矿井稳定可靠的通风是煤矿安全生产的保障[1-2]。随着矿井开采深度增加和煤矿机械化不断发展,掘进工作面长度逐渐加大,单巷最长掘进距离达5 000 m以上,局部通风更是成为日常通风安全管理的重点和难点。目前矿井局部风量调节方式主要有手动和自动2种。手动调节包括扎风筒法、三叉风筒排瓦斯法、断风筒法、出口挡风板节流调节法;自动调节包括进口导向器调节和变频调速调节[3-4]。近年来,随着自动化及变频技术的发展,局部通风自动控制取得了一定成果,如瓦斯、风、电闭锁与监测系统遥控为局部通风提供保障,主要是依据掘进工作面环境参数(有毒有害气体浓度、粉尘浓度等)进行控制,当监测值超过设定值时自动断电,但该方式仅是手动调节通风机频率,智能化程度远远不足[5]。另外,风筒作为掘进工作面新鲜风流的唯一通道,风筒参数目前仍依靠人工采集[6-9],缺少准确、可靠的监测方法来反映通风状态[10-11],无法为准确调节风量提供依据,导致局部通风机长时间以额定功率运行,不仅浪费能源,且当瓦斯等有害气体超限时容易造成局部积聚,增加事故发生风险[12-13]。
本文从矿井局部通风智能化总体设计出发,设计局部通风智能调控系统,动态分析掘进工作面通风状态,挖掘异常信息并适时有效调节,以实现智能化调节局部风量的目的。
矿井局部通风智能调控系统由地面监控中心、局部通风机变频监控系统、掘进工作面环境监控系统、工业以太网通信系统组成,如图1所示。
图1 矿井局部通风智能调控系统组成
Fig.1 Composition of intelligent regulation and control system of mine local ventilation
地面监控中心由智能网关、显示终端和服务器组成,用于实时监控整个煤矿所有掘进工作面局部通风机运行参数,通风异常时快速实现远程切换与智能调控,恢复安全状态,无法排除异常时报警。局部通风机变频监控系统由监控分站、局部通风机工况监测传感器和变频控制组件组成,用于实时监测局部通风机运行工况参数,完成对局部通风机运行频率调控。掘进工作面环境监控系统由通风参数监测模块、环境参数采集模块和监控分站组成,用于实时监测井下掘进工作面通风与环境参数,研判与预测需风量,确定工作面风量供需匹配模型。工业以太网通信系统由光纤网络、以太网模块与交换机组成,用于传输井下掘进工作面环境参数、通风参数、局部通风机运行工况参数及地面监控中心控制指令。
系统综合应用计算机、PLC、风量智能调控、智能化软件开发等技术,通过远程连续点动式切换局部通风机,实现局部通风无人值守;通过掘进工作面监测数据分析需风量,建立掘进工作面最佳风量供需匹配模型,根据局部通风机特性曲线库实时查找所需运行频率,进行智能化调控,实现局部通风智能化与安全节能化。
矿井局部通风智能调控系统基于环境监测数据评估掘进工作面风质并计算需风量,构建分级调控规则,结合局部通风机运行工况,通过智能决策算法实现按需供风,达到井下掘进工作面风量供需匹配的动态平衡。系统原理如图2所示。
图2 矿井局部通风智能调控系统原理
Fig.2 Principle of intelligent regulation and control system of mine local ventilation
系统将采集的井下多个掘进工作面环境参数、通风参数及通风机运行工况参数,通过工业以太网传输给地面监控中心,实现井下所有掘进工作面通风状态远程实时监测与分析。当监测到掘进工作面环境参数和通风参数异常时,系统发出报警。地面监控中心通过分析掘进工作面环境参数和通风参数计算工作面最佳需风量,根据风量-频率特性模型确定排除异常的局部通风机调控方案。服务器运用数据库中预置的通风模型和监测的通风参数进行通风机运行状态的安全性检验,实现调控方案超前模拟,通过仿真验证拟定的调控方案,以保障调控过程安全,若计算得局部通风机频率调至50 Hz仍无法排除异常瓦斯涌出,则立即报警,采取相应措施。
矿井局部通风智能调控系统从安全节能的要求出发,实现局部通风机按需供风,同时按照局部通风系统管理要求,集成局部通风机自动切换、瓦斯闭锁、风电闭锁等功能,实现局部通风管理智能化。
矿井局部通风智能调控系统包括局部通风参数实时监测、局部通风系统功耗分析、风量供需匹配分析、通风异常研判预警等功能模块。局部通风参数实时监测模块包括各种传感器和监控分站,通过风筒风量测点优化布置和监测动压动能计算校验,实现局部风量准确监测。局部通风系统功耗分析模块实现风筒阻力可视化监测和异常预警。风量供需匹配分析模块依据风量数据及风量供需的超前模拟,对通风机调控进行预测,并生成智能化调控方案。通风异常研判预警模块依据监测的多元环境参数,提取局部通风故障状态的特征样本和前兆信息,实现局部通风状态的发展态势研判预警。
