回转钻进钻孔数据处理与三维显示软件设计

王小龙,张军

(中煤科工集团西安研究院有限公司, 陕西 西安 710077)

摘要针对煤矿井下回转钻进用随钻轨迹仪及手持式轨迹仪测量软件功能单一、显示不直观、无法实现瓦斯抽采盲区的分析与显示、不能指导钻孔施工等问题,设计了一种钻孔数据处理与三维显示软件。该软件包括钻孔数据预处理、钻孔深度与轨迹计算、钻孔轨迹三维建模与显示及钻孔轨迹设计指导4个功能模块:钻孔数据预处理模块重点关注地磁偏角计算及数据野点的剔除;钻孔深度与轨迹计算模块利用钻孔水压监测数据和测点倾角数据实现钻孔静水压力的提取及钻孔深度的计算,同时实现钻孔轨迹的计算及钻孔测点坐标的提取,完成钻孔轨迹深层次的数据挖掘;钻孔轨迹三维建模与显示模块将钻孔轨迹及煤层走向等钻孔信息通过三维实体有效呈现,便于钻孔瓦斯抽采盲区的确定,包括钻孔群轨迹及煤层分布三维显示、进煤面设计钻孔覆盖区域、进煤面实钻钻孔覆盖区域等显示;钻孔轨迹设计指导模块给出钻孔抽采盲区,并统计已有钻孔轨迹的偏移特性,给出后续补充钻孔施工的指导轨迹。采用该软件对某矿实钻钻孔进行三维显示和偏移规律分析,利用精准开孔技术和随钻轨迹测量技术对钻场进行了补充钻孔施工,补孔后的钻孔抽采覆盖区域达到了设计覆盖区域的95%以上,有效控制或消除了钻孔瓦斯抽采盲区。该软件解决了钻场或巷道钻孔群轨迹的三维显示问题,可直观再现钻孔轨迹与煤层的关系,为钻孔瓦斯抽采盲区的定量评价提供了一种新方法。

关键词回转钻进; 瓦斯抽采; 随钻轨迹仪; 钻孔轨迹; 钻孔深度; 钻进盲区; 三维显示

0 引言

煤矿井下普遍采用钻机施工瓦斯抽放钻孔,通过预先抽采钻孔瓦斯降低煤层瓦斯压力,有效预防煤与瓦斯突出事故的发生[1-2]。目前,煤矿井下钻孔施工方式包括定向钻进[3-4]和回转钻进[5-6]。定向钻进技术由于钻孔轨迹可调可控,在煤矿井下取得了良好的应用效果,但其价格昂贵、施工工艺复杂,所以煤矿井下大部分钻孔仍采用回转钻进施工方式。

在回转钻进施工中,常常采用随钻轨迹仪进行钻孔轨迹随钻测量,或是钻孔成孔后采用手持式钻孔轨迹仪进行钻孔轨迹测量。钻孔轨迹仪将采集到的姿态数据保存在测量探管内,测量完成后导出存储的数据到钻孔轨迹仪控制器中,由钻孔轨迹仪数据处理软件处理得到钻孔轨迹[7-9]。但钻孔轨迹仪数据处理软件只能给出单个钻孔的轨迹图,无法给出多个钻孔轨迹的位置关系以及与煤层之间的关系;钻孔轨迹仪数据处理软件所生成的上下偏差及左右偏差图都是二维图形,无法直观反映钻孔轨迹在三维空间中的形态;钻孔轨迹仪数据处理软件无法分析与圈定瓦斯抽采盲区,无法给出后续钻孔的指导轨迹。

针对钻孔瓦斯抽采盲区分析及控制的实际需求,设计开发了钻孔数据处理与三维显示软件。该软件具有界面友好、功能强大、使用便利、操作简单的特点,可帮助施工人员完成钻孔轨迹数据的处理、钻孔轨迹与煤层分布等三维显示、钻孔覆盖盲区的分析显示并给出后续钻孔指导轨迹,使钻孔施工人员可全面掌握钻孔信息,为优化钻孔施工提供技术支撑。

