矿井无线通信系统是煤炭安全信息化进程发展的需求,也是煤炭智能化建设的关键技术之一[1-2]。越来越多大功率射频设备的使用,使得煤矿井下电磁环境变得更加复杂。射频设备发出的电磁波携带着能量在井下传播,遇到金属结构(可等效为接收天线[3])会发生能量转移。一般条件下金属结构从辐射场获取的电磁波能量不足以造成击穿放电,但当金属结构本身存在断点并发生通断接触时,金属结构能以刮擦放电形式产生放电火花,积聚的能量在煤矿井下爆炸性环境中可能引发瓦斯爆炸[4-6]。
2002年英国制定了用于评价射频电磁辐射能量安全性的BS 6656—2002《由射频辐射引起的易燃气体意外着火的评定指南》[7]。P. S. Excell[8]提出了射频点火的最恶劣条件,分析了金属结构在低电压下刮擦放电的可能性。李静[9]研究了电磁场对瓦斯爆炸过程中火焰传播和爆炸波的影响,得出了电场强度增加会增强瓦斯爆炸的结论。孙继平等[10]从近场磁耦合共振和远场电磁波辐射谐振2个角度,分析了煤矿井下电磁波能量安全性问题。然而,目前鲜有文献对井下金属结构等效接收天线的放电火花安全性进行研究。本文基于电磁波辐射能量耦合原理,分析了金属结构等效为接收天线时放电火花点燃瓦斯气体的条件;推导出放电火花作为负载可吸收最大功率的计算表达式;通过仿真得到射频设备不同工作条件下放电火花作为负载可吸收最大功率,分析了放电火花对瓦斯安全性的影响。
无线通信系统信号传播实质上是电磁波能量辐射的过程。煤矿井下射频设备的发射天线发出的电磁波在空间内传播时,大型机械金属结构可等效为接收天线,将电磁波能量耦合到金属结构并存于储能元件中,一旦金属结构存在断点并发生通断接触,储能元件上的能量以放电火花形式全部释放(一般可认为放电火花为纯电阻负载[11]),如图1所示。放电火花的产生需要满足以下条件:① 足够强的电磁辐射。辐射场强大小主要取决于矿井射频设备的发射功率、天线增益,以及金属结构与发射天线之间的距离。② 存在能够等效为接收天线的金属结构。例如煤矿井下支架、运煤车、铁轨、铁丝环等金属结构。③ 金属结构吸收足够的能量以至于能够造成电极击穿。

图1 电磁波辐射能量耦合原理
Fig.1 Electromagnetic radiation energy coupling principle
放电火花能否在爆炸性环境下点燃可燃气体,主要取决于放电火花在点火起始时间内释放能量能否超过气体的最小点火能(能够引起可燃气体混合物燃烧所需的最小能量[12])。
瓦斯是煤矿井下主要的可燃气体,体积分数为8.5%的瓦斯气体最容易被点燃,其最小点火能为0.28 mJ,点火起始时间为100 μs[10]。对于由射频电磁辐射能量造成的井下金属结构意外放电,可通过式(1)计算放电火花在100 μs内释放的能量并与瓦斯气体最小点火能比较,来判断放电火花能否点燃瓦斯气体。
W=
Pd(t)dt
(1)
式中:W为放电火花释放的能量;T为放电时间;Pd(t)为t时刻放电火花释放的功率。
只有放电火花在100 μs内释放的能量高于瓦斯气体最小点火能0.28 mJ,才能点燃瓦斯气体。放电火花可看作等效接收天线的负载,负载可吸收功率可看作金属结构通过放电火花释放的功率。当放电火花作为负载可吸收最大功率小于2.8 W时,由式(1)可知放电火花在100 μs内释放的能量小于0.28 mJ,一定不会点燃瓦斯气体。因此,可得出金属结构等效为接收天线时,放电火花不会点燃瓦斯气体的最大允许功率为2.8 W。
金属结构等效为接收天线时,其附近有效场强由射频设备工作频率和电磁波极化方式共同决定。当射频设备工作频率不大于30 MHz时,金属结构可等效为环形天线,电磁波为垂直极化方式下接收天线附近有效场强为[7]
(2)
式中:F为归一化方向函数;E0为陆地路径的场强;m为调制因子;P为射频设备发射功率;G为发射天线增益。
