不同注气压力下CO2驱替置换CH4试验研究

郑学召1,2, 黄渊1,2, 文虎1,2,3, 王喜龙1,2, 王宝元1,2

(1.西安科技大学 安全科学与工程学院, 陕西 西安 710054;2.国家矿山应急救援西安研究中心, 陕西 西安 710054;3.教育部西部矿井开采及灾害防治重点实验室, 陕西 西安 710054)

摘要现有的CO2驱替置换CH4研究大多针对微观的注气驱替机理和宏观的驱替置换效率影响因素方面,且多为模型层面的理论分析或模拟试验层面的多因素分析,具有针对性的物理模拟试验及量化分析较少。针对上述问题,利用注CO2气体驱替煤层CH4试验系统,研究了不同注气压力下的驱替过程中煤体内CO2驱替CH4的渗流扩散演化规律和时变特性,分析了全过程中出气口CO2、CH4浓度、累计CH4驱替量及驱替置换比等方面的变化规律,利用物理模拟试验探究注气压力对驱替置换效率的影响规律,并进行了量化分析。试验结果表明:① 不同注气压力下的CO2、CH4气体浓度变化趋势基本一致,可划分为原始平衡阶段、动态平衡阶段和新平衡阶段3个阶段,随着注气压力依次增大,CO2、CH4气体打破原始平衡阶段的时间逐渐缩短,动态平衡阶段时间增加,而新平衡阶段的时间大致相同。② 不同注气压力下,累计CH4驱替量随着注气时间的增加而增加,增加速率先快后慢,最终趋于定值。注气压力由0.6 MPa升至1.4 MPa,累计CH4驱替量增加,驱替置换比由4.99降至4.10,即驱替置换单位量CH4所需吸附的CO2量减少,驱替置换效率提升。注气压力为1.4 MPa时驱替置换比最小,驱替效率最好。该结论可为低渗透性煤层开展CO2-ECBM相关技术理论研究及现场技术实施中注气压力参数的选取提供参考。

关键词低渗透性煤层; 注气压力; 扩散演化规律; 时变特性; 累计CH4驱替量; 驱替置换比

0 引言

我国高瓦斯矿井占比超40%,其中95%的开采煤层属于低渗透性煤层[1-2]。低渗透性煤层瓦斯含量高、透气性差、抽采效率低,开采过程中易发生瓦斯事故[3]。提高低渗透性煤层瓦斯抽采效率,减少瓦斯事故是矿井瓦斯抽采亟需解决的技术难题[4]。针对该问题,国内外学者们做了大量的研究工作,文献[5]分析研究了低渗透性煤层煤层气开采的有效技术,研究表明,煤层气开采需降低游离煤层气的压强,增大煤体的渗透性可促进煤层气开采。文献[6]研究发现,向煤层中注入CO2不仅能促进瓦斯解吸量的增加,还能保持煤储层的压力。文献[7-8]根据等温吸附实验测定CH4、CO2的吸附能力,结果表明,煤对CO2的吸附能力比CH4强。文献[9-10]分别采用GCMC方法、Langmuir方法模拟研究了混合气体驱替煤层气技术,研究表明,CO2气体的吸附量、吸附热大于CH4,CO2的吸附势能小于CH4。文献[11]利用大煤样试件进行CO2驱替CH4的模拟试验,发现驱替置换效果影响因素主要有压力、速度和煤层CH4含量。文献[12]利用自制的驱替试验系统研究发现驱替压力会影响驱替效果,并证明压力与驱替效果呈正相关。文献[13]根据自主研发的MCQ-Ⅱ型煤层瓦斯驱替装置研究发现,增加注气温度可增加单位时间内CH4的驱替量,进而增加CO2的储存量。

综上所述,学者们从微观的注气驱替机理和宏观的驱替效率影响因素方面进行了大量研究,但多为模型层面的理论分析或模拟试验层面的多因素分析,具有针对性的物理模拟试验及量化分析较少。为此,本文基于自主设计的注CO2驱替CH4试验系统,研究不同注气压力下的驱替过程中煤体内CO2驱替CH4的渗流扩散演化规律和时变特性,分析全过程中出气口CO2、CH4浓度、累计CH4驱替量及驱替置换比等方面的变化规律,利用物理模拟试验探究注气压力对驱替置换效率的影响规律,并进行量化分析。研究结果可为低渗透性煤层开展注CO2提高煤层气采出率(CO2-ECBM)相关理论研究及现场技术实施中注气压力参数的选取提供参考。