系统界面如图3所示。
图3 矿井局部通风智能调控系统界面
Fig.3 Interface of intelligent regulation and control system of mine local ventilation
局部通风智能调控的前提是获取实时、可靠的基础通风参数。采用皮托管、通风多参数测量仪等采集风筒内部各测点处静压、动压及工作面环境参数,快速计算测点风量等参数,并上传至地面监控中心数据库。局部通风参数测点分布及监测配置如图4所示。
1-局部通风机出口;2-风筒出口;3-皮托管;4-测量断面;5-通风参数显示模块;6-通风多参数测量仪。
图4 局部通风参数测点分布及监测配置
Fig.4 Monitoring points distribution and configuration for local ventilation parameters
风筒内部风量计算过程:根据干湿球温度计测量结果计算风筒内风流密度ρ,结合采集的测点i处动压hi,由能量方程得测点i处平均风速:
(1)
再根据测量的风筒断面积Si计算风筒风量:
Qi=viSi
(2)
设风速传感器测得的巷道风速为v,巷道断面积为S,由风量平衡定律可知v(S-Si)=viSi,据此对测得的风筒风量进行交叉验证。
局部通风系统功耗分析包括风筒阻力参数计算、风筒阻力异常分析、局部通风沿程损失动态分析。
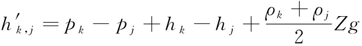
计算风筒阻力参数时,调取测点处静压、动压、风流密度及2个测点间的标高差等参数,根据伯努利能量方程,得测点k,j之间的风筒阻力:
(3)
式中:pk,pj分别为测点k,j处静压;hk,hj分别为测点k,j处动压;ρk,ρj分别为测点k,j处风流密度;Z为测点k,j间标高差;g为重力加速度。
测点k,j间的风筒百米漏风率为
(4)
式中:Qk,Qj分别为测点k,j处风量;L为测点k,j间距离。
测点k,j间百米风阻为
(5)
计算出任意2个测点间的风筒阻力参数后上传至地面监控中心数据库。风筒阻力异常分析模块可实时调取风筒阻力、百米风阻、百米漏风率等参数,绘制局部通风三维可视化图形,各段风筒阻力参数对应三维图形相应位置,风筒阻力越大,对应位置的颜色越深,实现风筒阻力分布可视化。根据数据计算测点段前后相邻位置的风筒阻力参数差,实时巡检风筒阻力参数大于前后相邻测点段的位置,当阻力参数差超过设置的异常阈值时,认为存在风筒阻力异常,快速定位阻力异常测点段并分析异常原因,提醒技术人员解决。
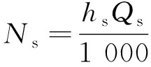
局部通风沿程损失根据获取的局部通风机风量Q、风压H、传动效率ηc、工作效率η,电价e,首末节风筒风量Q1,Q2,首末节风筒静压p1,p2,首末节风筒动压h1,h2进行分析。局部通风机有功功率为
(6)
单位时间局部通风机用电费用为
(7)
风筒供风段漏风量为
Qs=Q1-Q2
(8)
风筒供风段风压损失为
hs=p1-p2+h1-h2
(9)
则风筒供风段沿程损失功率为
(10)
根据式(6)—式(10)建立局部通风沿程损失动态分析模型,全面分析局部通风系统功耗损失。
按照掘进工作面瓦斯涌出量、二氧化碳涌出量、同时工作最大人数、爆破后有害气体产生量等计算需风量,取最大值Qmax,根据风筒百米漏风率、百米风阻得风筒全段的漏风系数φ,则总需风量为
Q′=(Qmax+Qs)φ
(11)
当监测的瓦斯浓度超限时,总需风量需上调为
(12)
式中:c为瓦斯监测浓度;c0为掘进工作面最大瓦斯允许浓度。
再结合掘进工作面温度、粉尘等多元参数计算总需风量。
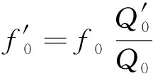
根据计算的总需风量对局部通风机进行变频调控。设局部通风机常态下运行频率为f0、吸风量为Q0,变频调控后局部通风机吸风量为
则变频调控后频率为
(13)
局部通风需要的全风压为
(14)
式中
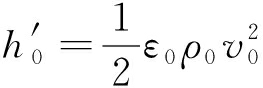
为风筒出口处的局部阻力。
(15)
式中:ε0为局部阻力系数;ρ0为风筒出口处风流密度;v0为风筒出口处风速。
