升温速率实验测得的煤样质量变化转换为对应转化率;依据式(9)—式(11),通过拟合关于1 000/Tα,i变化的散点图获得煤氧反应的动力学参数,结果如图3所示(由于指前因子呈指数变化,图中以其自然对数进行展示)。可看出氧气浓度一定时,表观活化能和指前因子随转化率的变化规律基本相同。对于纯氧条件下的反应,阶段1的表观活化能和指前因子在初期变化较大,但随着反应的进行逐渐趋于平缓,而阶段2的表观活化能和指前因子在整个反应阶段变化较小;不同贫氧条件下煤氧反应的表观活化能和指前因子随氧气浓度的降低而减小。

(a) 纯氧

(b) 贫氧
图3 Starink等转化率法计算煤低温氧化动力学参数结果
Fig.3 Kinetic parameters of coal oxidation at low temperature obtained by Starink iso-conversional method

3.2 煤氧化自热反应时间对比分析

测试煤样在不同氧气浓度下的恒温实验结果如图4所示。可看出在各恒温温度作用下,煤样与氧气作用一定时间后质量均达到平衡,纯氧条件下阶段1反应的平衡质量随温度增大而逐渐减小,而阶段2反应的平衡质量随温度的增大而逐渐增大;贫氧条件下288~308 K内平衡质量随温度的变化与纯氧条件下阶段1相同,且相同温度下氧气浓度越高,平衡质量越小。

(a) 纯氧

(b) 不同氧气浓度
图4 测试煤样的恒温实验结果
Fig.4 Results of constant-temperature experiments of coal sample

通过式(15)将各平衡质量转换为对应转化率,采用函数拟合方法获得不同氧气浓度下煤氧化自热过程温度与转化率的函数关系,结果见表4。

表4 测试煤样氧化自热过程温度与转化率的对应关系
Table 4 Relationship between temperature and conversion rate in the process of self-heating of coal sample oxidation

氧气体积分数/%反应区间/K温度拟合函数拟合优度100阶段1T=4.55exp(α/0.43)+308.90.995阶段2T=42.21α2+55.12α+354.800.99421288~308T=0.0087exp(-α/0.1)+287.970.99016288~308T=0.013exp(-α/0.1)+288.000.99112288~308T=0.024exp(-α/0.108)+287.880.9768288~308T=0.034exp(-α/0.116)+287.820.9644288~308T=0.044exp(-α/0.117)+287.810.953

将3种方法计算得到的煤样在纯氧条件下的低温氧化动力学参数及温度与转化率对应关系分别代入式(13),获得煤氧化自热反应时间随温度的变化结果,并将其与绝热氧化实验的实测值进行对比。3种方法计量T-t曲线与绝热氧化实验实测T-t曲线的对比如图5所示。可看出绝热氧化实验实测的煤氧化自热温度变化率随时间的推移逐渐增大;采用Coats-Redfern法计算得到的温度在0~8 h(q/m法为0~10 h)内几乎不发生变化,超过这一时间段后温度迅速升高;采用Starink等转化率法获得的T-t曲线变化趋势与绝热氧化实验实测结果类似。采用Starink等转化率法获得的计算结果与实测结果更为接近,表明Starink等转化率法得到的煤低温氧化动力学参数较准确。

图5 3种方法T-t曲线与实测T-t曲线结果
Fig.5 Predicted T-t curves by three methods and measured T-t curve

3.3 煤自燃临界堆积厚度对比分析

将Coats-Redfern法、q/m法和Starink等转化率法测试得到的煤样在不同温度和氧气浓度条件下的动力学参数代入式(14),获得对应的煤自燃临界堆积厚度,计算结果如图6所示。可看出氧气浓度和温度越低,煤自燃临界堆积厚度越大。采用Coats-Redfern法得到的临界堆积厚度范围为0.44~1.97 m,采用q/m法获得的临界堆积厚度范围为24.21~68.82 m,采用Starink等转化率法获得的临界堆积厚度范围为1.98~ 4.78 m。

(a) Coats-Redfern法

(b) q/m

(c) Starink等转化率法
图6 3种方法计算临界堆积厚度结果
Fig.6 The critical accumulative thickness of coal spontaneous combustion obtained by three methods

工作面采空区实测参数见表5,遗煤厚度约为2.15 m,在此条件下整个回采过程未发生煤自燃。然而,采空区实际遗煤厚度大于Coats-Redfern法计算得到的临界堆积厚度;同时,依据采空区煤自燃“三带”划分标准,回采过程中遗煤处于“氧化带”(即氧气体积分数在5%~18%之间)的时间为35 d,超过了煤层最短自然发火期。按照煤自燃判定准则,采空区遗煤理应发生自燃。采用q/m法获得的临界堆积厚度超过了该工作面所在煤层厚度,与实际明显不符。显然,上述2种方法的计算结果与实际情况均不相符。

