经验交流
磁耦合无线电能传输(Magnetic Coupling Wireless Power Transfer,MC-WPT)系统基于电磁场耦合原理,结合高频变换及谐振补偿等技术打破了传统电能传输的局限性,脱离了导线对用电设备的限制,可应用在新能源汽车无接触快速充电[1-4]及智能手机无线充电[5-6]等领域。由于MC-WPT系统避免了金属导片易产生火灾的隐患,对于煤矿井下含有易燃易爆气体的工作环境,MC-WPT系统可提高工作安全性[7-9]。
MC-WPT系统自然振荡频率与预设谐振频率一致可使系统频率稳定,保证系统工作在期望状态。然而系统自然振荡频率易受电路参数影响,出现频率分叉现象,即出现多个自然振荡频率均能使系统原边电路呈纯阻性,偏离预设的谐振频率,极大地影响系统传输功率和效率。文献[10]针对非对称MC-WPT系统频率分叉现象造成输出功率下降的问题,提出一种跟踪系统分叉频率并对副边电路进行阻抗匹配的方法,但采用电容阵列进行匹配,系统较为复杂。文献[11]通过分析串并式MC-WPT系统的等效电路模型,总结系统失谐的原因,设计了以电压换向点的电流采样平均值作为输入电压频率调节依据的频率跟踪策略,但没有具体探讨频率稳定的参数范围。文献[12]对MC-WPT系统频率分叉域的频率变化规律进行了研究,得到了频率分叉域内系统谐振频率有可能保持为最佳谐振频率点不变的结论。文献[13]针对MC-WPT系统过耦合干扰因素下频率分裂引起的传输功率下降问题,采用自适应频率跟踪控制算法,增强了系统的传输稳定性,但未对频率稳定性的本质进行探讨。文献[14]提出了一种基于互感模型的等效电路模型来研究频率分叉现象,讨论了耦合系数变化对频率稳定性的影响,并推导了频率分叉边界的表达式。
在上述研究基础上,本文建立了MC-WPT系统的等效电路模型,推导出使系统保持频率稳定性的负载电阻及传输距离范围,进一步得出了系统频率稳定性不受传输距离影响的负载电阻范围。通过仿真和实验对理论分析进行了验证。
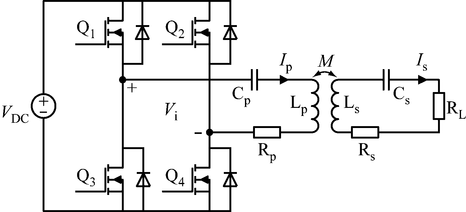
MC-WPT系统按照原副边补偿电容与电感的相对位置(S代表电容和电感串联,P代表电容和电感并联),可分为SS,SP,PS,PP型4种基本拓扑结构,其中前两者属于电压型系统,后两者属于电流型系统。本文以SS型MC-WPT系统为例进行分析,其等效电路如图1所示。Cp,Cs分别为原副边补偿电容;Lp,Ls分别为原副边线圈电感;Ip,Is分别为原副边线圈电流;Rp,Rs分别为原副边线圈内阻;M为原副边线圈之间的耦合互感;RL为负载电阻;开关管Q1—Q4组成全桥逆变电路;VDC为系统输入直流电压源;Vi为谐振补偿网络输入电压。
图1 SS型MC-WPT系统等效电路
Fig.1 Equivalent circuit of SS type MC-WPT system
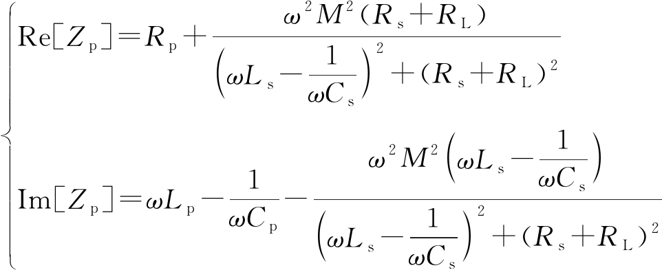
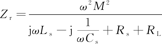
根据基尔霍夫电压定律,可得系统副边反射至原边的等效反射阻抗Zr和原边阻抗Zp:
(1)
(2)
式中ω为角频率。
当线圈电感与补偿电容满足式(3)时,系统原副边电路呈纯阻性,发生谐振现象,此时线圈电感与补偿电容不消耗能量。
(3)
式中ω0为谐振角频率。
MC-WPT系统全桥逆变电路的开关管常采用零电流软开关模式,以降低系统开关损耗,保证系统原边电路的电压、电流始终同相位,提升系统传输性能。当全桥逆变电路工作在软开关模式时,谐振补偿网络输入电压有效值|Vi|与输入直流电压源VDC的关系式为[15]
![]()
(4)
系统发生谐振时,副边线圈电流为
(5)
进一步得到谐振时系统的输入功率Pi和输出功率Po:
(6)
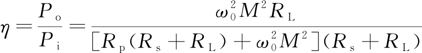
则系统谐振时传输效率为
(7)
