惰气驱替不同粒径煤体中氧气的实验研究

方熙杨1, 姚海飞1,2,3

(1.中国矿业大学(北京) 应急管理与安全工程学院, 北京 100083;2.煤炭科学技术研究院有限公司 安全分院, 北京 100013;3.煤炭资源高效开采与洁净利用国家重点实验室, 北京 100013)

摘要为揭示不同惰气预防煤自燃的效果及阻燃规律,通过开展惰气等温动态驱替不同粒径煤体中氧气实验,分析了He,N2,CO2驱替出氧气浓度、驱替时间、驱替量及驱替速率等表征驱替过程的参数。实验结果表明:① 惰气驱替出的氧气浓度变化可划分为3个阶段。首先,惰气驱替出的是气体检测仪内管路中的氧气,体积分数为21%左右;然后,惰气驱替出煤样罐中游离态和部分吸附态氧气,氧气浓度保持平稳;最后,惰气已经全部驱替出煤样罐中游离态氧气,氧气浓度呈负指数变化。② 不同惰气驱替煤体中氧气的时间总体上随着粒径增大而下降;CO2驱替氧气的总时间最长,He次之,N2最短。③ 对于同一粒径,氧气驱替量呈现出明显的拐点,拐点出现前氧气驱替量基本上呈线性增加,拐点出现后氧气驱替量随时间增加缓慢增加并最终保持平稳;不同惰气作用下氧气累计驱替量均随着粒径增大而减少,CO2对氧气的累计驱替量最大,He次之,N2最小。④ 不同惰气作用下氧气驱替速率均呈先紊乱后稳定下降的特征,其中CO2驱替氧气的速率紊乱阶段尤为明显;在氧气驱替速率稳定下降阶段,同一时间内氧气驱替速率随着粒径增大基本上呈减小趋势。

关键词煤自燃; 惰气驱替; 惰气防灭火; 驱替时间; 驱替量; 驱替速率

0 引言

松散煤体中的氧气是煤体发生氧化的关键因素之一,也是煤矿井下煤自然发火的主要原因之一。根据煤氧复合作用学说的观点,煤自燃过程分为物理吸附、化学吸附和化学反应3个阶段[1]。在松散煤体自然发火过程中,煤对氧气的物理吸附是煤发生氧化的第一步。在进行物理吸附时,氧气在煤体表面处于吸附-解吸动态平衡状态,煤体表面的活性基团和氧气结合后,煤体裂隙中游离的氧气在吸附位进行补偿,使得煤氧之间不间断地发生化学反应。煤自燃发生的主要条件[2]:具有自燃倾向性的煤炭;呈一定厚度的破碎状堆积,有连续的供氧条件;热量易于积聚。为防止煤自燃,可从破坏煤自燃发生条件出发,如将惰气注入煤体,驱替煤体中的氧气,从而使供氧无法继续。

为揭示不同惰气预防煤自燃的效果及阻燃规律,本文通过开展惰气等温动态驱替不同粒径煤体中氧气实验,分析惰气驱替出氧气浓度、驱替时间、驱替量及驱替速率等表征驱替过程的参数,可为惰气防灭火工程设计中参数优化提供理论指导。

1 实验原理及设备

1.1 实验原理

煤是一种天然的吸附剂,煤体内部的孔隙十分发达,众多孔隙使得煤的表面积巨大,吸附能力很强[3-4]。然而,在相同浓度、流量、压力等条件下,煤对不同气体的吸附能力不一样。由于吸附能力的差异,多组分气体在煤体中同时存在会出现竞争吸附的现象,其结果是吸附性强的气体能够“占领”煤表面更多的吸附位。吸附性强的气体的气体分压(浓度)越大,吸附性较弱的气体在煤表面越难以被吸附。对于不同粒径的煤体,煤颗粒的表面积相差非常大,同质量下不同粒径煤体的表面吸附位数量不一样,因而在吸附竞争过程中,不同粒径煤体表面上发生的驱替效果存在一定程度的差异。

鉴于煤体对气体(O2,N2,CO2)吸附能力的差异(吸附能力为CO2>O2>N2)[5-6],将惰气(N2,CO2)通入处于O2吸附平衡状态的煤体中,通过设置对照实验(He驱替实验),分析惰气驱替不同粒径煤体中氧气的规律。

1.2 实验设备

惰气等温动态驱替煤体中氧气实验装置如图1所示。该装置主要由配气系统、控制与存储系统、实验系统、浓度监测系统和抽真空系统等组成。

图1 惰气等温动态驱替煤体中氧气实验装置
Fig.1 Experimental device for isothermal dynamic displacement of oxygen in coal by inert gas