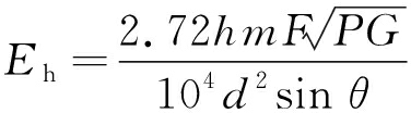
电磁波为水平极化方式下接收天线附近有效场强为
(3)
式中:h为发射天线高度;d为发射天线和金属结构之间的距离;θ为发射天线俯仰角。
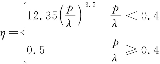
由于环形天线效率随金属结构周长p与波长λ的比值不断变化,所以环形天线效率可表示为[13]

(4)
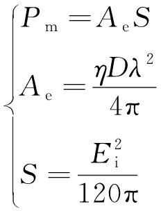
当接收天线发生谐振时,放电火花作为负载可吸收功率最大[13]。由天线理论可知,谐振条件下放电火花作为负载可吸收最大功率Pm为

(5)
式中:Ae为天线有效口径;S为电磁波辐射功率密度;D为天线方向性系数,对于环形天线,D=1.5;Ei为入射电磁波场强,根据电磁波极化方式取Ev或Eh。
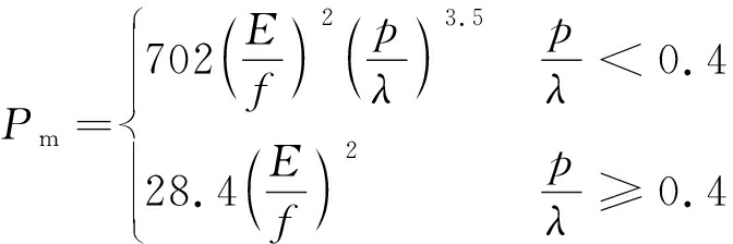
由式(4)、式(5)可得,金属结构等效接收天线谐振时,放电火花作为负载可吸收最大功率为

(6)
式中f为射频设备工作频率。
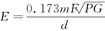
当射频设备工作频率大于30 MHz时,金属结构可等效为半波偶极子天线,其附近有效场强为
(7)
金属结构等效的接收天线谐振时,放电火花作为负载可吸收最大功率为
(8)
利用Wireless Insite电磁仿真软件构建矩形空直巷道模型,x指向巷道宽度方向,y指向巷道高度方向,z指向巷道长度方向,如图2所示。巷道长100 m、宽6 m、高3 m;发射天线采用定向天线,放置于巷道垂直截面(即xoy平面)中心;接收天线采用半波偶极子天线,放置于发射天线最大辐射方向,归一化方向函数F为1,调制因子m为1。其他仿真参数见表1。
图2 仿真布置
Fig.2 Simulation layout
表1 仿真参数
Table 1 Simulation parameters
参数数值 巷道厚度/m0.3巷道材料混凝土电磁波极化方式垂直极化巷道相对介电常数5.31巷道电导率/(S·m-1)0.066反射次数6绕射次数1
在射频设备工作频率为900 MHz条件下,取射频设备输出功率分别为6,5,4 W,固定发射天线位置,接收天线每移动0.05 m采集1次数据,仿真得到不同输出功率下放电火花作为负载可吸收最大功率,如图3所示。
从图3可看出,当收发天线之间距离一定时,射频设备输出功率越大,放电火花作为负载可吸收最大功率越大,表明放电火花点燃瓦斯气体的隐患越大。随着收发天线之间距离增加,电磁波辐射能量损耗严重,放电火花作为负载可吸收最大功率明显下降。当收发天线之间距离大于0.5 m时,负载可吸收最大功率已衰减至毫瓦级,此时放电火花释放的能量远不足以点燃瓦斯气体。
图3 不同射频设备输出功率下放电火花作为负载可吸收最大功率
Fig.3 The maximum absorbed power of discharge spark as load under different RF equipment output power
在射频设备输出功率为6 W(井下最大功率限制)的条件下[14],取射频设备工作频率分别为900,1 800,2 600 MHz,固定发射天线位置,接收天线每移动0.01 m采集1次数据,仿真得到不同工作频率下放电火花作为负载可吸收最大功率,如图4所示。
图4 不同射频设备工作频率下放电火花作为负载可吸收最大功率
Fig.4 The maximum absorbed power of discharge spark as load under different RF equipment working frequency