MC-WPT系统传输品质易受系统工作频率影响,当系统全桥逆变电路的开关管采用零电流软开关模式时,系统工作频率为自然振荡频率(其值等于软开关频率),而自然振荡频率由系统电路参数决定,易发生改变。为保证系统传输品质,应保持系统的频率稳定性,使系统自然振荡频率与预设谐振频率保持一致。MC-WPT系统参数中,线圈电感与补偿电容为固定参数,互感的变化是由于原副边线圈相对位置的改变,且实际应用中系统需要接不同阻值的负载,所以互感与负载电阻是影响系统频率稳定性的主要因素。
频率稳定性的本质为使原边阻抗呈纯阻性的自然振荡频率有唯一值且等于预设谐振频率。将式(1)代入式(2),转换成标准复数形式,可得原边阻抗Zp的实部、虚部表达式:

(8)
由于互感的测量方式较为复杂,为直观地看出原副边线圈之间的传输距离对频率稳定性的影响,可通过式(9)将互感转换为关于传输距离的表达式。
(9)
式中:μ0为真空磁导率;r为线圈半径;n为线圈绕制匝数;D为原副边线圈间传输距离。
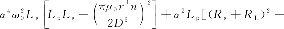
令α=ω/ω0(当α=1时表示系统自然振荡频率与谐振频率一致),将其与式(3)、式(9)代入式(8),可得令原边阻抗虚部为0的表达式:
(10)
由频率稳定性本质可知,保持系统频率稳定性的条件为ω≡ω0,即式(10)有且仅有唯一实数根α=1。由于α>0,式(10)中已存在令方程为0的根α=1,若要保证无其他实数根,只需讨论式(11)中α非实数根的情况即可。
(11)
由于式(11)为四阶方程,为便于分析,令x=α2,将式(11)转换为一元二次方程:
(12)
通过式(12)的根判别式Δ讨论式(11)中α非实数根的情况:① Δ<0,x不为实数根,则α不为实数根;② Δ=0,x是唯一实数根,若x<0,则α不为实数根;③ Δ>0,x为2个不同的实数根,若2个实数根均为负数,则α不为实数根。
通过对式(12)在上述3种α不为实数根情况下的推导,可得使系统保持频率稳定性的负载电阻范围:
(13)
进一步得到使系统保持频率稳定性的原副边线圈间传输距离范围:
(14)
原副边线圈间耦合系数k满足0<k<1,且k=M/(LpLs)2,根据式(14)可知,当
时,一定满足1>(πμ0r4n)2/(4D6LpLs),由此可得系统频率稳定性不受传输距离影响下的负载电阻范围:
(15)
当负载电阻满足式(15)时,系统始终保持频率恒定,且自然振荡频率不受传输距离影响,从而可提高系统的灵活性及鲁棒性。
利用Matlab/Simulink软件搭建SS型MC-WPT系统仿真模型。为便于分析,令原副边电路参数相同,仿真参数见表1。
表1 仿真参数
Table 1 Simulation parameters
参数值谐振频率/kHz81.378线圈电感/μH153补偿电容/μF0.025线圈内阻/Ω1线圈半径/cm5线圈匝数8
在Matlab中根据式(10)绘制系统原边阻抗虚部为0的三维等值面,如图2所示。可看出随着传输距离D及负载电阻RL的变化,除了α=1以外,还出现了1个或2个不为1的α均能使系统原边阻抗虚部为0;当RL≥109.6 Ω(根据式(15)计算的理论临界值)时,令原边阻抗虚部为0的α恒为1,不受传输距离的影响。
图2 原边阻抗虚部为0的三维等值面
Fig.2 3D isosurface when imaginary part of original impedance equals to zero
系统传输距离D固定(D=1.07 cm)时,自然振荡频率f随负载电阻RL变化曲线如图3中虚线所示。可看出当RL>53 Ω(根据式(13)计算的理论临界值)时,系统自然振荡频率趋近预设谐振频率81.378 kHz;当RL<53 Ω时,系统自然振荡频率衰减加剧,在RL=20 Ω时发生频率分叉现象,自然振荡频率出现跃变。系统负载电阻RL固定(RL=60 Ω)时,自然振荡频率随传输距离D变化曲线如图3中实线所示。可看出当D>0.96 cm(根据式(14)计算的理论临界值)时,系统自然振荡频率趋近预设谐振频率81.378 kHz;当D<0.96 cm时,系统自然振荡频率的衰减趋势随着传输距离的减小而加剧。