依据以上计算得到局部通风机最佳工况点,形成通风机变频特性下的工况耦合,制定最佳风量供需匹配调控方案。
根据煤矿现场实测掘进工作面瓦斯涌出规律,提出了基于瓦斯涌出量监测和通风机变频调风稀释瓦斯的局部通风智能调控方案[14-16],实现掘进工作面瓦斯涌出的动态治理与风量供需匹配调控。为了避免通风机频率调控过于频繁,以h为单位进行研判和调控。统计掘进工作面瓦斯监测数据,设瓦斯涌出量最大值为W0,在通风机频率为f0、吸风量为Q0的状态下,以瓦斯体积分数0.5%为日常管理预警值,0.5%Q0与W0的差值为通风机调节的富余量M0。定义当前状态下瓦斯涌出量最大值为WN,通风机频率为fN,后1 h的通风机频率初始值为fT。提出5种调控规则,满足后1 h不同瓦斯涌出量的变频自动调风稀释需求。
(1) 风量供需(下限)保持:如果当前状态下瓦斯涌出量增大值(WN-W0)∈[0,0.5M0],则通风机频率fN=f0,后1 h通风机频率初始值fT=f0。
(2) 风量不足调节:如果当前状态下瓦斯涌出量增大值(WN-W0)∈[0.5M0,0.9M0],则通风机频率fN=f0,后1 h通风机频率初始值fT上调,其增加风量可稀释大于0.5M0的瓦斯涌出增量。
(3) 通风异常应急调节:如果当前状态下瓦斯涌出量增大值(WN-W0)>0.9M0,则通风机频率必须上调为
通过增大风量稀释异常涌出的瓦斯。如果掘进工作面瓦斯体积分数不大于0.5%,则后1 h通风机频率初始值
如果通风机调控后掘进工作面瓦斯体积分数大于0.5%,则需要采取其他措施治理工作面瓦斯。
(4) 风量供需(上限)保持:如果当前状态下瓦斯涌出量降低值(W0-WN)∈[0,0.9M0],则通风机频率fN=f0,后1 h通风机频率初始值fT=f0。
(5) 通风节能型调节:如果当前状态下瓦斯涌出量降低值(W0-WN)>0.9M0,且持续时长超过2 h,则当前状态下通风机频率下调为
以实现节能降耗目的,后1 h通风机频率初始值![]()
局部通风异常研判与预警分析包括局部通风故障决策支持、局部通风故障预警2个部分。局部通风故障决策支持依据日常监测的局部通风阻力参数,及时发现阻力异常位置和原因,快速诊断是否存在风筒供风段故障;依据日常监测的风筒段各测点静压,实时分析局部通风机风压降是否在合理范围;依据日常监测的局部通风机振动频率和供电系统参数,运用贝叶斯网络算法对局部通风机和各种传感器设备的健康状况进行诊断,确定最可能的故障原因,利用粗糙集理论的属性约简和遗传算法提取局部通风正常供风状态和故障状态的特征样本和前兆信息,建立局部通风故障特征库,利用支持向量机建立局部通风故障决策规则,建立局部通风故障决策模型,从而对局部通风故障进行提前预测。局部通风故障预警根据监测的故障前兆信息,及时与局部通风故障特征库进行对比分析,如果存在匹配的前兆信息,则利用遗传算法和粒子群优化算法对基于支持向量机的故障预测模型和处理方案进行快速选择,得出最佳方案,并通过声光报警器进行预警,提醒工作人员及时处理。当出现新的故障时,及时将故障样本添加至故障特征库,使其不断更新完善。
局部通风异常研判与预警流程如图5所示。
图5 局部通风异常研判与预警流程
Fig.5 Process of local ventilation abnormality diagnosis and early warning
当局部通风机发生异常(如风筒破裂、风阻变大、供风不足等)时,系统可快速研判通风异常状态,并通过报警器对井上下人员进行预警,提示快速检修,减少掘进工作面安全事故的发生。当以太网通信正常时,地面监控中心对获取的局部通风参数进行精准计算和快速研判,并给出通风异常原因和位置,提供通风异常解决方案。当以太网通信异常时,各掘进巷道的通风参数监测模块将监测值传输至当前监控分站,通过分站的通风参数预处理程序对当前掘进巷道的通风环境进行精确计算和分析。
采用支持向量机对局部通风机可靠性进行分析。定义局部通风机可靠度R(t)(t为当前时刻)为在规定条件([0,t]时间内)下完成规定功能的概率。
(16)
式中D(·)为系统故障密度函数。
局部通风机不可靠度为
F(t)=1-R(t)
(17)
为研究特定时间内局部通风机的瞬时故障率,设局部通风机在正常运行到某一时刻尚未发生故障,但此刻发生故障的潜在概率为
(18)
平均故障间隔时间为
Ta=
R(t)dt
(19)
可见局部通风机运行可靠度、不可靠度、潜在故障率、平均故障间隔时间之间具有紧密联系,若已知其一,则可求解其他量。
