锚固承载层作用下巷道围岩稳定性分析

李颜, 高召宁, 陈登国, 谷文伟

(安徽理工大学 矿业工程学院, 安徽 淮南 232000)

摘要针对现有巷道围岩稳定性控制方法是将锚杆支护阻力均匀作用于巷道表面,较少考虑锚杆与围岩耦合形成的锚固承载层的等效支护力问题,通过分析围岩力学模型得出锚固承载层等效支护力的解析表达式及巷道围岩在锚固承载层作用下的弹性区与塑性区应力、塑性区半径和巷道围岩表面位移的解析表达式。算例分析结果表明:① 锚杆长度增加时,锚固承载层厚度随之增大;锚杆长度一定时,随着锚杆排距的增加,锚固承载层厚度减小;锚固承载层等效支护力随着锚固承载层厚度的增大而增大。② 在塑性区中,相对于不考虑锚固承载层的Fenner解,考虑锚固承载层的本文解下的围岩切向应力较大,应力峰值位置更接近巷道中心位置;在弹性区中,相对于Fenner解,本文解下的围岩切向应力较小,径向应力较大。③ 随着锚固承载层等效支护力的增大,塑性区半径呈下降趋势;随着锚固承载层等效支护力的增大,Fenner解与本文解下的巷道围岩表面位移减小,且Fenner解下的位移变化量比本文解下的大。利用Flac3D软件对锚固承载层作用下的巷道围岩应力、塑性区半径和巷道表面位移进行数值模拟,数值模拟结果与算例分析结果基本一致,锚固承载层作用下巷道围岩稳定性更为可靠。

关键词锚固承载层; 巷道围岩稳定性; 围岩应力; 塑性区半径; 锚杆支护

0 引言

巷道开挖后,围岩的应力状态发生变化,由原本平衡状态下的空间应力状态演变成二维应力状态[1]。如果不及时采取支护措施,巷道围岩会产生变形,甚至发生冒顶、片帮等事故,严重制约矿井安全高效开采[2]

众多学者对巷道围岩稳定性控制方法进行了相关研究。文献[3]分析了在不同原岩应力、围岩强度条件下通过提高锚杆预应力来增强支护强度。文献[4]通过试验和理论分析,探讨了锚杆支护对锚固范围岩体参数的影响及对锚固体的作用情况。文献[5]分析了巷道开挖后,破坏的原岩产生的松动圈,根据松动圈参数,研究巷道支护的合理性。文献[6]考虑承载结构对于巷道围岩的稳定效果,提出了不同阶段的支护原则和支护方法。文献[7]考虑到巷道开挖后围岩的原始平衡应力状态发生破坏,通过注浆改善围岩性质,提高围岩强度。

上述研究是将锚杆支护阻力均匀作用于巷道表面,较少考虑锚杆与围岩耦合形成的锚固承载层的等效支护力。本文通过分析围岩力学模型得出锚固承载层等效支护力的解析表达式及巷道围岩在锚固承载层作用下的弹性区与塑性区应力、塑性区半径和巷道围岩表面位移的解析表达式,分析锚固承载层对巷道围岩稳定性的影响,利用Flac3D软件对锚固承载层作用下的巷道围岩应力、塑性区半径和巷道表面位移进行数值模拟。

1 围岩力学模型

1.1 力学模型计算

研究表明,在静水压力状态下的水平圆形巷道,当巷道埋深大于或等于20倍巷道半径时,可忽略巷道影响范围内的岩石重力[8]。当巷道开挖后围岩会发生一定的变形,在对围岩进行有规律的锚杆群布置时,锚杆和围岩之间相互挤压,会在巷道表面至一定范围内形成一个支护环。相邻锚杆在支护环支护下相互作用形成一个六边形压实区,多个压实区相互连接形成一个均匀且稳定的压缩带[9]。在压缩带一定范围内岩体强度提升,能够承受一定荷载,该范围内岩体即为锚固承载层。锚固承载层作用下的力学模型如图1所示,r0为巷道半径,m;pi为初始支护阻力,MPa;rp为塑性区半径,m;b为锚固承载层厚度,m;p0为原岩应力,MPa;pib为锚固承载层等效支护力,MPa。

图1 锚固承载层作用下的力学模型
Fig.1 Bearing capacity model of the bolt bearing layer

沿巷道轴线对称分布的竖向荷载为

(1)