1 试验

1.1 煤样制备

试验煤样采自安徽淮南矿业集团张集矿17246工作面B6煤层(松软低渗透性难抽采煤层)。煤样工业分析结果见表1。

表1 煤样工业分析结果
Table 1 Industry analysis results of coal sample

煤样水分/%灰分/%挥发分/%固定碳/%孔隙率B6煤1.7115.5127.1655.620.075

煤样经粉碎、筛选(60目)后装入玻璃器皿,在真空干燥箱45 ℃温度下干燥处理6 h后制备,按质量等分成5组并密封保存。煤样制备过程如图1所示。

图1 煤样制备过程
Fig.1 Coal sample preparation process

1.2 试验系统

注CO2驱替置换CH4试验系统分为4个模块,如图2所示。

试验系统中煤样储罐罐体为不锈钢材质,外部尺寸为φ75 mm×260 mm,壁厚为8 mm,最大可承压为20 MPa, 最大容量为960 mL;ZDC8-Z型数据采集仪用于分析混合气体组分浓度。

1—CH4气瓶(体积分数为99.9%); 2—CO2气瓶(体积分数为
99.9%); 3,6,10—压力表; 4,5,11,12,15—阀门;
7—恒温控制箱; 8—减压阀(0~3 MPa); 9—煤样储罐;
13—流量计(0~160 mL/min); 14—ZDC8-Z型数据采集仪;
16—真空度表; 17—真空泵。

图2 注CO2驱替置换CH4试验系统
Fig.2 Injection of CO2 replacement for CH4 test system

1.3 试验原理

煤层是由裂隙网络和煤基质构成的双重介质体[14]。高压CO2气体注入煤层后,CO2与裂隙网络、煤基质孔隙中的游离态CH4混合,形成自由混合态气体。持续注气,裂隙孔隙中CH4吸附区域CO2达到一定量时,CO2与裂隙孔隙中吸附态CH4形成吸附态混合气体,CO2凭借其较强的吸附性,与煤体吸附态CH4竞争吸附位[15],在渗透、扩散与吸附-解吸的综合作用下,将煤层中吸附态CH4置换、驱赶出来[16-17]。具体过程如图3所示。

图3 煤层气体组分驱替置换原理
Fig.3 Principle of coal seam gas component replacement

1.4 试验方案

试验通过控制注入气体的压力,分析注气压力对CO2气体驱替置换煤体中CH4过程的影响。试验中的注气压力P分别设为0.6,0.8,1.0,1.2,1.4 MPa,环境温度设为5 ℃。

本次试验前,用同种煤样(张集矿B6煤)做了煤样对CO2、CH4的等温吸附试验,其中试验温度依据张集矿实际情况和CO2基本性质分别设置为5,10,15,20,25,30 ℃,经过对比分析发现,煤体对CH4、CO2气体的吸附曲线与Langmuir单分子层吸附模型一致,且温度越高,吸附CO2、CH4的含量越少。为更好地探究注气压力对CO2驱替置换煤体CH4过程的影响,试验方案环境温度选取试验设置的最低温度,为5℃(煤体吸附CO2、CH4的含量高)。

1.5 试验步骤

(1) 型煤的制备及处理。将试验煤样加入少量水后置于吸附煤样储罐内,用高平冲击仪施加10 MPa的压力,压制成型煤。为防止煤体水分对吸附解吸产生影响,将煤样置于真空干燥箱中,在45 ℃下干燥处理72 h。