从图4可看出,当收发天线之间距离一定时,随着射频设备工作频率增加,放电火花作为负载可吸收最大功率不断减小。当射频设备工作频率为900 MHz时,放电火花作为负载在收发天线之间距离为0.1 m时可吸收功率最大,仿真得出的放电火花作为负载可吸收最大功率为2.48 W,根据式(8)计算得到的放电火花作为负载可吸收最大功率为2.65 W,均低于前文分析的放电火花不会点燃瓦斯气体的最大允许功率2.8 W,表明900,1 800,2 600 MHz频段下放电火花释放的能量不足以点燃瓦斯气体。
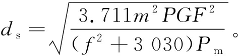
安全距离是指在电磁环境最严酷条件下,射频设备的发射天线与金属结构等效的接收天线之间应当保持的最小距离[15]。假设瓦斯气体体积分数为8.5%,射频设备输出功率为6 W,负载可吸收最大功率为2.8 W,由式(7)、式(8)可推导出射频设备工作频率在30 MHz以上的射频设备安全距离
调整射频设备工作频率,仿真得到不同射频设备工作频率下安全距离,如图5所示。
图5 不同射频设备工作频率下安全距离
Fig.5 Safety distance under different RF equipment working frequency
从图5可看出,当射频设备工作频率低于750 MHz时,安全距离随工作频率增加明显下降;当射频设备工作频率高于750 MHz时,安全距离随工作频率增加变化不大。考虑工程实践对安全距离精度的要求,设定安全距离最小为0.1 m。通过公式推导计算得到安全距离为0.1 m时的射频设备工作频率为890 MHz,仿真得到安全距离为0.1 m时的射频设备工作频率为800 MHz。当射频设备工作频率低于800 MHz时,通过仿真和计算2种方式得到的安全距离均大于0.1 m,表明在距射频设备的发射天线0.1 m以外区域,放电火花释放的能量存在点燃瓦斯气体的可能。当射频设备工作频率高于890 MHz时,通过仿真和计算2种方式得到的安全距离均小于0.1 m,表明在距射频设备的发射天线0.1 m以外区域,放电火花释放的能量不足以点燃瓦斯气体,该工作频段下射频设备发出的电磁波辐射能量本质上是安全的。
(1) 瓦斯气体体积分数为8.5%时,金属结构等效为接收天线情况下放电火花不会点燃瓦斯气体的最大允许功率为2.8 W。
(2) 放电火花作为负载可吸收最大功率与射频设备输出功率、工作频率、发射天线与金属结构间的距离有关。射频设备输出功率越大、射频设备工作频率越小、金属结构距射频设备越近,负载可吸收最大功率越大,点燃瓦斯气体的安全隐患越大。
(3) 射频设备的发射天线与金属结构之间安全距离最小为0.1 m时,金属结构在射频设备工作频率800 MHz以下频段的射频电磁辐射能量下产生的放电火花存在点燃瓦斯气体的可能,金属结构在射频设备工作频率890 MHz以上频段的射频电磁辐射能量下产生的放电火花是本质安全的,不会点燃瓦斯气体。
[1] 胡青松,杨维,丁恩杰,等.煤矿应急救援通信技术的现状与趋势[J].通信学报,2019,40(5):163-179.
HU Qingsong,YANG Wei,DING Enjie,et al.State-of-the-art and trend of emergency rescue communication technologies for coal mine[J].Journal on Communications,2019,40(5):163-179.
[2] 孙继平.煤矿信息化与智能化要求与关键技术[J].煤炭科学技术,2014,42(9):22-25.
SUN Jiping.Requirement and key technology on mine informationalization and intelligent technology[J].Coal Science and Technology,2014,42(9):22-25.