图3 传输距离或负载电阻变化情况下自然振荡频率变化曲线
Fig.3 Variation curves of natural oscillation frequency when transfer distance or load resistance changes
传输距离和负载电阻均变化情况下自然振荡频率变化曲线如图4所示。可看出随着负载电阻及传输距离增大,系统自然振荡频率逐步趋近于预设谐振频率81.318 kHz;当负载电阻大于理论临界值109.6 Ω时,系统自然振荡频率受传输距离影响较小。
图4 传输距离和负载电阻均变化情况下自然振荡频率变化曲线
Fig.4 Variation curves of natural oscillation frequency when transfer distance and load resistance both change
系统输出功率与传输效率随传输距离和负载电阻变化的曲线分别如图5和图6所示。从图5可看出,随着负载电阻增大,最大输出功率点前移,即可在传输距离较小处取得最大输出功率;随着传输距离增大,输出功率呈先增后降趋势,传输距离对输出功率的影响较明显。从图6可看出,负载电阻及传输距离的增大均会在一定程度上降低系统传输效率。
图5 输出功率随传输距离和负载电阻变化曲线
Fig.5 Curves of output power varying with transfer distance and load resistance
图6 传输效率随传输距离和负载电阻变化曲线
Fig.6 Curves of transfer efficiency varying with transfer distance and load resistance
搭建SS型MC-WPT系统实验平台,如图7所示。直流电源提供稳定直流电压,通过原边电路逆变为高频交流电;原边线圈将能量传输至副边电路,副边线圈拾取能量后传递给电子负载;控制器实现PWM波输出及电流过零信号判断。原边全桥逆变电路开关管均采用IPP320N20N3G,控制器采用STM32F103C8T6。参数设置:原副边谐振频率为81.378 kHz,Lp=153.2 μH,Ls=152.9 μH,Rp=1.2 Ω,Rs=0.8 Ω,Cp=Cs=0.025 μF,r=5 cm,n=8,VDC=12 V。
图7 实验平台
Fig.7 Experimental platform
不同传输距离及负载电阻情况下,谐振补偿网络输入电压Vi及原边线圈电流Ip波形如图8所示。
图8 实验波形
Fig.8 Experimental waveforms
从图8(a)和图8(b)可看出,相同负载电阻条件下,当D=1.2 cm(大于根据式(14)计算的理论临界值1.08 cm)时,系统有较好的输出波形,自然振荡频率接近谐振频率81.378 kHz;当D=1 cm(小于理论临界值1.08 cm)时,系统线圈电流波形发生畸变,自然振荡频率降低至69.533 kHz。从图8(c)和图8(d)可看出,当RL=120 Ω(大于根据式(15)计算的理论临界值109.6 Ω)时,D由1.2 cm变化至1 cm情况下,系统自然振荡频率未发生较大改变,接近谐振频率81.378 kHz。
(1) 通过分析SS型MC-WPT系统模型,推导出使系统保持频率稳定性的负载电阻和传输距离范围,进一步得出了系统频率稳定性不受传输距离影响的负载电阻范围,在该范围内系统始终保持频率恒定,自然振荡频率不受传输距离影响。
(2) 负载电阻及传输距离的增大均会在一定程度上降低系统输出功率及传输效率,因此在使系统保持频率稳定性的前提下,应考虑输出功率及传输效率的要求,选择合适的负载电阻和传输距离,防止系统输出功率及传输效率过低。
[1] 吴理豪,张波.电动汽车静态无线充电技术研究综述(下篇)[J].电工技术学报,2020,35(8):1662-1678.