某煤矿203胶带运输巷掘进长度达5 000 m,配备2×55 kW局部通风机,在掘进初期制定了局部通风强化管理方案。前3 000 m采用某新型拉链式风筒来降低风阻及漏风量,按照图4在风筒上每隔200 m打孔,便于插入皮托管,同时配置封堵胶带。采用JFY-4通风多参数检测仪,同时测量风筒内动压、静压、风速、温度、湿度等参数,按照GB/T 15335—2019《风筒漏风率和风阻的测定方法》每天测量1次,取连续3次测量结果的平均值,计算风筒百米风阻和百米漏风率。采用皮托管测量风筒动压,按照管内流体平均风速圈理论,确定皮托管垂直逆向插入风筒的位置,为距离风筒壁面0.140 m处(风筒风流环点4位置),如图6所示。鉴于圆柱形特点,只限制皮托管垂直插入长度。

图6 风筒平均风速测量点及测量仪
Fig.6 Average speed measuring point in air duct and measuring instrument
为分析风筒内通风参数随风筒长度递减规律,计算掘进工作面风筒内参数沿程分布、漏风规律,并对现场测量结果进行残差分析和非线性拟合,结果如图7所示。从图7看出,前3 000 m风筒动压、风速、计算风量均呈缓慢下降趋势,后1 800 m 3条参数曲线斜率明显加大,说明拉链式风筒漏风率低,风筒长距离通风效果好。根据现场测量数据,按照GB/T 15335—2019计算得前3 000 m拉链式风筒百米风阻为1.808 595 212 N·s2/m8,百米漏风率为0.000 965 371,后1 800 m常规风筒的百米风阻为1.901 383 614 N·s2/m8,百米漏风率为0.001 159 0。计算结果表明拉链式风筒能够有效保障长距离掘进通风有效风量,降低沿程风阻,提高通风效能。通过人工监测数据验证了局部通风智能调控系统相关计算方法,通过计算可实时研判漏风率和异常漏风情况,为矿井局部通风智能调控系统的应用奠定了基础。
图7 掘进工作面通风参数拟合曲线
Fig.7 Ventilation parameter fitting curves of heading working face
针对局部通风系统智能化建设问题,设计了局部通风智能调控系统,提出了风筒风量和局部通风系统功耗计算方法,采用贝叶斯网络算法进行局部通风异常研判和预警分析,并通过统计掘进工作面瓦斯涌出规律,提出了基于瓦斯涌出量监测和通风机变频调风稀释瓦斯的智能调风方案,建立了5种调控规则,以满足风量供需匹配需求。以某矿掘进工作面局部通风为例,实测了风筒内风压、风量等参数的沿程分布、漏风规律,计算得前3 000 m拉链式风筒百米风阻为1.808 595 212 N·s2/m8,百米漏风率为0.000 965 371,后1 800 m常规风筒的百米风阻为1.901 383 614 N·s2/m8,百米漏风率为0.001 159 0。通过人工测量验证了局部通风参数计算方法,为局部通风异常研判提供了基础数据。
[1] 王国法,王虹,任怀伟,等.智慧煤矿2025情景目标和发展路径[J].煤炭学报,2018,43(2):295-305.
WANG Guofa,WANG Hong,REN Huaiwei,et al.2025 scenarios and development path of intelligent coal mine[J].Journal of China Coal Society,2018,43(2):295-305.
[2] 周福宝,魏连江,夏同强,等.矿井智能通风原理、关键技术及其初步实现[J].煤炭学报,2020,45(6):2225-2235.
ZHOU Fubao,WEI Lianjiang,XIA Tongqiang,et al.Principle key technology and preliminary realization of mine intelligent ventilation[J].Journal of China Coal Society,2020,45(6):2225-2235.
[3] 杜旭红.基于模糊预测控制的煤矿局部通风机风量调节系统研究[D].兰州:兰州理工大学,2012.
DU Xuhong.Research on local ventilation air regulation system of coal mine based on fuzzy prediction control[D].Lanzhou:Lanzhou University of Technology,2012.