[3] 陈辉,田子建,陆奎.煤矿井下绞车变频调速系统辐射电磁骚扰测试研究[J].煤炭科学技术,2018,46(2):232-236.
CHEN Hui,TIAN Zijian,LU Kui.Test study on radiation electromagnetic disturbance of frequency conversion speed control system applied to winch in underground coal mine[J].Coal Science and Technology,2018,46(2):232-236.
[4] 冯德旺,任锦彪,崔婷婷,等.煤矿井下电磁环境测试方法研究[J].中国安全科学学报,2010,20(7):71-75.
FENG Dewang,REN Jinbiao,CUI Tingting,et al.Test method of electromagnetic environment in coal mine[J].China Safety Science Journal,2010,20(7):71-75.
[5] 刘晓阳,马新彦,刘坤,等.矿井5G电磁波辐射能量安全性研究[J].工矿自动化,2021,47(7):85-91.
LIU Xiaoyang,MA Xinyan,LIU Kun,et al.Research on the safety of 5G electromagnetic wave radiation energy in coal mine[J].Industry and Mine Automation,2021,47(7):85-91.
[6] 王玉成.煤矿用金属材料撞击摩擦火花安全性的研究[D].北京:煤炭科学研究总院,2008.
WANG Yucheng.Researching of safety on striking and frictional sparks of material for coal mine[D].Beijing:China Coal Research Institute,2008.
[7] BS 6656-2002 Assessment of inadvertent ignition of flammable atmospheres by radio-frequency radiation-guide[S].
[8] EXCELL P S.Choosing threshold levels for electromagnetic hazards[J].IEEE Technology and Society Magazine,2003,21(4):32-39.
[9] 李静.电磁场对瓦斯爆炸过程中火焰和爆炸波的影响[J].煤炭学报,2008,33(1):51-54.
LI Jing.Influence of electromagnetism field on the flame transmission and shock wave in gas explosion[J].Journal of China Coal Society,2008,33(1):51-54.
[10] 孙继平,贾倪.矿井电磁波能量安全性研究[J].中国矿业大学学报,2013,42(6):1002-1008.
SUN Jiping,JIA Ni.Safety study of electromagnetic wave energy in coal mine[J].Journal of China University of Mining & Technology,2013,42(6):1002-1008.
[11] 刘建华.爆炸性气体环境下本质安全电路放电理论及非爆炸评价方法的研究[D].徐州:中国矿业大学,2008.
LIU Jianhua.A study on discharge theory and nonexplosion evaluating method of the intrinsically safe circuits for explosive atmospheres[D].Xuzhou:China University of Mining and Technology,2008.
[12] 景国勋,段振伟,程磊,等.瓦斯煤尘爆炸特性及传播规律研究进展[J].中国安全科学学报,2009,19(4):67-72.
JING Guoxun,DUAN Zhenwei,CHENG Lei,et al.Research progress in explosion characteristics and spread law of gas and coal dust[J].China Safety Science Journal,2009,19(4):67-72.
[13] 彭霞.矿井电磁波辐射能量对瓦斯安全性的影响[J].煤炭学报,2013,38(4):542-547.
PENG Xia.Electromagnetic wave radiation energy influences on safety of gas in coal mine[J].Journal of China Coal Society,2013,38(4):542-547.
[14] GB 3836.1—2010 爆炸性环境 第1部分:设备 通用要求[S].
GB 3836.1-2010 Explosive atmospheres part 1:equipment general requirements[S].
[15] 田子建,王帅,张立亚,等.矿井射频能量对雷管安全性的影响[J].中国矿业大学学报,2011,40(1):18-22.
TIAN Zijian,WANG Shuai,ZHANG Liya,et al.Influence of radio frequency energy on the safety of blasting caps in the mine[J].Journal of China University of Mining & Technology,2011,40(1):18-22.
LIU Xiaoyang,MA Xinyan,TIAN Zijian,et al.Research on discharge spark safety of equivalent receiving antenna of underground metal structure[J].Industry and Mine Automation,2021,47(9):126-130.