1 钻孔数据处理与三维显示软件设计

1.1 整体设计

煤矿井下回转钻进中通常采用YZG7随钻轨迹仪测量钻孔轨迹,YZG7随钻轨迹仪如图1所示。若在钻孔施工中未能实现随钻测量,则在钻孔成孔后可采用YQG1手持式轨迹仪进行钻孔轨迹测量,YQG1手持式轨迹仪如图2所示。

图1 YZG7随钻轨迹仪
Fig.1 YZG7 trackers while drilling

图2 YQG1手持式轨迹仪
Fig.2 YQG1 hand held trackers

采用YZG7随钻轨迹仪作为数据采集设备进行钻孔数据采集。YZG7随钻轨迹仪包括孔口控制器与钻孔测量探管。钻孔测量探管测量钻孔的倾角、方位角、工具面向角等空间姿态参数,孔口控制器记录测量时间,钻孔施工完成起钻后,连接孔口控制器与钻孔测量探管,根据测量时间进行数据同步后,将钻孔测量探管的姿态数据上传到孔口控制器中便于后续处理。

根据钻孔瓦斯抽采盲区分析及控制的实际需求,钻孔数据处理与三维显示软件包括4个功能模块:钻孔数据预处理、钻孔深度与轨迹计算、钻孔轨迹三维建模与显示及钻孔轨迹设计指导模块,如图3所示。其中钻孔数据预处理模块包括数据导入、系统参数设置、钻场钻孔设计、数据校准等,重点关注地磁偏角计算及数据野点的剔除。钻孔深度与轨迹计算模块利用钻孔水压监测数据,结合测点倾角数据实现钻孔静水压力的提取及钻孔深度的计算,同时实现钻孔轨迹的计算及钻孔测点坐标的提取,完成钻孔轨迹深层次的数据挖掘。钻孔轨迹三维建模与显示模块将钻孔轨迹及煤层走向等钻孔信息通过三维实体有效呈现,便于钻孔瓦斯抽采盲区的确定,包括钻孔群轨迹及煤层分布三维显示、进煤面设计钻孔覆盖区域、进煤面实钻钻孔覆盖区域等显示。钻孔轨迹设计指导模块给出了钻孔抽采盲区,并统计已有钻孔轨迹的偏移特性,给出后续补充钻孔施工的指导轨迹。

图3 钻孔数据处理与三维显示软件模块
Fig.3 Modules of borehole data processing and 3D display software

1.2 关键技术

(1) 多种数据格式的兼容性。目前已有YZG7、YQG1、YZG3.7、YCSZ(A)等多款矿用随钻及非随钻轨迹测量设备。钻孔数据处理与三维显示软件在开发过程中要解决不同轨迹仪设备数据格式的兼容性问题,要能实现各种轨迹仪测量设备的数据导入。根据数据文件编码方式的不同,该软件能读取.dat、.excel、.xml等不同格式的数据文件,实现不同数据格式的兼容。

(2) 基于钻孔水压监测数据的钻孔深度计算。在底抽巷的上行钻孔施工中,为了避免钻孔施工人员对钻孔深度的谎报和误报,采用基于钻孔静水压力数据结合钻孔倾角数据确定钻孔深度的技术方法。在钻杆尾部的水辫上安装水压传感器,连续监测钻杆内水压数据,在钻孔数据处理与三维显示软件中通过检测钻孔水压数据中的静水压力数据,同时结合钻孔倾角数据计算钻孔深度。

(3) 钻孔瓦斯抽采覆盖区域分析。钻孔轨迹可以精确计算,采用三维建模及显示软件可以显示钻孔轨迹在空间中的分布情况。但对于瓦斯抽采而言,关心的是钻孔在进入煤层(进煤面)的落点和钻孔在穿出煤层(出煤面)的落点以及在煤层中钻孔瓦斯抽采覆盖区域的大小,是否有覆盖盲区存在及覆盖盲区的大小。只有知道了盲区是否存在及盲区位置,才能指导后续钻孔施工,定量分析钻孔瓦斯抽采覆盖区域,更好地指导后续钻孔施工。