式中:为巷道锚固承载层的切向应力,MPa;r为距巷道中心的距离,m。

假设图1所示的力学模型处于平衡状态,通过Mohr-Coulomb屈服准则计算锚固承载层外边界所提供的支护强度[10]

锚固承载层等效支护力为

(2)

锚杆根数为

(3)

式中lθ为锚杆间距,mm。

锚固承载层厚度为

(4)

式中L为锚杆长度,m。

初始支护阻力为

(5)

式中:Qb为锚杆拉拔力,kN;lr为锚杆排距,mm。

1.2 锚固承载层等效强度参数

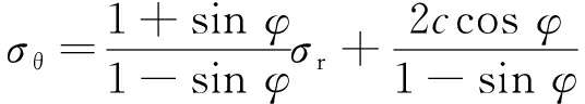
Mohr-Coulomb屈服准则为

(6)

式中:σθ为围岩切向应力,MPa;φ为围岩内摩擦角,(°);σr为围岩径向应力,MPa;c为围岩黏聚力,MPa。

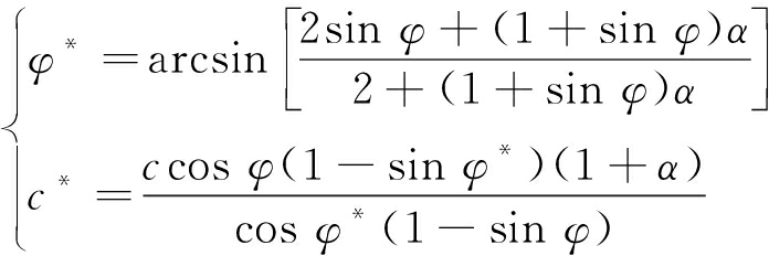
主应力坐标系下的屈服轨迹如图2所示。虚线m为支护后轨迹;实线n为支护前轨迹;为支护后单轴抗压强度,MPa;δc为支护前单轴抗压强度[11],MPa。支护后屈服轨迹梯度f*与支护前屈服轨迹梯度f分别为

(7)

式中φ*为锚固承载层的等效内摩擦角,(°)。

(8)

图2 主应力坐标系下的屈服轨迹
Fig.2 The yield locus in the principal stress
coordinate system

锚杆的间排距、长度、直径和围岩的黏聚力、内摩擦角都直接影响着锚固承载层的强度和等效支护力。锚杆密度因子[12]

(9)

式中:rm为锚杆半径,mm;μ为围岩与锚杆间的摩阻系数,μ=tan φ

支护前后屈服轨迹梯度之间的关系为

f*=(1+α)f

(10)

支护前后单轴抗压强度分别为

(11)

(12)

式中c*为锚固承载层的等效黏聚力,MPa。

支护前后单轴抗压强度之间的关系为

(13)

应用Mohr-Coulomb屈服准则,结合屈服轨迹梯度关系,根据反三角函数计算支护后锚固承载层的等效内摩擦角φ*和黏聚力c*

(14)

2 巷道围岩弹塑性分析

为了便于分析,假设巷道处于原岩应力为p0的均匀应力场中,巷道围岩为均质、各向同性的连续介质。为分析巷道围岩应力分布及力学特征,巷道围岩应满足以下力学假定。

轴对称条件下的平衡微分方程为

(15)

几何方程为

(16)

(17)

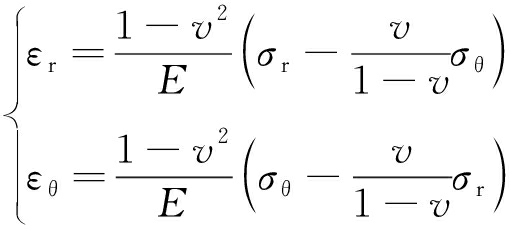
平面应变问题的本构方程为

(18)

式中:εr为围岩径向应变;v为泊松比;E为围岩弹性模量,GPa;εθ为围岩切向应变。

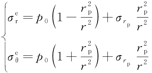
弹性区内围岩应力[13]

(19)

式中:为弹性区围岩径向应力,MPa;rp为塑性区半径,m;σrp为弹塑性交界面(r=rp)围岩应力,为弹性区围岩切向应力,MPa。

对于不考虑锚固承载层的Fenner解,在弹塑性交界面(r=rp)时塑性区应力为

(20)