(2) 检查系统气密性。向系统中注入氮气,在6 MPa压力下保持2 h并观察压力表的变化情况,若压力表读数在保压阶段无明显变化,则表明系统气密性符合试验要求。

(3) 试验过程。① 调节恒温控制系统,设定试验温度。② 对煤样储罐和管路进行真空处理,压力表数值稳定且保持6 h后关闭阀门。③ 向吸附罐内注入高纯CH4,当出气口CH4体积分数达到100%时,认为吸附平衡,关闭进气阀门。④ 向吸附罐内注入高纯CO2,驱替过程开始,当出气口CO2体积分数达到100%时,认为新的吸附平衡出现,关闭CO2进气阀门。⑤ 注气结束,关闭CO2进气阀门后对系统进行抽真空处理,重复以上步骤,完成设计方案中的试验。

2 试验分析

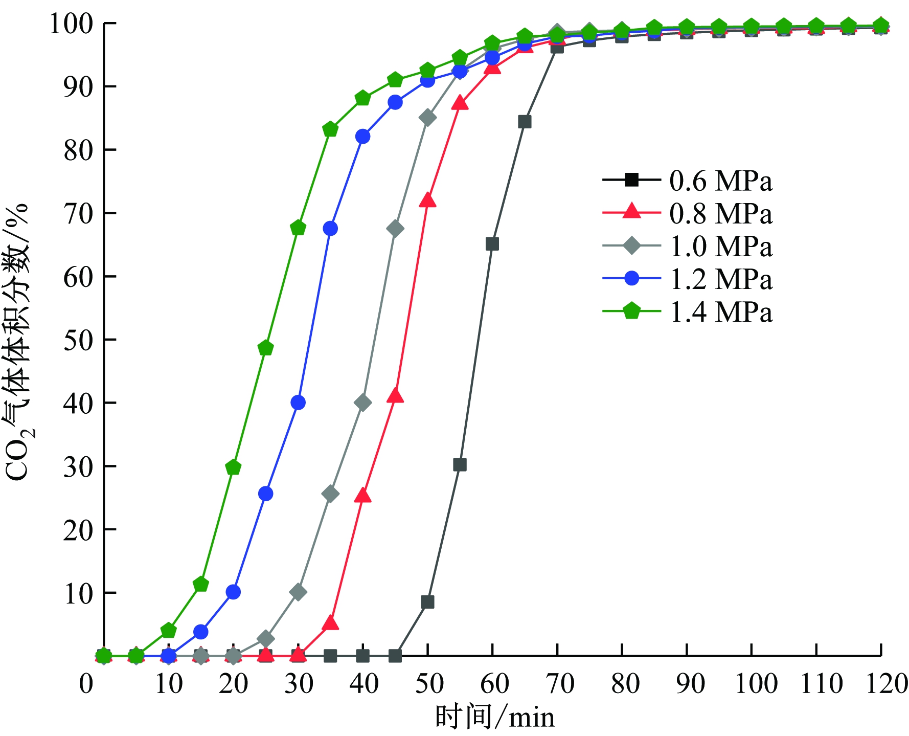
驱替环境为5 ℃时,各注气压力下,吸附罐内CH4、CO2气体体积分数变化如图4所示。

图4 不同压力下CH4和CO2气体体积分数变化曲线
Fig.4 Change curves of CH4 and CO2 gas volume
fraction at different pressures

由图4可知,各注气压力下的CH4、CO2气体体积分数变化趋势基本相同,从整个过程看,可分为3个阶段(以注气压力为1.0 MPa为例)。第Ⅰ阶段(原始平衡阶段):CO2气体体积分数为0,CH4气体体积分数为100%,向饱和吸附CH4的煤体中注入CO2,CO2在压力梯度作用下经“渗流-扩散-吸附”的运移演化进程比较缓慢,打破原始平衡状态需要一定的时间,此时CO2临近突破。第Ⅱ阶段(动态平衡阶段):持续注气,CO2气体从煤体裂隙一直渗流、扩散到煤基质孔隙中,CO2突破,CO2浓度开始增加,CH4浓度开始减小,出现“此消彼长”的动态变化关系。这是因为煤体内CO2气体凭借其较强的吸附性占据CH4的吸附位,置换出吸附在煤体孔隙内表面的CH4,使其转变为游离态的CH4[18]。在浓度梯度作用下,CH4从煤体孔隙、煤体裂隙渗流、扩散至煤体的表面,最终从煤体表面流出。第Ⅲ阶段(新平衡阶段):持续注气,CO2气体体积分数增加至100%,CH4气体体积分数减小至0,新的平衡状态出现,CH4不再发生解吸。