(1) 配气系统。该系统包括高纯的高压He气瓶、高压O2气瓶、高压CO2气瓶、高压N2气瓶及调压阀。He,N2,CO2为驱替气体,He为对照气体,O2为被驱替气体;调压阀主要功能是调节进入煤样罐的气体压力。

(2) 控制与存储系统。该系统包括电子流量计、温度传感器、压力传感器、PC1,能够实现流量、压力和温度控制及实时数据储存功能。温度传感器布置在煤样罐左端,压力传感器在煤样罐两端均有布置,主要原因是煤样罐两端压力变化不同步。

(3) 实验系统。该系统主要由煤样罐和缓冲罐组成。煤样罐是高为19.50 cm、直径为9.96 cm的圆柱体,容积为1.52 L,采用不锈钢金属制作,最大能够承载20 MPa压力;缓冲罐主要是对气流的压力进行缓冲,防止进入煤样罐的气流过大造成压力骤增。

(4) 浓度监测系统。该系统主要包括气体检测仪和PC2,能实现出口气体实时远程无线监控和浓度采集。气体检测仪测量范围:O2,0~99.59%;CO2,0~99.61%;N2,0~99.59%。

(5) 抽真空系统。该系统主要部件为真空泵,其最大真空度为-1 kPa,持续抽真空的条件下能够排出实验管路和煤样罐中的氧气。

2 实验方法

2.1 实验煤样

实验煤样取自陕西某煤矿易自燃煤层,采用GF-A6型自动工业分析仪进行煤样工业分析,结果见表1。由于煤样粒径越小,煤样破碎程度越高,煤样表面积越大,煤样对气体的吸附能力越强。为避免粒径跨度过大对实验的影响,在参考以往研究的基础上,选择5种不同粒径:0.25~0.50,0.50~0.90,0.90~1.25,1.25~1.70,1.70~2.00 mm。

表1 煤样工业分析结果
Table 1 Proximate analysis results of coal sample

煤种水分/%挥发分/%灰分/%固定碳/%不粘煤4.1435.264.3656.24

煤样制备时,按照GB 474—2008《煤样的制备方法》执行:首先将大块煤样剥去表面氧化层,接着将剥去氧化层的煤样用破碎机破碎并用标准筛筛分,得到粒径为0.25~0.50,0.50~0.90,0.90~1.25,1.25~1.70,1.70~2.00 mm的5种实验煤样;然后将这些煤样分别装入真空袋并贴上相应标签;最后对煤样抽真空以防止氧化,抽真空后真空袋的最大真空度可达-50 kPa(煤样袋有紧绷感就停止抽真空,以防煤样被进一步压碎)。

2.2 实验条件

(1) 单一变量。为保证每组实验结果具有良好的可对比性,开展单一变量实验,即同流量不同粒径的不同惰气驱替实验。此外,在每组实验开展过程中,需要保证每组煤样的体积、氧气吸附平衡时煤样罐的相对压力和驱替时煤样罐的相对压力等外部因素均相同。

(2) 实验压力。在进行正式实验之前,实验装置经过反复调试后,最终选定氧气吸附平衡时煤样罐的相对压力为0.04 MPa。在该压力下的惰气驱替过程,煤样罐中相对压力能够很快维持稳定,并保持在0.04~0.05 MPa。同时,驱替过程中的煤样罐内相对压力不小于氧气吸附平衡时的煤样罐内相对压力,能够保证氧气不会因煤样罐内相对压力降低而出现放散现象,从而提高驱替过程中的准确性。

(3) 煤样水分。实验煤样为同一批次采取、同一环境制作、同一批量制取、同一环境中保持,因而煤样中水分能够基本保持一致。同时,整个实验在低压、恒温中开展,实验过程有别于高压条件下的吸附与驱替[7],水分对低压条件下的吸附与驱替影响非常小。因此,在本实验过程中忽略煤样水分对气体吸附和驱替的影响。

(4) 流量。驱替过程中的惰气流量对实验影响较大:流量太小,整个实验周期过长;流量过大,驱替时氧气很快就被“携带”出去,不能体现驱替效果。在设备调试过程中,对流量范围进行了筛选,发现驱替过程中的惰气流量在30~60 mL/min时,实验结果能够很好地体现气体的驱替效应。本实验中控制气体流量为30 mL/min。