(4) 钻孔偏移规律分析。在回转钻进的施工过程中,为获取最佳的抽采效果,需要实钻轨迹尽可能与设计轨迹一致,然而由于钻孔轨迹易受岩层地质条件、煤层分布、钻杆自质量及钻进参数等多种因素的影响,实钻轨迹总是偏离设计轨迹。实钻轨迹与这些影响因素之间的定量化关系难以确定。如何根据已有的实钻轨迹与设计轨迹找到该钻场钻孔偏移的整体规律,在后续钻孔施工中根据偏移规律重新设计钻孔开孔倾角及方位角,使得钻孔在煤层中的实际轨迹与设计轨迹尽可能吻合或是实际轨迹的落点尽可能处于钻孔瓦斯抽采盲区内,从而达到控制与消除瓦斯抽采盲区的目的。

2 钻孔数据处理与三维显示软件模块功能

2.1 钻孔数据预处理模块

钻孔数据预处理模块可实现对轨迹仪测量数据的导入、系统参数设置、钻场钻孔设计、数据校准等功能。

(1) 数据导入。通过数据导入,可将计算机中或U盘中存储的轨迹仪测量数据(XML格式或Excel格式)加载到钻孔数据处理软件中进行后续处理。

(2) 系统参数配置。在对钻孔测量数据进行校准前,需要对软件的有关参数进行配置,具体包括地磁偏角设置、轨迹计算方法的选择等。其中在磁偏角设置中给定了全国79个不同矿区的磁偏角数值,用户可根据实测地点选择所属矿区,该矿区的磁偏角数值会自动加载到软件中参与相关计算。轨迹计算方法分为平均角法与校正平均角法,通常软件默认选择平均角法作为轨迹计算方法,可将钻孔测量的角度数据转换为钻孔轨迹的三维坐标,如有需要也可设置校准平均角法作为配置。

(3) 钻场钻孔设计。对钻场进行管理,比如对钻场进行施工用途、岩层分布、含水特性的备注说明。新建钻孔时,需输入主设计方位角、开孔倾角、开孔方位角等信息。新建钻孔完成后,可输入设计轨迹。

(4) 钻孔测量数据校准。在使用钻孔测量数据进行轨迹计算前,先进行数据校准,可根据现场实际情况适当调整和修正数据点,对钻孔测量数据中的野点进行剔除,按多点平滑法进行插值补充。除此之外,可进行数据添加、数据删除、按深度升序或降序进行数据排序等,以弥补操作失误、遗漏采集等原因造成的错误。

2.2 钻孔深度与轨迹计算模块

钻场深度与轨迹计算模块可对钻孔轨迹测量数据和钻孔水压监测数据进行深层处理,主要用于确定钻孔深度和钻孔轨迹的管理。

(1) 钻孔水压数据导入。 将钻孔水压数据文件(Excel格式)导入到钻孔数据处理软件中。

(2) 钻孔深度计算。从连续监测的巨量钻孔水压数据中提取静水压力数据(钻机水开关关闭时钻杆内的水压数据),结合测量的倾角数据,计算钻孔深度H,并进行保存、输出。具体计算公式为

H=P/(ρgsin θ)

(1)

式中:P为静水压力;ρ为水的密度;g为重力加速度;θ为钻孔倾角。

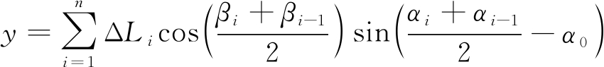
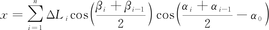
(3) 钻孔轨迹计算。利用轨迹仪测量获得的倾角和方位角及钻孔深度数据,通过均角全距法将测量的姿态数据转换为表示钻孔轨迹的空间三维坐标(x,y,z)。具体计算公式为

(2)

(3)

(4)

式中:ΔLi为第i个测点与i-1个测点之间的距离,i=1,2,…,n,n为测点个数;βi为第i个测点的倾角;αi为第i个测点的方位角;α0为钻孔主设计方位角。

在获得水平位移x、左右位移y及上下位移z后即可绘制钻孔轨迹。根据钻孔轨迹数据绘制各个钻孔的轨迹图,包括相对于钻孔坐标系的左右偏差轨迹图、上下偏差轨迹图以及相对于地理坐标系的左右偏差轨迹图、上下偏差轨迹图。