表5 某煤矿工作面采空区实测参数
Table 5 The parameters measured in the goaf

日期埋深/m氧气体积分数/%日期埋深/m氧气体积分数/%8月17日0.020.969月15日127.515.808月20日10.020.859月17日138.414.318月25日26.020.759月20日149.312.678月27日38.420.719月22日162.710.548月29日53.820.519月24日175.39.338月30日59.720.449月27日186.89.309月2日74.219.569月30日199.47.159月5日90.418.2510月3日211.56.659月8日102.817.7310月6日228.65.649月10日110.317.0510月9日245.74.769月12日118.616.4110月12日262.83.25

采空区实际浮煤厚度在Starink等转化率法计算得到的临界堆积厚度范围内,表明遗煤具有一定的自燃危险性,但实际回采过程中未发生煤自燃,主要是由于工作面向前推进使得遗煤所处环境氧气浓度降低,导致自燃临界堆积厚度增大。以实测采空区最高温度308 K为例,拟合获得图6(c)中308 K条件下临界堆积厚度与氧气浓度的函数关系,当临界堆积厚度为2.15 m时,对应的氧气体积分数为9.41%。因此,在实际遗煤厚度为2.15 m、环境温度为308 K条件下,具有自燃危险性的氧气体积分数区间应为9.41%~18%,对应表5中9月8—24日,仅16 d,小于煤层最短自然发火期,所以回采过程中未发生煤自燃。对于采空区内温度低于308 K的情况,根据图6可知,当氧气浓度一定时,临界堆积厚度随温度的降临逐渐增大,也不会发生煤自燃。通过上述分析可知,采用Starink等转化率法获得的计算结果与实际较为接近。

4 结论

(1) 根据煤样在纯氧条件下的多升温速率实验结果,分别采用Coats-Redfern法、q/m法及Starink等转化率法获得了煤低温氧化动力学参数。结合恒温实验得到的温度与转化率间的函数关系,计算了煤自热氧化反应时间。与绝热氧化实验测试结果相比,发现采用Starink等转化率法得到的煤氧化自热温度随时间变化曲线与实测结果更为接近。

(2) 依据贫氧条件下的多升温速率实验和恒温实验结果,分别采用3种方法获得了煤在不同氧气浓度和温度下的自燃临界堆积厚度。与采空区实际遗煤厚度相比,发现采用Coats-Redfern法和q/m法获得的结果与实际明显不符,而采用Starink等转化率法得到的结果更加接近采空区实际情况。

(3) 以测试煤样氧化自热反应时间和自燃临界堆积厚度为对比参量,结合绝热氧化实验测得的煤氧化自热温度随时间变化曲线和采空区实际遗煤厚度,比较了3种测试方法的准确性,结果表明采用Starink等转化率法计算得到的煤低温氧化动力学参数较其他2种测试方法更为准确。

参考文献(References):

[1] 王德明.矿井火灾学[M].徐州:中国矿业大学出版社, 2008.

WANG Deming.Mine fires[M].Xuzhou:China University of Mining and Technology Press,2008.

[2] 王德明.煤矿热动力灾害及特性[J].煤炭学报,2018, 43(1):137-142.

WANG Deming.Thermodynamic disaster in coal mine and its characteristics[J].Journal of China Coal Society, 2018,43(1):137-142.

[3] HAMEED S,SHARMA A,PAREEK V,et al.A review on biomass pyrolysis models:kinetic, network and mechanistic models[J].Biomass & Bioenergy,2019,123:104-122.

[4] DOU Guolan, JIANG Zhiwei. Sodium humate as an effective inhibitor of low-temperature coal oxidation[J]. Thermochimica Acta,2019,673:53-59.

[5] TANG Yan, ZHONG Xiaoxing, LI Guangyu, et al. Simulation of dynamic temperature evolution in an underground coal fire area based on an optimised thermal-hydraulic-chemical model[J]. Combustion Theory and Modelling,2019,23(1):127-146.

[6] LI Xiyan, KR S K, CONDRA T, et al.A detailed computational fluid dynamics model on biomass pellet smoldering combustion and its parametric study[J].Chemical Engineering Science,2020,231:116247.

[7] WANG Haihui, DLUGOGORSKI B Z,KENNEDY E M. Analysis of the mechanism of the low-temperature oxidation of coal[J].Combustion & Flame,2003,134(1):107-117.

[8] LI Bo, CHEN Gang, ZHANG Hui, et al. Development of non-isothermal TGA-DSC for kinetics analysis of low temperature coal oxidation prior to ignition[J].Fuel, 2014,118:385-391.

[9] ZHONG Xiaoxing, LI Linda, CHEN Yun, et al. Changes in thermal kinetics characteristics during low-temperature oxidation of low-rank coals under lean-oxygen conditions[J]. Energy & Fuels, 2017,31(1):239-248.

[10] NAKTIYOK J, BAYRAKCEKEN H,OZER A K, et al. Investigation of combustion kinetics of Umutbaca-lignite by thermal analysis technique[J]. Journal of Thermal Analysis and Calorimetry,2017,129(1):531-539.

[11] 仲晓星,候飞,曹威虎,等.基于等转化率法的煤氧化自热动力学参数测试方法[J].煤炭学报, 2021,46(6):1721-1737.