实验期间保持恒温箱内温度为25 ℃,保持每次实验煤样罐恰好被装满。每组实验的煤样质量和煤样罐内自由空间体积见表2。

表2 煤样质量和煤样罐内自由空间体积
Table 2 Coal sample mass and free space volume in coal sample tank

气体0.25~0.50 mm粒径0.50~0.90 mm粒径0.90~1.25 mm粒径1.25~1.70 mm粒径1.70~2.00 mm粒径m/kgVn/Lm/kgVn/Lm/kgVn/Lm/kgVn/Lm/kgVn/LHe968.690.68966.390.69965.740.73975.200.771 037.510.82N2968.790.60966.390.65965.740.72975.200.791 037.510.84CO2945.510.65966.000.671 027.380.69997.900.741 037.510.82

注:m为煤样质量;Vn为煤样罐自由空间体积。

2.3 实验步骤

惰气等温驱替煤体中氧气实验包括准备阶段、抽真空阶段、煤样罐自由空间体积测试、氧气吸附阶段和驱替阶段,具体步骤如下:

(1) 准备阶段。首先检查管路各处连接状况,运行设备以检查温度、压力传感器和流量计是否良好。检查结果正常后,关闭设备。然后将煤样罐从实验系统中取出,将事先制备好的煤样用电子天平称量一定质量后慢慢装入煤样罐,并记录装满后煤样的质量。最后将煤样罐装载到实验系统中。

(2) 抽真空阶段。关闭六通阀、调压阀,打开背压阀。之后将出口管路接在真空泵接口处,然后打开真空泵开关,对管路和煤样罐进行抽真空,时间为4~5 h。该阶段目的是将管路系统中的空气和吸附在煤样表面的气体排出,提高实验的准确性。实验结束后,依次关闭出口背压阀和真空泵开关。

(3) 煤样罐自由空间体积测试。向煤样罐通入He使煤样罐达到一定压力P0,然后关闭入口阀门。接着,缓慢打开出口管路的阀门,一段时间后,煤样罐内压力下降至P1,使用流量计测试释放出来的气体体积,记为V1。则煤样罐自由空间体积[8]

(1)

式中Pa为标准大气压,101 325 Pa。

(4) 抽真空阶段。重复步骤(2)。

(5) 氧气吸附阶段。在PC1端设置“数据采集”,将数据记录周期设置为“2 s”。打开高压O2气瓶开关,打开六通阀的氧气管路相应开关。设置入口流量为25 mL/min,在PC1端点击“开始保存”,然后打开调压阀开关,将调压阀缓慢调大,此时煤样罐内压力开始由负压缓慢变大,待压力变为零并保持一段时间后,将出口背压阀开关缓慢打开。煤样罐相对压力升高后,微调背压阀开关,使压力一直保持在0.04 MPa。吸附阶段时间为12 h。实验结束后,依次关闭高压气瓶阀、六通阀和调压阀开关,保存实验数据。

(6) 驱替阶段。在PC1端新建驱替过程的实验记录表格,将数据记录周期设置为“2 s”。将六通阀里面的气体放空,然后关闭六通阀开关;打开气体检测仪,并在PC2上显示气体监测页面;在实验装置的控制界面设置入口流量;缓慢打开惰气高压气瓶开关,打开惰气对应的六通阀开关,微调调压阀,当出口压力有变化之后,迅速打开出口背压阀;在调出口流量时需要缓慢旋转开关旋钮,防止流量变化过大。煤样罐压力升高后,使煤样罐相对压力稳定在0.04~0.05 MPa。

3 实验结果与分析

3.1 不同惰气驱替出氧气浓度

不同惰气驱替出氧气浓度随时间变化曲线如图2所示。

(a) He

(b) N2

(c) CO2
图2 不同惰气驱替出氧气浓度随时间变化曲线
Fig.2 Variation curves of oxygen displacement concentration with time under different inert gases

从图2可看出,不同惰气驱替出的氧气浓度变化主要分为3个阶段:阶段Ⅰ的氧气主要是气体检测仪管路中的氧气,氧气体积分数为21%左右,阶段Ⅰ的时间相对于其他2个阶段非常短;在阶段Ⅱ中,氧气浓度曲线为一段平稳的线段,驱替出来的氧气包括煤样罐中游离态和部分吸附态氧气;在阶段Ⅲ中,氧气浓度呈负指数变化,惰气已经全部驱替出煤样罐中游离态氧气,驱替出的氧气来源于煤样表面吸附态氧气的解吸。