(4) 钻孔三维坐标转换。三维坐标转换实现钻孔坐标到钻场坐标的转换,以便于钻孔的三维建模和三维显示。针对钻场或巷道中所有钻孔,先在钻场或巷道中规定一个基准零点,给定每个钻孔起点相对于钻场基准点的三维坐标值,通过三维坐标转换将钻孔坐标转换为钻场坐标。此外,根据钻孔施工记录给定钻孔见煤深度、出煤深度及测点间距,通过三维坐标转换可以确定钻孔见煤点三维坐标和出煤点三维坐标,这些参数都可用于在三维空间中进行钻场孔群的管理。

2.3 钻孔轨迹三维建模与显示模块

(1) 三维建模与显示。鉴于三维可视化软件Voxler在钻孔轨迹可视化方面的优势,在钻孔数据处理与三维显示软件中内嵌了Voxler软件,通过调用Voxler软件,利用其功能强大、操作简单的特点,实现钻孔群轨迹的三维建模[10-11]。在三维显示中,可以通过不同视角或任意平面的切片图来直观显示钻孔轨迹及煤层分布。

(2) 钻孔覆盖区域显示。包括设计钻孔覆盖区域显示和实钻钻孔覆盖区域显示2个部分。三维显示可以直观显示钻孔的轨迹以及钻孔穿过煤层的见煤点与出煤点,但定量描述钻孔瓦斯抽采覆盖区域并非易事。考虑到通常煤层厚度为1~8 m,相对于钻孔深度而言煤层很薄且煤层倾角普遍较小这一事实,采用将钻孔进煤点与出煤点及钻孔瓦斯抽采覆盖区域(通常取钻孔周围直径5 m的范围)由三维空间投影到水平面的方法,以直观且定量描述钻孔覆盖区域。通过设计钻孔覆盖区域和实钻钻孔覆盖区域的对比,可以确定是否存在钻孔瓦斯抽采盲区以及钻孔瓦斯抽采盲区的位置与大小。

2.4 钻孔轨迹设计指导模块

(1) 钻孔偏移特性分析。钻孔轨迹偏移受岩层地质条件、岩层夹角、钻杆自质量、钻机型号及钻机操作人员等多种因素的影响,是一个比较复杂的问题。根据已有的钻孔施工经验,钻孔偏移具有如下规律:① 岩层结构单一,钻孔偏移量较小;岩层结构复杂,钻孔偏移量较大。② 岩石坚固性系数大, 钻孔偏移量小; 岩石坚固性系数小,钻孔偏移量大。③ 岩层倾角和钻孔倾角的夹角大,钻孔偏移量小;岩层倾角和钻孔倾角的夹角小,钻孔偏移量大。④ 钻机功率越大,钻杆直径越大,钻孔偏移量越大。⑤ 钻头顺时针旋转,钻孔偏斜一般向右。⑥ 给定压力适中、钻进速度适中时,随着孔深增加,由于钻具自重影响,钻孔轨迹向下偏斜;给定压力过大、钻进速度过快时,钻孔轨迹向上偏斜。在钻孔数据处理与三维显示软件中根据钻孔群轨迹统计钻场钻孔偏移特性,包括各个钻孔开孔倾角偏差、开孔方位角偏差、实钻轨迹偏差等,将钻场内的钻孔按照一行或多行排列进行倾角偏差统计,按照一列或多列进行方位角偏差统计,给出一定倾角或一定方位角范围内,钻孔的倾角或方位角偏差及偏差角度和钻孔深度之间的拟合公式。