不同压力下CH4和CO2气体体积分数对比如图5所示。结合图4与图5(b)可知,注气压力由0.6 MPa升至1.4 MPa时,CO2的突破时间逐渐缩短,即打破原始平衡阶段的时间缩短,分别为38,29,20,9,5 min,因此可得出:注气压力越高,CO2的突破时间越短,煤体内CO2、CH4气体能更快地从原始平衡阶段进入动态平衡阶段。

(a) CH4气体体积分数变化曲线

(b) CO2气体体积分数变化曲线

图5 不同压力下CH4和CO2气体体积分数对比
Fig.5 Comparison of CH4 and CO2 gas volume
fraction at different pressures

在各个CO2压注的参考压力下,煤体渗透率[19]可用Darcy定律计算:

(1)

式中:k为煤体渗透率,cm2Q为压注流体的流量,cm3/s;p2为试验系统出气口的压力,MPa;μ为压注流体的黏度,Pa·s; L为试样的平均长度,cm;A为试样的横截面积,cm2p1为试验系统注气口的压力,MPa。

由式(1)可得,试验过程中,提高注气压力的同时,注气、抽采两端的压力差升高,导致煤体的渗透率增大,进而加快了CO2、CH4从煤体裂隙中渗流、扩散的速度,因此,注气压力升高,CO2的突破时间变短。

各注气压力条件下的累计CH4驱替量变化如图6所示。试验过程中,累计CH4驱替量VCH4的计算公式如下[20]

(2)

式中:VCH4为任意时间内累计CH4驱替量,mL;q为出气口出气流量,mL/min;φtt时刻出气口的CH4体积分数,%;t为时间,min。

图6 不同压力下累计CH4驱替量
Fig.6 Accumulated CH4 replacement volume at
different pressures

由图6可知:

(1) 随着注气时间增加,累计CH4驱替量增加,且增加速度随时间增加而减小。这里主要是因为向饱和吸附CH4的煤体注入CO2气体,CO2会扩散渗流到煤体孔隙内表面,将煤体孔隙内表面的吸附态CH4解吸置换出来,因此,在注气初期,随着注气时间的增加,累计CH4驱替量增加速率较快。持续注气,CO2先驱赶煤颗粒空隙、煤体裂隙中的游离态CH4,再渗流、扩散到煤基质孔隙内表面,与其中吸附态CH4竞争吸附位,最终CO2置换出吸附态CH4。相比于驱替煤体空隙、裂隙网络游离态CH4,置换煤体吸附态CH4的过程较缓慢,需更多的时间,所以,随着注气时间的推移,CH4产气速率逐渐减小,累计CH4驱替量增加的速度也逐渐降低。

(2) 累计CH4驱替量随CO2注气压力的增大而增大。主要是因为CO2注气压力越大,压力梯度越大,CO2越容易从煤体空隙、裂隙一直渗流、扩散到煤基质孔隙中,置换出煤体孔隙内表面的吸附态CH4。提高注入气体的压力,注气口、出气口的压力差也随之增大,吸附态CH4的有效分压降低,开始解吸逐步转化为游离态。提高注气压力,会促进更多的CH4解吸转化为游离态,累计CH4驱替量因此而增加。

为表明试验过程中CO2与CH4之间的关系,引入驱替置换比表示驱替置换过程中CO2吸附量与CH4排出量的比值。驱替置换比的计算公式为

(3)

式中:K为驱替置换比;Q1为煤体中CO2吸附量,mL;Q2为煤体中CH4排出量,mL。

依据式(3),分别计算环境温度为5 ℃时各注气压力下的驱替置换比,结果见表2。本次试验前已对煤样对CO2的等温吸附解析进行试验, CO2吸附量Q1的计算公式为Q1=abP/(1+bPm,经数据拟合得到煤样吸附CO2常数a=62.2 m3/t, b=1.94 MPa-1,煤样质量m为775.5 g。