3.2 不同惰气驱替出氧气时间

在阶段Ⅰ中,驱替出来的氧气是管路中的氧气,氧气驱替时间非常短,可忽略不计。因此,惰气驱替出氧气的时间主要体现在阶段Ⅱ和Ⅲ。在阶段Ⅲ后期,随着惰气的注入,氧气浓度变化趋势明显减慢。实验过程中发现,当氧气体积分数降至1%后,若需将出口氧气体积分数降至0,则需要大量惰气。这是因为在常压常温下,孔隙中的吸附态氧气难以克服吸附势阱,短时间内无法从煤表面脱附[9-10]。因此,在计算氧气驱替时间时,将氧气体积分数降至1%视为氧气已经被驱替完毕。

不同惰气驱替出氧气时间随着粒径变化曲线如图3所示。

从图3可看出:① 不同惰气驱替出氧气的时间总体上均随着粒径的增大呈下降趋势。这是因为随着煤样粒径增大,煤样表面积减少,导致煤样表面的吸附位减少,从而煤样吸附的氧气量减少;同时,随着粒径增大,煤样罐中煤样的空隙率相对增加,降低了氧气在煤样罐的运移阻力。② 不同惰气驱替氧气的总时间不一样,CO2驱替氧气的总时间最长,He次之,N2最短,CO2驱替氧气的时间几乎是其他惰气的2~3倍。出现这一现象的主要原因在于在常压下,煤样饱和吸附氧气之后,煤样表面吸附位还存在很多,由于煤样对CO2吸附能力非常强[11],在前期大量CO2在煤样表面以吸附为主,后期则是驱替氧气。

图3 不同惰气驱替出氧气时间随粒径变化曲线
Fig.3 Variation curves of oxygen displacement time with particle size under different inert gases

3.3 不同惰气作用下氧气驱替量与驱替速率

氧气驱替量可表示为

Vd=Qtctdt

(2)

式中:T为时间,s;Qtt时刻驱替出的气体流量,L/s;ctt时刻驱替出的氧气体积分数,%。

则氧气驱替速率为

(3)

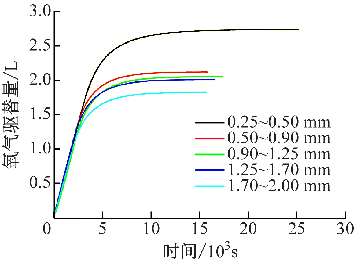
根据式(2)和式(3)分别得到不同惰气驱替的氧气量和驱替速率,如图4、图5所示。

(a) He

(b) N2

(c) CO2
图4 不同惰气驱替的氧气量
Fig.4 Oxygen displacement under different inert gases

(a) He

(b) N2

(c) CO2
图5 不同惰气作用下氧气驱替速率
Fig.5 Oxygen displacement rate under different inert gases

从图4可看出,对于同一粒径,氧气驱替量呈现出明显的拐点。在拐点出现之前,氧气驱替量基本上呈线性增加;在拐点出现之后,氧气驱替量随时间增加缓慢增加并最终保持平稳。

从图5可看出,不同惰气作用下氧气驱替速率均呈先紊乱后稳定下降的特征。一方面是由于初始注惰时,由于气体的更换,设备压力达到稳定状态(0.04~0.05 MPa)需要一段时间;另一方面是由于煤样罐内气体成分从单一气体变为二元气体,氧气的吸附解吸平衡被打破,二元气体在煤中由于压力的变化,气体组分也随之变化,而氧气建立新的吸附解吸平衡需要一段时间,导致氧气驱替速率出现紊乱。CO2驱替氧气的速率紊乱阶段尤为明显,这是大量CO2被煤样吸附造成煤样罐内压力下降导致的。在氧气驱替速率稳定下降阶段,同一时间内随着粒径增大,氧气驱替速率基本上呈减小趋势,这是不同煤样单位质量吸附的氧气量不同造成的。

不同惰气累计驱替的氧气量随粒径变化趋势如图6所示。

图6 不同惰气累计驱替的氧气量随粒径变化趋势
Fig.6 Variation trend of oxygen cumulative displacement with particle size under different inert gases