(2) 指导钻孔轨迹调整。 根据钻孔偏移特性,结合钻孔轨迹偏移的一般规律,修改后续钻孔设计轨迹或设计补充钻孔轨迹,修改或设计的依据是根据统计的平均偏差(方位角偏差和倾角偏差),在原设计参数上减去该平均偏差角度,即获得新的设计参数。在钻场地质条件、钻机型号、施工人员及施工工艺等条件不变的情况下,按照新的设计进行钻孔施工可以保证钻孔在煤层进出点的位置落在设计位置附近,从而达到控制与消除瓦斯抽采盲区的目的。此外,钻机操作人员可以通过调整钻进压力与钻进速度,人为控制轨迹倾角的变化达到钻孔落点尽可能靠近设计位置,但这对钻机操作人员的钻探经验要求很高。 根据钻孔偏移特性设计的补充钻孔方位和倾角如图4和图5所示。根据设计方位与实钻方位角的偏差,在补充设计中人为反向增加该偏差,以保证补充实钻轨迹落点与设计轨迹落点基本一致。

图4 补充钻孔方位角设计
Fig.4 Design of azimuth angle of supplementary borehole

图5 补充钻孔倾角设计
Fig.5 Design of dip angle of supplementary borehole

钻孔轨迹数据处理与三维显示软件数据处理流程如图6所示。钻孔轨迹数据处理与三维显示软件中钻孔轨迹计算界面如图7所示。

图6 钻孔轨迹数据处理与三维显示软件数据处理流程
Fig.6 Data processing flow of borehole data processing and 3D display software

图7 钻孔轨迹计算界面
Fig.7 Borehole track computing interface

3 现场试验

淮北矿业集团某矿为治理瓦斯灾害,在井下施工大量穿层钻孔、顺层钻孔及高位钻孔等。采用钻孔数据处理与三维显示软件对该矿866底抽巷14号、16号、18号、20号、22号、24号钻场共6个连续钻场计257个钻孔进行了数据处理。866底抽巷位于8煤层底板下27~40 m,煤层底板下方为灰岩层,各钻场瓦斯穿层钻孔轴向间距为5 m,列间距为5 m,钻孔终孔穿过8煤层顶板约3 m。处理后的钻孔群轨迹及煤层顶底板的三维显示如图8所示。

图8 钻场钻孔轨迹与煤层顶底板三维显示
Fig.8 3D display of borehole track and coal seam roof and floor

淮北矿业集团某矿1035机巷底抽巷22号钻场,设计钻孔轨迹三维显示如图9所示。底抽巷瓦斯抽采钻孔是由底抽巷顶板或侧帮向上施工穿层钻孔,使钻孔穿过上方煤层中预掘巷道附近位置,以预先抽采煤层中预掘巷道周围的瓦斯,保障后续预掘巷道掘进施工的安全。根据实际抽采经验,钻孔瓦斯抽采覆盖区域为钻孔周围半径为2.5 m的圆形区域。为保证预掘巷道周围区域瓦斯抽采的全覆盖,通常将钻孔在煤层预掘进巷道附近的落点设置为等间距,钻孔进出煤层的落点的行列间距均为4~6 m。虽然设计轨迹实现了钻孔瓦斯抽采全覆盖,但由于岩层地质条件、煤层分布、钻杆自质量及钻进参数等多种因素的影响,钻孔实钻轨迹往往偏离设计轨迹,使得钻孔瓦斯抽采不能实现全区域覆盖,从而出现了钻孔覆盖盲区,导致部分区域瓦斯未能抽采,存在安全风险。

图9 1035机巷底抽巷22号钻场设计钻孔
轨迹与煤层顶底板三维显示
Fig.9 3D display of borehole track and roof and floor of coal seam in No.22 drilling field of 1035 mine roadway