式中:为塑性区围岩径向应力,为塑性区围岩切向应力,MPa。

对于考虑锚固承载层的本文解,在弹塑性交界面(r=rp)时,有则应力为

(21)

式中为锚固承载层围岩径向应力,MPa。

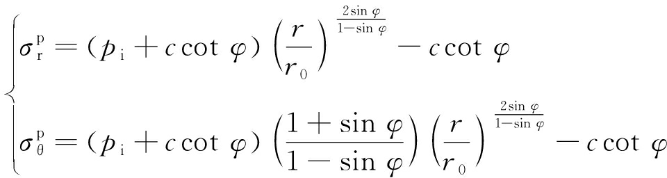
在锚固承载层范围内,巷道围岩支护形式发生了变化[14],塑性区受到的支护力由初始支护阻力pi转变为锚固承载层等效支护力pib,巷道半径由r0转变为r0+b

锚固承载层作用下的塑性区半径为

(22)

r=r0时,围岩表面位移为

(23)

式中G为围岩剪切模量,GPa。

上述计算是在巷道断面为圆形的条件下进行的,而本文的数值模拟需要在巷道断面为直墙半圆拱形的条件下进行。根据巷道断面的等效法则,将直墙半圆拱形巷道断面转换为圆形巷道断面,得出对应的等效半径[15]

(24)

式中:H为巷道断面高度,m;B为巷道断面宽度的1/2,m。

3 算例分析

根据具体工程实测地质资料可知,巷道半径r0=3 m,剪切模量G=1.49 GPa,围岩黏聚力c=2.82 MPa,泊松比v=0.31,内摩擦角φ=31.7°,原岩应力p0=24 MPa。锚杆参数选取:锚杆直径d=22 mm,锚杆长度L=1.8 m,锚杆间距lθ=1 000 mm,锚杆排距lr=1 000 mm,围岩与锚杆间的摩阻系数μ=0.63,计算可得锚固承载层厚度b=1 m,锚杆根数N=11。由式(4)和式(19)可知锚固承载层塑性区半径rp=6.95 m。根据文献[16-17]可知,锚杆拉拔力Qb<150 kN,故选取Qb=100 kN,计算可得初始支护阻力pi=0.1 MPa,锚固承载层的等效黏聚力c*=2.94 MPa,锚固承载层等效内摩擦角φ*=34.2°。

3.1 锚固承载层厚度与锚杆长度、等效支护力关系

为了分析锚固承载层厚度与锚杆长度、等效支护之间的关系,通过式(2)、式(4)和式(21)得到图3和图4。由图3可知,当锚杆长度增加时,锚固承载层厚度也在逐渐增大;当锚杆长度一定时,随着锚杆排距的增加,锚固承载层厚度减小。由图4可知,初始支护阻力一定时,锚固承载层等效支护力随着锚固承载层厚度的增大而增大;当锚固承载层厚度一定时,锚固承载层等效支护力与初始支护阻力呈正比。

图3 锚固承载层厚度与锚杆长度关系曲线
Fig.3 The relationship curve between the thickness of
the bolt bearing layer and the length of bolt rod

图4 锚固承载层厚度与等效支护力关系曲线
Fig.4 The relationship curve between the thickness of the
bolt bearing layer and the equivalent supporting force

3.2 巷道围岩应力分布

由式(19)—式(21)绘制巷道围岩应力分布曲线,如图5所示。在塑性区中,与Fenner解相比,本文解下的围岩切向应力较大,应力峰值略大,且应力峰值位置更接近巷道中心位置。在弹性区中,相对于Fenner解,本文解下的围岩切向应力较小,径向应力较大。锚固承载层的存在使围岩应力集中范围减小,从而提高了巷道围岩的承载能力。

图5 巷道围岩应力分布曲线
Fig.5 Surrounding rock stress distribution curve

3.3 塑性区半径和巷道围岩表面位移

由式(2)可得锚固承载层等效支护力的最小值为1.4 MPa,结合式(22)可得塑性区半径与锚固承载层等效支护力关系曲线,如图6所示。

图6 塑性区半径与锚固承载层等效支护力关系曲线
Fig.6 The relationship curve between radius of plastic zone
and equivalent support force of the bolt bearing layer