从图6可看出:① 不同惰气作用下氧气累计驱替量均随着粒径增大而减少,主要原因是煤颗粒表面积大幅度减少,从而吸附的氧气量减少。② CO2对氧气的累计驱替量最大,He次之,N2最小,CO2对氧气的累计驱替量几乎是N2的2倍。一方面是由于煤样对气体的吸附能力为CO2>O2>N2,对He不具有吸附性;另一方面是由于N2分子直径(0.36 nm)大于氧气(0.35 nm)和CO2(0.33 nm),从而难以驱替出煤微孔中吸附态氧气。He对氧气的累计驱替量大于N2,主要原因在于He分子直径为0.26 nm,小于氧气和N2分子直径,能够挤出更小孔隙中的氧气,而且煤样对N2的吸附能力弱于氧气。尽管He分子直径也比CO2小,但是He为非吸附性气体,不会在煤分子表面与氧气现场竞争吸附,只是挤走了煤微孔中吸附态氧气。

4 结论

(1) 惰气驱替出的氧气浓度变化主要分3个阶段:阶段Ⅰ的氧气主要是气体检测仪内管路中的氧气,氧气体积分数为21%左右;阶段Ⅱ中,驱替出来的氧气包括煤样罐中游离态和部分吸附态氧气,氧气浓度保持平稳;阶段Ⅲ中,惰气已经全部驱替出煤样罐中游离态氧气,氧气浓度呈负指数变化。

(2) 不同惰气驱替煤体中氧气的时间总体上均随着粒径增大呈下降趋势;不同惰气驱替氧气的总时间不一样,CO2驱替氧气的总时间最长,He次之,N2最短。

(3) 对于同一粒径,氧气驱替量呈现出明显的拐点。在拐点出现之前,氧气驱替量基本上呈线性增加;在拐点出现之后,氧气驱替量随时间增加缓慢增加并最终保持平稳。不同惰气作用下氧气累计驱替量均随着粒径增大而减少,CO2对氧气的累计驱替量最大,He次之,N2最小。

(4) 不同惰气作用下氧气驱替速率均呈先紊乱后稳定下降的特征,其中CO2驱替氧气的速率紊乱阶段尤为明显。在氧气驱替速率稳定下降阶段,同一时间内随着粒径增大,氧气驱替速率基本上呈减小趋势。

参考文献(References):

[1] 王德明.矿井火灾学[M].徐州:中国矿业大学出版社,2008.

WANG Deming.Mine fires[M].Xuzhou:China University of Mining and Technology Press,2008.

[2] 阮增定.液态CO2灭火技术在高瓦斯矿井火灾的治理研究与应用[D].太原:太原理工大学,2013.

RUAN Zengding.The research and application of the liquid CO2 fire extinguishing technology in high gas mine fire control[D].Taiyuan:Taiyuan University of Technology,2013.

[3] 孟召平,刘珊珊,王保玉,等.不同煤体结构煤的吸附性能及其孔隙结构特征[J].煤炭学报,2015,40(8):1865-1870.

MENG Zhaoping,LIU Shanshan,WANG Baoyu,et al.Adsorption capacity and its pore structure of coals with different coal body structure[J].Journal of China Coal Society,2015,40(8):1865-1870.

[4] 王德明,辛海会,戚绪尧,等.煤自燃中的各种基元反应及相互关系:煤氧化动力学理论及应用[J].煤炭学报,2014,39(8):1667-1674.

WANG Deming,XIN Haihui,QI Xuyao,et al.Mechanism and relationships of elementary reactions in spontaneous combustion of coal:the coal oxidation kinetics theory and application[J].Journal of China Coal Society,2014,39(8):1667-1674.

[5] 金智新,武司苑,邓存宝,等.不同浓度烟气在煤中的竞争吸附行为及机理[J].煤炭学报,2017,42(5):1201-1206.

JIN Zhixin,WU Siyuan,DENG Cunbao,et al.Competitive adsorption behavior and mechanism of different flue gas proportions in coal[J].Journal of China Coal Society,2017,42(5):1201-1206.

[6] JU Yiwen,LUXBACHER K,LI Xiaoshi,et al.Micro-structural evolution and their effects on physical properties in different types of tectonically deformed coals[J].International Journal of Coal Science & Technology,2014,1(3):364-375.

[7] 杨宏民.井下注气驱替煤层甲烷机理及规律研究[D].焦作:河南理工大学,2010.

YANG Hongmin.Study on mechanism and law of coal seam methane displacement by underground gas injection[D].Jiaozuo:Henan Polytechnic University,2010.

[8] 邓军,赵婧昱,张嬿妮,等.陕西侏罗纪煤二次氧化自燃特性试验研究[J].中国安全科学学报,2014,24(1):34-40.