表2 驱替置换比
Table 2 Replacement ratio

P/MPaa/(m3·t-1)b/MPa-1Q1/mLQ2/mLK0.662.21.942.595×1045.2×103 4.990.862.21.942.928×1046.8×103 4.311.062.21.943.178×1047.5×103 4.241.262.21.943.369×1048.0×103 4.211.462.21.943.526×1048.6×103 4.10

由表2可知,环境温度一定时,注气压力由0.6 MPa升至1.4 MPa,累计CH4驱替量(Q2)增加,驱替置换比由4.99降至4.10,即驱替置换单位量CH4所需吸附的CO2量减少,单位量CO2驱替置换的CH4量增加,驱替置换效率提升。由此可见,在同等条件下,提高注入气体CO2的压力,累计CH4驱替量增加,驱替效果显著;驱替置换比降低,驱替置换效率提升。

3 结论

(1) CO2、CH4浓度变化可分为原始平衡阶段、动态平衡阶段和新平衡阶段3个阶段。不同注气压力下原始平衡、动态平衡和新平衡3个阶段变化趋势大致相同。随着注气压力依次增大,CO2、CH4气体打破原始平衡阶段的时间逐渐缩短,动态平衡阶段时间增加,而新平衡阶段的时间大致相同。

(2) 不同注气压力下,累计CH4驱替量随着注气时间的增加而增加,增加速率先快后慢,最终趋于定值。注气压力由0.6 MPa升至1.4 MPa时,累计CH4驱替量增加,驱替置换比由4.99降至4.10,驱替置换效率提升。

(3) 根据不同注气压力下煤体CO2、CH4渗流扩散规律和时效特性,再综合不同注气压力下累计CH4驱替量,得出在5 ℃条件下,注气压力为1.4 MPa时驱替置换比最小,驱替效率最好。在开展CO2-ECBM相关工作时,在相关技术设施允许条件下,注气压力参数宜选取最大值。

参考文献(References):

[1] 张建国.深部高瓦斯低渗透性煤层协同开采关键技术研究[J].煤炭科学技术,2020,48(9):66-74.

ZHANG Jianguo. Study on key technologies of collaborative mining in deep coal seam with high gas and low permeability[J].Coal Science and Technology,2020,48(9):66-74.

[2] 文虎,李珍宝,王振平,等.煤层注液态CO2压裂增透过程及裂隙扩展特征试验[J].煤炭学报,2016,41(11):2793-2799.

WEN Hu, LI Zhenbao, WANG Zhenping, et al.Experiment on the liquid CO2 fracturing process for increasing permeability and the characteristics of crack propagation in coal seam[J].Journal of China Coal Society,2016,41(11):2793-2799.

[3] LIANG Yuan. Theory and practice of integrated coal production and gas extraction[J].International Journal of Coal Science and Technology,2015,2(1):3-11.

[4] 张东明,白鑫,尹光志,等.低渗煤层液态CO2相变定向射孔致裂增透技术及应用[J].煤炭学报, 2018,43(7):1938-1950.

ZHANG Dongming, BAI Xin, YIN Guangzhi, et al, Research and application on technology of increased permeability by liquid CO2 phase change directional jet fracturing in low-permeability coal seam[J].Journal of China Coal Society,2018,43(7):1938-1950.

[5] 赵阳升,杨栋,胡耀青,等.低渗透煤储层煤层气开采有效技术途径的研究[J].煤炭学报,2001,26(5):455-458.

ZHAO Yangsheng, YANG Dong, HU Yaoqing, et al. Study on the effective technology way for mining methane in low permeability coal seam[J].Journal of China Coal Society,2001,26(5):455-458.

[6] VERMA A K, SIRVAIYA A. Comparative analysis of intelligent models for prediction of Langmuir constants for CO2 adsorption of Gondwana coals in India[J].Geomechanics and Geophysics for Geo-Energy and Geo-Resources, 2016,2(2):97-109.

[7] 马东民,李来新,李小平,等.大佛寺井田4号煤CH4与CO2吸附解吸实验比较[J].煤炭学报, 2014,39(9):1938-1944.

MA Dongmin, LI Laixin, LI Xiaoping, et al. Contrastive experiment of adsorption-desorption between CH4 and CO2 in coal seam 4 of Dafosi Coal Mine[J].Journal of China Coal Society,2014,39(9):1938-1944.