ZHONG Xiaoxing, HOU Fei, CAO Weihu, et al. Testing approach of self-heating kinetic parameters of coal oxidation based on iso-conversional method[J]. Journal of China Coal Society,2021,46(6): 1727-1737.

[12] LIU Xing, TAN Houzhang, WANG Xuebin,et al.Oxidation reactivity and kinetic analysis of bituminous coal char from high-temperature pyrolysis: effect of heating rate and pyrolysis temperature[J].Thermochimica Acta,2020,690:178660.

[13] VYAZOVKIN S,BURNHAM A K,CRIADO J M,et al.ICTAC kinetics committee recommendations for performing kinetic computations on thermal analysis data[J].Thermochimica Acta,2011,520(1/2):1-19.

[14] STARINK M J. The determination of activation energy from linear heating rate experiments:a comparison of the accuracy of isoconversion methods[J].Thermochimica Acta,2003,404(1/2):163-176.

[15] 仲晓星,王德明,周福宝,等.金属网篮交叉点法预测煤自燃临界堆积厚度[J].中国矿业大学学报,2006,35(6):718-721.

ZHONG Xiaoxing, WANG Deming, ZHOU Fubao, et al. Critical accumulative thickness prediction of coal spontaneous combustion with a wire-mesh basket crossing point method[J].Journal of China University of Mining & Technology,2006,35(6):718-721.

Comparative study on test methods of coal low-temperature oxidation kinetic parameters

HOU Fei1,2, CAO Weihu1,2, WANG Yi1,2, ZHONG Xiaoxing1,2

(1.Key Laboratory of Gas and Fire Control for Coal Mines, China University of Mining and Technology,Xuzhou 221116, China; 2.School of Safety Engineering, China University of Mining and Technology,Xuzhou 221116, China)

AbstractIn order to solve the problem of the lack of comparative analysis of different coal low-temperature oxidation kinetic parameters test methods in existing studies, three test methods, Coats-Redfern method, q/m method and Starink iso-conversional method, are used to calculate coal low-temperature oxidation kinetic parameters respectively. The accuracy of the three methods is compared with coal oxidation self-heating reaction time and critical accumulative thickness of spontaneous combustion as comparative parameters. The adiabatic oxidation experiment, the multiple heating rate experiment and the constant temperature experiment of the coal sample under pure oxygen and poor oxygen conditions are carried out through an adiabatic oxidation device and a simultaneous thermal analyzer. Based on the results of the thermal analysis experiments, three methods are used to calculate coal low-temperature oxidation kinetic parameters. The coal oxidation self-heating reaction time and the critical accumulative thickness of spontaneous combustion are calculated based on the obtained kinetic parameters. The calculated results are compared with the measured coal oxidation self-heating reaction time and the actual thickness of residual coal in goaf to evaluate the accuracy of the three methods. The experimental results show the results as follows. ① The coal oxidation self-heating temperature change rate measured by the adiabatic oxidation experiment increases gradually with the time. The temperature calculated by the Coats-Redfern method hardly changes from 0-8 h (0-10 h for the q/m method), and the temperature increases rapidly after this time period. The temperature change trend obtained by the Starink iso-conversional method is similar to the measured result of adiabatic oxidation experiment. ② The actual thickness of residual coal in goaf is greater than the critical accumulative thickness calculated by the Coats-Redfern method. The critical accumulative thickness obtained by the q/m method exceeds the thickness of the coal seam where the working face is located, which is obviously inconsistent with the actual situation. The calculation results obtained by the Starink iso-conversional method are closer to the actual situation. ③ The prediction results obtained by the Starink iso-conversional method are closer to the measured results, indicating that the low-temperature coal oxidation kinetic parameters obtained by the Starink iso-conversional method are more accurate than the other two test methods.

Key words: coal spontaneous combustion; coal low-temperature oxidation kinetic parameters; Coats-Redfern method; q/m method; Starink iso-conversional method; coal oxidation self-heating reaction time; spontaneous combustion

中图分类号:TD752

文献标志码:A

文章编号1671-251X(2021)09-0058-08

DOI:10.13272/j.issn.1671-251x.17812

扫码移动阅读

收稿日期:2021-07-02;

修回日期:2021-09-12;

责任编辑:胡娴,郑海霞。

基金项目:国家自然科学基金面上资助项目(51774276);国家自然科学基金重点项目(52130411)。

作者简介:候飞(1994-),男,山西晋城人,博士,研究方向为煤矿火灾防治技术,E-mail: 1297929816@qq.com。

通信作者:仲晓星(1981-),男,江苏海安人,教授,博士,研究方向为煤矿火灾防治技术,E-mail: zhxxcumt@cumt.edu.cn。

引用格式:候飞,曹威虎,王艺,等.煤低温氧化动力学参数测试方法对比研究[J].工矿自动化,2021,47(9):58-64.

HOU Fei, CAO Weihu, WANG Yi,et al.Comparative study on test methods of coal low-temperature oxidation kinetic parameters[J].Industry and Mine Automation,2021,47(9):58-64.