DENG Jun,ZHAO Jingyu,ZHANG Yanni,et al.Experimental study on spontaneous combustion characteristics of secondary oxidation of Jurassic coal[J].China Safety Science Journal,2014,24(1):34-40.

[9] 周军平,鲜学福,李晓红,等.吸附不同气体对煤岩渗透特性的影响[J].岩石力学与工程学报,2010,29(11):2256-2262.

ZHOU Junping,XIAN Xuefu,LI Xiaohong,et al.Effect of different adsorptional gases on permeability of coal[J].Chinese Journal of Rock Mechanics and Engineering,2010,29(11):2256-2262.

[10] KUMAR H,ELSWORTH D,LIU Jishan,et al.Permeability evolution of propped artificial fractures in coal on injection of CO2[J].Journal of Petroleum Science and Engineering,2015,133:695-704.

[11] 邵昊,蒋曙光,吴征艳,等.二氧化碳和氮气对煤自燃性能影响的对比试验研究[J].煤炭学报,2014,39(11):2244-2249.

SHAO Hao,JIANG Shuguang,WU Zhengyan,et al.Comparative research on the influence of dioxide carbon and nitrogen on performance of coal spontaneous combustion[J].Journal of China Coal Society,2014,39(11):2244-2249.

Experimental study on the displacement of oxygen in coal with different particle sizes by inert gas

FANG Xiyang1, YAO Haifei1,2,3

(1.School of Emergency Management and Safety Engineering, China University of Mining and Technology(Beijing), Beijing 100083,China; 2.Mine Safety Technology Branch, CCTEG China Coal Research Institute, Beijing 100013, China; 3.State Key Laboratory of Coal Mining and Clean Utilization, Beijing 100013, China)

AbstractIn order to reveal the effect of different inert gases in preventing coal spontaneous combustion and the law of flame retardation, the experiment of isothermal dynamic displacement of oxygen by inert gas in coal with different particle sizes is carried out, and the concentration of oxygen, displacement time, displacement volume, displacement rate and other parameters that characterize the displacement process of He, N2 and CO2 are analyzed. The experimental results are showed as follows.① The concentration change of oxygen displaced by inert gas can be divided into three stages. Firstly, the inert gas displaces the oxygen in the pipeline of the gas detector, and the volume fraction is about 21%. Secondly, the inert gas displaces free and partially adsorbed oxygen in the coal sample tank, and the oxygen concentration remains stable. Thirdly, the inert gas has completely replaced the free oxygen in the coal sample tank, and the oxygen concentration shows a negative exponential change. ② The time for different inert gases to displace oxygen in coal generally decreases as the particle size increases. The total time for CO2 to displace oxygen is the longest, followed by He, and N2 is the shortest. ③ For the same particle size, the amount of oxygen displacement shows an obvious inflection point. Before the inflection point, the amount of oxygen displacement basically increases linearly. After the inflection point, the amount of oxygen displacement increases slowly with time and finally remains stable. The accumulative amount of oxygen displacement under different inert gases decreases with the increase of particle size. The accumulative displacement of CO2 to oxygen is the largest, followed by He, and N2 is the smallest. ④ The oxygen displacement rate under the effects of different inert gases is characterized by first disorder and then stable decrease. Among them, the disorder stage of CO2 displacement is especially obvious. In the stable decrease stage of oxygen displacement rate, the rate of oxygen displacement basically decreases with the increase of particle size at the same time.

Key words:coal spontaneous combustion; inert gas displacement; inert gas fire prevention; displacement time; displacement volume; displacement rate

中图分类号:TD752

文献标志码:A

文章编号1671-251X(2021)09-0101-07

DOI:10.13272/j.issn.1671-251x.17840

扫码移动阅读

收稿日期:2021-09-08;

修回日期:2021-09-17;

责任编辑:盛男。

基金项目:国家重点研发计划项目(2018YFC0807904)。

作者简介:方熙杨(1996-),男,湖北黄冈人,博士研究生,主要研究方向为煤矿防灭火技术,E-mail:2497286849@qq.com。

通信作者:姚海飞(1984-),男,江西吉安人,副研究员,硕士,主要从事煤矿防灭火、综合防尘、智能通风等安全技术方面的研究工作,E-mail:yhf8000@163.com。

引用格式:方熙杨,姚海飞.惰气驱替不同粒径煤体中氧气的实验研究[J].工矿自动化,2021,47(9):101-107.

FANG Xiyang, YAO Haifei.Experimental study on the displacement of oxygen in coal with different particle sizes by inert gas[J].Industry and Mine Automation,2021,47(9):101-107.