由图6可知,随着锚固承载层等效支护力的增大,本文解与Fenner解下的塑性区半径呈下降趋势,即锚固承载层等效支护力和塑性区半径呈负相关;本文解下的塑性区半径比Fenner解下的减少了8.03%~10.8%。锚固承载层的存在对塑性区发育具有一定的限制作用。

由式(23)可得巷道围岩表面位移与锚固承载层等效支护力关系曲线,如图7所示。随着锚固承载层等效支护力的增大,Fenner解与本文解下的巷道围岩表面位移均减小,且Fenner解下的位移变化量比本文解下的大。

4 巷道围岩锚固承载结构数值分析

利用Flac3D软件对锚固承载层作用下的巷道围岩应力、塑性区半径和巷道表面位移进行数值模拟。锚杆支护断面如图8所示,巷道断面宽2B=6 m,高H=5.2 m,拱高h1=3 m,墙高h2=2.2 m,锚杆拉拔力Qb=100 kN,弹性模量E=200 GPa。采用φ22 mm×1 800 mm、间排距1 000 mm×1 000 mm的螺纹钢锚杆进行支护。

图7 巷道围岩表面位移与锚固承载层等效支护力关系曲线
Fig.7 The relationship curve between roadway surface
displacement and equivalent support
force of the bolt bearing layer

图8 锚杆支护断面
Fig.8 Bolt support section

数值计算模型如图9所示。边界条件:设置上表面为自由表面,其余边界采用法向固定约束24 MPa。模型尺寸沿XYZ方向为50 m×30 m×50 m,其中X为巷道断面内的水平横向方向,Y为水平竖向方向,Z为垂直竖向方向。

图9 数值计算模型
Fig.9 Numerical calculation model

4.1 锚固承载层应力

巷道围岩最大主应力云图如图10所示。巷道围岩在开挖后切向应力产生了局部集中区域,该区域内的最大应力为原岩应力的1.5倍,与图5中最大应力一致;径向应力在巷道围岩的周边一定范围发生了强烈的卸荷效应,切向应力与径向应力在巷道周边均存在一定程度的减小。从巷道表面至深部围岩,径向应力逐渐增大并最终趋于原岩应力。锚固承载层主要作用在巷道周边的破裂围岩,巷道周边围岩最大主应力低于原岩应力,锚固承载层的存在对维护巷道稳定有着重要作用。

图10 巷道围岩最大主应力云图
Fig.10 Maximum principal stress cloud map of surrounding
rock of roadway

4.2 塑性区范围

巷道围岩塑性区分布如图11所示。可看出塑性区半径范围为6.6~7.1 m,与算例分析所得塑性区半径6.95 m相近;本文解下的塑性区范围明显比无支护和Fenner解下的小,说明锚固承载层在抑制巷道塑性区发育方面有较好的作用。

4.3 巷道围岩位移

巷道围岩表面位移如图12所示。本文解下的巷道围岩表面位移最大为61.1 mm,算例分析中本文解下的巷道围岩表面位移为56.8 mm,两者相差不大;对比无支护和Fenner解下的巷道围岩表面位移,本文解下的位移量明显减小,锚固承载层的存在对巷道围岩变形具有抑制作用,巷道围岩相对变形量明显降低,锚固承载层承载上覆岩层荷载,对巷道围岩破坏起到了弱化作用,围岩变形量大幅度降低,加强了巷道的稳定性。

图11 塑性区分布
Fig.11 Distribution of plastic zone

图12 巷道围岩表面位移云图
Fig.12 Surface displacement cloud map of roadway surrounding rock

5 结论

(1) 锚杆长度增加时,锚固承载层厚度随之增大;锚杆长度一定时,随着锚杆排距的增加,锚固承载层厚度减小;锚固承载层等效支护力随着锚固承载层厚度的增大而增大。

(2) 在塑性区中,相较于Fenner解,本文解下的围岩切向应力较大,应力峰值位置更接近巷道中心位置;在弹性区中,相对于Fenner解,本文解下的围岩切向应力较小,径向应力较大。

(3) 在锚固承载层的作用下,巷道塑性区的发育和围岩变形均得到了很好的抑制。随着锚固承载层等效支护力的增大,塑性区半径呈下降趋势;随着锚固承载层等效支护力的增大,Fenner解与本文解下的巷道围岩表面位移减小,且Fenner解下的位移变化量比本文解下的大。

参考文献(References):

[1] 康红普,王金华,林健.煤矿巷道支护技术的研究与应用[J].煤炭学报,2010,35(11):1809-1814.