采用钻孔数据处理与三维显示软件对22号钻场设计钻孔覆盖区域、实钻钻孔覆盖区域及补充钻孔后的覆盖区域进行了显示与评价,钻孔覆盖区域显示如图10所示。从图10(a)可看出,设计钻孔的抽采区域实现了预掘巷道周围20 m半径内全覆盖。从图10(b)可看出,实钻钻孔的覆盖区域只达到设计覆盖区域的55%左右(绿色为实际钻孔出煤点,红色表示实际钻孔的抽采覆盖区域),在预掘巷道的中间部位及右上方、右下方存在较大的钻孔抽采覆盖盲区。通过实钻钻孔的三维显示和对实钻钻孔偏移规律的分析,设计了补充钻孔的轨迹,利用精准开孔技术和随钻轨迹测量技术对22号钻场进行了补充钻孔施工,补孔后钻孔抽采覆盖区域如图10(c)所示(红色为实际钻孔的抽采覆盖区域,蓝色为补充钻孔的抽采覆盖区域),此时钻孔抽采区域达到了设计覆盖区域的95%以上,扩大了钻孔瓦斯抽采覆盖范围,能有效控制或消除钻孔瓦斯抽采盲区。

(a) 设计钻孔抽采覆盖区域

(b) 实钻钻孔抽采覆盖区域

(c) 补钻后实钻钻孔抽采覆盖区域

图10 钻孔设计、实钻及补钻施工后抽采覆盖区域对比
Fig.10 Comparison of borehole design coverage area, actual drilling coverage area and coverage area after supplementary drilling

4 结论

(1) 设计了钻孔轨迹数据处理与三维显示软件,该软件具有钻孔数据处理、三维显示、钻孔偏移规律分析等功能,可实现对钻孔轨迹数据、钻孔深度数据的计算与挖掘、钻孔偏移特性的统计分析。

(2) 该软件解决了钻场或巷道钻孔群轨迹的三维显示问题,可直观再现钻孔轨迹与煤层的关系,为钻孔瓦斯抽采盲区的定量评价提供了一种新方法,能指导后续钻孔轨迹设计与施工工作,满足施工现场多层次的实际需求。

参考文献(References):

[1] 杨林.煤矿井下瓦斯抽采钻孔机器人研究现状及关键技术[J].煤矿机械,2018,39(8):60-62.

YANG Lin.Research status and key technology of underground gas drainage drilling robot in coal mine[J].Coal Mine Machinery,2018,39(8):60-62.

[2] 石智军,刘建林,李泉新.我国煤矿区钻进技术装备发展与应用[J].煤炭科学技术,2018,46(4):1-6.

SHI Zhijun,LIU Jianlin,LI Quanxin.Development and application of drilling technique and equipment in coal mining area of China[J].Coal Science and Technology,2018,46(4):1-6.

[3] 方俊,石智军,李泉新,等.新型煤矿井下定向钻进用有线随钻测量装置[J].工矿自动化,2015,41(8):1-5.

FANG Jun,SHI Zhijun,LI Quanxin,et al.Novel cable measurement while drilling device used for directional drilling in coal mine[J].Industry and Mine Automation,2015,41(8):1-5.

[4] 梁春苗,姚宁平,姚亚峰,等.狭窄巷道用定向钻机研制及应用[J].煤矿安全,2019,50(6):104-110.

LIANG Chunmiao,YAO Ningping,YAO Yafeng,et al.Development of directional drilling rig for narrow coal mine roadway and application[J].Safety in Coal Mines,2019,50(6):104-110.

[5] 冯强.回转钻进钻孔测量系统及其在寺河矿的应用[J].煤炭技术,2013,32(6):66-68.

FENG Qiang.Application of measuring system of rotary-drilled borehole in Sihe Mine[J].Coal Technology,2013,32(6):66-68.

[6] 黄麟森,张先韬.回转钻进随钻测量装置数据处理软件设计[J].工矿自动化,2015,41(7):112-114.

HUANG Linsen,ZHANG Xiantao.Design of data processing software of measurement device while drilling for rotary drilling[J].Industry and Mine Automation,2015,41(7):112-114.

[7] 王岚.存储式随钻测斜仪的研制[J].煤田地质与勘探,2013,41(3):79-80.

WANG Lan.Research and development of storage inclinometer while drilling[J].Coal Geology & Exploration,2013,41(3):79-80.

[8] 宫浩.矿用低功耗随钻轨迹测量仪[J].煤矿安全,2019,50(5):105-108.

GONG Hao.Low power consumption trajectory measuring instrument while drilling in mine[J].Safety in Coal Mines,2019,50(5):105-108.