[8] 唐书恒,汤达祯,杨起.二元气体等温吸附-解吸中气分的变化规律[J].中国矿业大学学报,2004,33(4):448-452.

TANG Shuheng, TANG Dazhen, YANG Qi. Variation regularity of gas component concentration in binary-component gas adsorption-desorption isotherm experiments[J].Journal of China University of Mining & Technology,2004,33(4):448-452.

[9] 李树刚,白杨,林海飞,等.CH4,CO2和N2多组分气体在煤分子中吸附热力学特性的分子模拟[J].煤炭学报,2018,43(9):2476-2483.

LI Shugang, BAI Yang, LIN Haifei, et al. Molecular simulation of adsorption thermodynamics of multicomponent gas in coal[J].Journal of China Coal Society,2018,43(9):2476-2483.

[10] 方志明,李小春,李洪,等.混合气体驱替煤层气技术的可行性研究[J].岩土力学,2010,31(10):3223-3229.

FANG Zhiming, LI Xiaochun, LI Hong, et al. Feasibility study of gas mixture enhanced coalbed methane recovery technology[J].Rock and Soil Mechanics, 2010,31(10):3223-3229.

[11] 梁卫国,吴迪,赵阳升.CO2驱替煤层CH4试验研究[J].岩石力学与工程学报,2010,29(4):665-673.

LIANG Weiguo, WU Di, ZHAO Yangsheng. Experimental study of coalbeds methane replacement by carbon dioxide[J].Chinese Journal of Rock Mechanics and Engineering,2010,29(4):665-673.

[12] 马砺,邢园园,魏高明.注二氧化碳驱替煤中甲烷实验研究[J].煤矿安全,2018,49(12):5-8.

MA Li, XING Yuanyuan, WEI Gaoming. Experimental study of coalbed methane replacement by injecting carbon dioxid[J].Safety in Coal Mines,2018,49(12):5-8.

[13] 黎力,梁卫国,李治刚,等.注热CO2驱替增产煤层气试验研究[J].煤炭学报,2017,42(8):2044-2050.

LI Li, LIANG Weiguo, LI Zhigang, et al. Experimental investigation on enhancing coalbed methane recovery by injecting high temperature CO2[J].Journal of China Coal Society,2017,42(8): 2044-2050.

[14] 文虎,樊世星,马砺,等.低渗透性煤层井下低压液态CO2促抽瓦斯工程实践[J].西安科技大学学报, 2018,38(4):530-537.

WEN Hu, FAN Shixing, MA Li, et al. Practice of low pressure liquid CO2 pumping gas in low permeability coal seam[J].Journal of Xi'an University of Science and Technology,2018,38(4):530-537.

[15] 马砺,李珍宝,邓军,等.常压下煤对N2、CO2、CH4单组分气体吸附特性研究[J].安全与环境学报, 2015,15(2):64-67.

MA Li, LI Zhenbao, DENG Jun, et al. On the characteristic features of the adsorption capacity of the coal for the singular component gases of CH4,CO2, N2 under regular pressures[J].Journal of Safety and Environment, 2015,15(2):64-67.

[16] 李珍宝.液态CO2低温致裂及相变驱替促抽煤层CH4机制研究[D].西安:西安科技大学,2017.

LI Zhenbao. Study on mechanism of CH4 induced by low temperature cracking and phase change flooding of liquid CO2[D].Xi'an:Xi'an University of Science and Technology,2017.

[17] ZHENG Xuezhao, WANG Xilong, GUO Jun, et al. Experimental study on CH4 displacement from coal seam fractured by liquid CO2[J]. International Journal of Heat and Technology,2019,37(1):212-218.

[18] 魏高明.液态CO2溶浸煤体孔裂隙损伤特性与置换驱替CH4机制研究[D].西安:西安科技大学, 2018.

WEI Gaoming. Research on damaged effect of coal pore-fracture and extracted methane mechanism by liquid CO2 infiltrated[D].Xi'an:Xi'an University of Science and Technology,2018.

[19] 孙可明,吴迪,粟爱国,等.超临界CO2作用下煤体渗透性与孔隙压力-有效体积应力-温度耦合规律试验研究[J].岩石力学与工程学报,2013,32(增刊2):3760-3767.