KANG Hongpu,WANG Jinhua,LIN Jian.Study and applications of roadway support techniques for coal mines [J].Journal of China Coal Society,2010,35(11): 1809-1814.

[2] 刘高,聂德新,韩文峰.高应力软岩巷道围岩变形破坏研究[J].岩石力学与工程学报,2000,19(6):726-730.

LIU Gao,NIE Dexin,HAN Wenfeng.Deformation and failure of surrounding rocks of roadway in high stressed soft rocks[J].Chinese Journal of Rock Mechanics and Engineering,2000,19(6) :726-730.

[3] 侯朝炯,勾攀峰.巷道锚杆支护围岩强度强化机理研究[J].岩石力学与工程学报,2000,19(3):342-345.

HOU Chaojiong,GOU Panfeng.Mechanism study on strength enhancement for the rocks surrounding roadway supported by bolt[J].Chinese Journal of Rock Mechanics and Engineering,2000,19(3):342-345.

[4] 于富才,杨宏,冉启发.锚杆支护技术的应用现状与发展前景[J].北方工业大学学报,2011,23(3):85-89.

YU Fucai,YANG Hong,RAN Qifa.Status quo of application and development prospect of bolting technology[J].Journal of North China University of Technology,2011,23(3):85-89.

[5] 李岳,戴俊,顾寅,等.大变形巷道长短锚杆支护机理及设计应用[J].中国安全生产科学技术,2012,8(5):11-15.

LI Yue,DAI Jun,GU Yin,et al.Support mechanism and parameter design applications of long and short anchor in large deformation tunnel[J].Journal of Safety Science and Technology,2012,8(5):11-15.

[6] 李树清.深部煤巷围岩控制内、外承载结构耦合稳定原理的研究[D].长沙:中南大学,2008.

LI Shuqing.Study on principal of inner-outer bearing structures coupling stabilization for strata control around deep coal drifts[D].Changsha:Central South University,2008.

[7] 袁亮,薛俊华,刘泉声,等.煤矿深部岩巷围岩控制理论与支护技术[J].煤炭学报,2011,36(4):535-543.

YUAN Liang,XUE Junhua,LIU Quansheng,et al.Surrounding rock control theory and support technique in deep rock roadway for coal mine[J].Journal of China Coal Society,2011,36(4):535-543.

[8] 蔡美峰.岩石力学与工程[M].北京: 科学出版社,2002.

CAI Meifeng.Rock mechanics and engineering[M].Beijing:Science Press,2002.

[9] 余涛,赵光明,孟祥瑞,等.大松动圈下锚固承载层支护效应的弹塑性解[J].金属矿山,2019,48(3):68-72.

YU Tao,ZHAO Guangming,MENG Xiangrui,et al.Elastic-plastic solution of supporting effect of anchorage bearing layer under large loosing zone [J].Metal Mine,2019,48(3): 68-72.

[10] 张益东.锚固复合承载体承载特性研究及在巷道锚杆支护设计中的应用[D].徐州:中国矿业大学,2013.

ZHANG Yidong.Study on bearing characteristic of composite bolt-rock bearing structure and its application in roadway bolting design[D].Xuzhou:China University of Mining and Technology,2013.

[11] 张阳.锚固承载结构体稳定性研究及影响因素分析[D].淮南:安徽理工大学,2018.

ZANG Yang.Research on stability and influencing factors of anchoring-structural body[D].Huainan:Anhui University of Science and Technology,2018.

[12] OSGOUI R R.Ground reaction curve of reinforced tunnel using a new elasto-plastic model[D].Turin:The Technical University of Turin,2006.

[13] 王东,姜聚宇,韩新平.深埋均质圆形巷道围岩渐进破裂过程解析[J].中国安全科学学报,2018,28(10):118-123.

WANG Dong,JIANG Juyu,HAN Xinping.Analysis of progressive rupture process in surrounding rock for a deep homogeneous and circular opening[J].China Safety Science Journal,2018,28(10):118-123.

[14] 谷拴成,周攀,黄荣宾,等.巷道围岩加固体力学特性与稳定性分析[J].中国安全生产科学技术,2018,14(5):116-123.