[4] 时磊.基于PLC的矿井局部通风监控与报警系统研究[D].西安:西安科技大学,2009.
SHI Lei.Research on mine local ventilation monitoring and alarming system[D].Xi'an:Xi'an University of Science and Technology,2009.
[5] 王凯,郝海清,蒋曙光,等.矿井火灾风烟流区域联动与智能调控系统研究[J].工矿自动化,2019,45(7):21-27.
WANG Kai,HAO Haiqing,JIANG Shuguang,et al.Research on regional linkage and intelligent control system of mine fire wind-smoke flow[J].Industry and Mine Automation,2019,45(7):21-27.
[6] 杨杰,赵连刚,全芳.煤矿通风系统现状及智能通风系统设计[J].工矿自动化,2015,41(11):74-77.
YANG Jie,ZHAO Liangang,QUAN Fang.Current situation of coal mine ventilation system and design of intelligent ventilation system[J].Industry and Mine Automation,2015,41(11):74-77.
[7] 袁静泊,琚云鹏,杨龙月,等.井下局部通风机储能型变流器控制策略研究[J].工矿自动化,2020,46(2):65-72.
YUAN Jingbo,JU Yunpeng,YANG Longyue,et al.Research on control strategy of energy storage converter of mine local ventilator[J].Industry and Mine Automation,2020,46(2):65-72.
[8] 王延平,范京道,闫振国,等.基于通风等效面积的矿井通风难易程度分析方法[J].工矿自动化,2020,46(6):53-58.
WANG Yanping,FAN Jingdao,YAN Zhenguo,et al.Analysis method of mine ventilation difficulty degree based on ventilation equivalent area[J].Industry and Mine Automation,2020,46(6):53-58.
[9] 何敏.基于相对压力的煤矿通风阻力测定数据处理方法[J].工矿自动化,2019,45(11):1-4.
HE Min.Data processing method of coal mine ventilation resistance measurement based on relative pressure[J].Industry and Mine Automation,2019,45(11):1-4.
[10] 杜岗,马小平,张萍.煤矿局部通风机转速控制算法研究[J].工矿自动化,2020,46(9):69-73.
DU Gang,MA Xiaoping,ZHANG Ping.Research on speed control algorithm of coal mine local ventilator[J].Industry and Mine Automation,2020,46(9):69-73.
[11] 朱毅.西铭煤矿48502A掘进工作面通风计算及通风路径设计[J].中国矿山工程,2018,47(6):37-39.
ZHU Yi.Ventilation calculation and ventilation path design for 48502A heading face in Ximing Coal Mine[J].China Mine Engineering,2018,47(6):37-39.
[12] 龚晓燕,崔小强,雷可凡,等.掘进工作面气动式风流调控装置研究[J].工矿自动化,2021,47(1):94-99.
GONG Xiaoyan,CUI Xiaoqiang,LEI Kefan,et al.Research on air flow control device for excavating face[J].Industry and Mine Automation,2021,47(1):94-99.
[13] 吴新忠,张芝超,许嘉琳,等.矿井智能风量调节研究[J].工矿自动化,2021,47(4):44-50.
WU Xinzhong,ZHANG Zhichao,XU Jialin,et al.Research on intelligent air volume regulation in mines[J].Industry and Mine Automation,2021,47(4):44-50.
[14] 丰胜成,付华.矿井通风网络风量调节分支的优化选择[J].辽宁工程技术大学学报(自然科学版),2019,38(6):513-516.
FENG Shengcheng,FU Hua.The optimal selection of air flow adjustment branch of mine ventilation network[J].Journal of Liaoning Technical University(Natural Science Edition),2019,38(6):513-516.
[15] 裴晓东,王凯,李晓伟,等.基于元胞自动机的集约化矿井调风模型分析与仿真[J].中国矿业大学学报,2017,46(4):755-761.
PEI Xiaodong,WANG Kai,LI Xiaowei,et al.Analysis and simulation of intensive mine air regulation model based on cellular automaton[J].Journal of China University of Mining and Technology,2017,46(4):755-761.
[16] 崔传波,蒋曙光,王凯,等.基于风量可调度的矿井风量调节[J].工矿自动化,2016,42(2):39-43.
CUI Chuanbo,JIANG Shuguang,WANG Kai,et al.Adjustment of mine air volume based on air volume dispatchable model[J].Industry and Mine Automation,2016,42(2):39-43.
CHENG Xiaozhi,WANG Kai,HAO Haiqing,et al.Research on intelligent regulation and control system and key technology of mine local ventilation[J].Industry and Mine Automation,2021,47(9):18-24.