SUN Keming, WU Di, SU Aiguo,et al.Coupling experimential study of coal permeability with pore pressure-effective volume stress-temperature under supercritical carbon dioxide action[J]. Chinese Journal of Rock Mechanics and Engineering, 2013,32(S2):3760-3767.

[20] 周福宝,孙玉宁,李海鉴,等.煤层瓦斯抽采钻孔密封理论模型与工程技术研究[J].中国矿业大学学报, 2016,45(3):433-439.

ZHOU Fubao, SUN Yuning, LI Haijian,et al. Research on the theoretical model and engineering technology of the coal seam gas drainage hole sealing[J].Journal of China University of Mining & Technology, 2016,45(3):433-439.

Experimental study of CO2 replacement for CH4 at different gas injection pressures

ZHENG Xuezhao1,2, HUANG Yuan1,2, WEN Hu1,2,3, WANG Xilong1,2, WANG Baoyuan1,2

(1.College of Safety Science and Engineering, Xi'an University of Science and Technology, Xi'an 710054, China; 2.Xi'an Research Center of National Mine Rescue, Xi'an 710054, China;3.Key Laboratory of Western Exploitation and Hazard Prevention,Ministry of Education, Xi'an 710054, China)

AbstractMost of the existing studies on CO2 replacement for CH4 are focused on microscopic gas injection replacement mechanism and macroscopic replacement efficiency influencing factors, and most of the studies are theoretical analysis at the model level or multiple factor analysis at the simulation test level. There are few physical simulation experiments and quantitative analysis. In order to solve the above problems, by using CO2 replacement for CH4 experiment system, this paper studies the seepage diffusion evolution law and time-varying characteristics of CO2 replacement for CH4 in coal during the replacement process at different injection pressures. This paper analyzes the change law of CO2 and CH4 concentrations at the gas outlet, the accumulated CH4 replacement volume and the replacement ratio during the whole process. Physical simulation experiments are used to investigate the influence of gas injection pressure on the replacement efficiency and make the quantitative analysis. The experiments results show that: ① The CO2 and CH4 gas concentration change trends at different injection pressures are basically the same, which can be divided into three stages, including the original equilibrium stage, the dynamic equilibrium stage and the new equilibrium stage. As the gas injection pressure increases, the time of CO2 and CH4 gas breaking the original equilibrium stage is gradually shortened, the time of the dynamic equilibrium stage increases, and the time of the new equilibrium stage is about the same. ② At different injection pressures, the accumulated CH4 replacement volume increases with the increase of gas injection time, and the increase rate is fast at first and then slow, and becoming a fixed value at last. The gas injection pressure increases from 0.6 MPa to 1.4 MPa, the accumulated CH4 replacement volume increases, the replacement ratio decreases from 4.99 to 4.10, and the replacement efficiency increases. When the gas injection pressure is 1.4 MPa, the replacement ratio is the smallest and the replacement efficiency is the best. This conclusion can provide a reference for the theoretical study of CO2-ECBM related technologies and the selection of related process parameters for technical implementation in low permeability coal seams.

Key words:low permeability coal seam; gas injection pressure; diffusion evolution law; time-varying characteristics; accumulated CH4 replacement volume; replacement ratio

中图分类号:TD712

文献标志码:A

扫码移动阅读

文章编号1671-251X(2021)04-0073-06

DOI:10.13272/j.issn.1671-251x.17697

收稿日期:2020-12-01;修回日期:2021-02-25;责任编辑:张强。

基金项目:国家自然科学基金面上项目(51974240)。

作者简介:郑学召(1977-),男,新疆焉耆人,教授,博士,研究方向为应急技术与管理、矿山防灭火技术, E-mail:zhengxuezhao@ xust.edu.cn。

引用格式:郑学召,黄渊,文虎,等.不同注气压力下CO2驱替置换CH4试验研究[J].工矿自动化,2021,47(4):73-78.

ZHENG Xuezhao,HUANG Yuan,WEN Hu,et al.Experimental study of CO2 replacement for CH4 at different gas injection pressures[J].Industry and Mine Automation,2021,47(4):73-78.