GU Shuancheng,ZHOU Pan,HUANG Rongbin,et al.Analysis on mechanical characteristics and stability for reinforcement body of surrounding rock in roadway[J].Journal of Safety Science and Technology,2018,14(5):116-123.

[15] 曾开华,鞠海燕,盛国君,等.巷道围岩弹塑性解析解及工程应用[J].煤炭学报,2011,36(5):752-755.

ZENG Kaihua,JU Haiyan,SHENG Guojun,et al.Elastic-plastic analytical solutions for surrounding rocks of tunnels and its engineering applications[J].Journal of China Coal Society,2011,36(5):752-755.

[16] 康红普,崔千里,胡滨,等.树脂锚杆锚固性能及影响因素分析[J].煤炭学报,2014,39(1):1-10.

KANG Hongpu,CUI Qianli,HU Bin,et al.Analysis on anchorage performances and affecting factors of resin bolts[J].Journal of China Coal Society,2014,39(1):1-10.

[17] 肖同强,李化敏,李海洋,等.不同锚固长度下锚杆拉拔特性研究[J].采矿与安全工程学报,2017,34(6):1075-1080.

XIAO Tongqiang,LI Huamin,LI Haiyang,et al.Pull-out properties of bolt with different anchorage length[J].Journal of Mining and Safety Engineering,2017,34(6):1075-1080.

Stability analysis of roadway surrounding rock under the action of bolt bearing layer

LI Yan, GAO Zhaoning, CHEN Dengguo, GU Wenwei

(School of Mining Engineering, Anhui University of Science and Technology, Huainan 232000, China)

Abstract:The existing method of controlling the stability of roadway surrounding rock is to apply the bolt support resistance to the roadway surface uniformly. But there are few research on the equivalent support force of the bolt bearing layer formed by the coupling of the bolt and the surrounding rock. By analyzing the surrounding rock mechanical model, the analytical expression of the equivalent supporting force of the bolt bearing layer and the analytical expression of the stress in the elastic zone and the plastic zone of the roadway surrounding rock under the action of bolt bearing layer, the radius of the plastic zone and the surface displacement of roadway surrounding rock are obtained. The analysis results shows the following three points. ① The bolt bearing layer thickness increases when the bolt length increases. The bolt bearing layer thickness decreases with the increase of the bolt row spacing when the bolt length is fixed. The bolt bearing layer equivalent support force increases when the bolt bearing layer thickness increases. ② In the plastic zone, compared with the Fenner solution that without considering the bolt bearing layer, the tangential stress of the surrounding rock increases significantly with this solution that considering the bolt bearing layer, and the peak stress position is closer to the center of the roadway. In the elastic zone, compared with the Fenner solution, the tangential stress of the surrounding rock decreases and the radial stress increases with this solution. ③ With the increase of the equivalent support force of the bolt bearing layer, the radius of the plastic zone decreases. With the increase of the equivalent support force of the bolt bearing layer, the surface displacement of the roadway surrounding rock with the Fenner solution and this solution decreases, and the displacement change with the Fenner solution is larger than that of this solution. The Flac3D software is used to numerically simulate the stress of the roadway surrounding rock under the action of the bolt bearing layer, the radius of the plastic zone and the roadway surface displacement. The numerical simulation results are basically consistent with the analysis results of the calculation example, and the stability of the roadway surrounding rock under the action of the bolt bearing layer is more reliable.

Key words:bolt bearing layer; roadway surrounding rock stability; surrounding rock stress; plastic zone radius; bolt support

中图分类号:TD322

文献标志码:A

扫码移动阅读

文章编号1671-251X(2021)04-0085-07

DOI:10.13272/j.issn.1671-251x.2020120071

收稿日期:2020-12-31;修回日期:2021-03-08;责任编辑:盛男,郑海霞。

基金项目:国家自然科学基金项目(51174255)。

作者简介:李颜(1997-),女,安徽滁州人,硕士研究生,研究方向为巷道围岩稳定性控制,E-mail:liyan120497@163.com。

引用格式:李颜,高召宁,陈登国,等.锚固承载层作用下巷道围岩稳定性分析[J].工矿自动化,2021,47(4):85-91.

LI Yan,GAO Zhaoning,CHEN Dengguo,et al.Stability analysis of roadway surrounding rock under the action of bolt bearing layer[J].Industry and Mine Automation,2021,47(4):85-91.