WU Lihao,ZHANG Bo.Overview of static wireless charging technology for electric vehicles:part Ⅱ[J].Transactions of China Electrotechnical Society,2020,35(8):1662-1678.
[2] AHMAD A,ALAM M S,CHABAAN R.A comprehensive review of wireless charging technologies for electric vehicles[J].IEEE Transactions on Transportation Electrification,2018,4(1):38-63.
[3] LI Weihan,ZHAO Han,LI Siqi,et al.Integrated LCC compensation topology for wireless charger in electric and plug-in electric vehicles[J].IEEE Transactions on Industrial Electronics,2015,62(7):4215-4225.
[4] KAN T,NGUYEN T D,WJITE J C,et al.A new integration method for an electric vehicle wireless charging system using LCC compensation topology: analysis and design[J].IEEE Transactions on Power Electronics,2017,32(2):1638-1650.
[5] 夏能弘,朱益民,程志远.基于垂直中继线圈结构的L形无线充电装置设计与优化[J].电工技术学报,2019,34(13):2671-2678.
XIA Nenghong,ZHU Yimin,CHENG Zhiyuan.Design and optimization of an L-shaped wireless charging device based on vertical repeater structure[J].Transactions of China Electrotechnical Society,2019,34(13):2671-2678.
[6] NGUYEN T D,LI Siqi,LI Weihan,et al.Feasibility study on bipolar pads for efficient wireless power chargers[C]//IEEE Applied Power Electronics Conference and Exposition,Fort Worth,2014:1676-1682.
[7] 刘晓文,王习,陈迪,等.煤矿井下磁耦合谐振WPT系统优化设计[J].煤炭学报,2016,41(11):2889-2896.
LIU Xiaowen,WANG Xi,CHEN Di,et al.Optimal design of magnetically coupled resonant WPT system in coal mine[J].Journal of China Coal Society,2016,41(11):2889-2896.
[8] 丁恩杰,孙志峰,张国圆.井下谐振耦合无线电能传输系统的鲁棒性研究[J].工矿自动化,2014,40(12):46-48.
DING Enjie,SUN Zhifeng,ZHANG Guoyuan.Research of robustness of underground resonant coupling wireless power transmission system[J].Industry and Mine Automation,2014,40(12):46-48.
[9] 张新超,吴银成,黄绍锦.矿用便携式气体检测仪无线充电装置设计[J].工矿自动化,2015,41(5):109-112.
ZHANG Xinchao,WU Yincheng,HUANG Shaojin.Design of wireless charging device for mine-used portable gas detector[J].Industry and Mine Automation,2015,41(5):109-112.
[10] 邢凯鹏,赖晓阳,金楠,等.过耦合无线电能传输系统的最大功率输出控制[J].电力电子技术,2019,53(1):46-48.
XING Kaipeng,LAI Xiaoyang,JIN Nan,et al.Maximum power output control for overcoupled wireless power transfer system[J].Power Electronics,2019,53(1):46-48.
[11] 高磊琦,游林儒,文小琴,等.磁耦合谐振式无线电能传输系统中的频率跟踪技术[J].科学技术与工程,2019,19(8):120-126.
GAO Leiqi,YOU Linru,WEN Xiaoqin,et al.Frequency tracking technology of magnetic coupling resonant wireless power transfer system[J].Science Technology and Engineering,2019,19(8):120-126.
[12] 赵志斌.基于NLP建模的ICPT系统参数优化[D].重庆:重庆大学,2012.
ZHAO Zhibin.Parameter optimization of ICPT systems based on NLP modeling[D].Chongqing:Chongqing University,2012.
[13] 杨建.干扰因素下无线电能传输频率控制算法研究[J].电源学报,2020,18(1):168-175.
YANG Jian.Research on frequency control algorithm for wireless power transmission under interference factors[J].Journal of Power Supply,2020,18(1):168-175.
[14] ZHANG Lu,SUN Yue,WANG Zhihui,et al.Analysis of bifurcation phenomena of voltage-fed inductively coupled power transfer system varying with coupling coefficient[J].Information Technology Journal,2013,12(6):1176-1183.
[15] LI H L,HU A P,COVIC G,et al.Optimal coupling condition of IPT system for achieving maximum power transfer[J].Electronics Letters,2009,45(1):76-77.