[9] 刘喜龙,张军,赵明校,等.钻孔轨迹测量技术及应用研究[J].西部探矿工程,2016,28(11):17-20.

LIU Xilong,ZHANG Jun, ZHAO Mingxiao,et al.Research on the technology and application of borehole trajectory measurement[J].West-China Exploration Engineering,2016,28(11):17-20.

[10] 胡玉超.Voxler在钻孔轨迹可视化中的应用[J].煤矿安全,2018,49(4):99-102.

HU Yuchao.Application of Voxler in visualization of borehole trajectory[J].Safety in Coal Mine,2018,49(4):99-102.

[11] 徐佳,朱鲁,翟培合.基于Voxler平台的电法数据体三维可视化[J].工程地球物理学报,2014,11(6):772-775.

XU Jia,ZHU Lu,ZHAI Peihe.The 3D visualization interpretation of electrical data based on the Voxler platform[J].Chinese Journal of Engineering Geophysics,2014,11(6):772-775.

Design of rotary borehole data processing and 3D display software

WANG Xiaolong,ZHANG Jun

(Xi'an Research Institute Co., Ltd., China Coal Technology and Engineering Group Corp.,Xi'an 710077, China)

Abstract:The drilling tracker and hand held tracker measurement software for underground rotary borehole in coal mines has problems such as single function, counterintuitive display, inability to analyze and display the blind area of gas extraction and inability to guide the construction of boreholes. In order to solve the above problems, a borehole data processing and 3D display software is designed. The software includes four functional modules, including borehole data pre-processing, borehole depth and track calculation, borehole track 3D modeling and display and borehole track design guidance. The borehole data pre-processing module focuses on the calculation of geomagnetic declination and the elimination of data outliers. The borehole depth and track calculation module uses the borehole water pressure monitoring data combined with the measured point inclination data to realize the extraction of borehole hydrostatic pressure and the calculation of borehole depth. Moreover, the module obtains the calculation of borehole track and the extraction of borehole measuring point coordinates so as to complete the deep-level data mining of the borehole track. Borehole track 3D modeling and display module presents borehole information such as borehole track and coal seam direction through 3D entities effectively, which facilitates the determination of the blind area for gas extraction from borehole. The module includes the 3D display of borehole group track and coal seam distribution, the coverage area of designed borehole in the coal face, and the coverage area of actual borehole in the coal face. The borehole track design guidance module provides the blind area of the borehole extraction, calculate the offset characteristics of the existing borehole track, and provides the guidance track of the subsequent supplementary borehole construction. The software is used to perform 3D display and offset law analysis on the actual borehole of a mine, and the drilling site is supplemented by drilling with precision drilling technology and track measurement technology. The extraction coverage area of the boreholes after supplementary drilling reaches more than 95% of the designed coverage area. The module controls or eliminates the blind area of gas extraction in boreholes effectively. The software solves the problem of 3D display of the track of the drilling site or roadway borehole group, reproduces the relationship between the borehole trajectory and the coal seam visually, and provides a new method for quantitative evaluation of the blind area of gas extraction in boreholes.

Key words:rotary drilling; gas extraction; drilling tracker; borehole track; borehole depth; borehole blind area; 3D display

中图分类号:TD67

文献标志码:A

扫码移动阅读

文章编号1671-251X(2021)06-0084-07

DOI:10.13272/j.issn.1671-251x.2021020002

收稿日期:2021-02-01;修回日期:2021-05-21;责任编辑:张强。

基金项目:国家科技重大专项资助项目(2016ZX05045002-005)。

作者简介:王小龙(1975-),男,陕西扶风人,副研究员,博士,主要从事煤矿井下物探仪器的开发及推广工作,E-mail:wangxiaolong@cctegxian.com。

引用格式:王小龙,张军.回转钻进钻孔数据处理与三维显示软件设计[J].工矿自动化,2021,47(6):84-90.

WANG Xiaolong,ZHANG Jun.Design of rotary borehole data processing and 3D display software[J].Industry and Mine Automation,2021,47(6):84-90.