不同温度与探测频率下的煤电性参数变化规律研究

郑学召1,2, 徐承宇1,2, 王宝元1,2, 杨伟3, 陈益能3, 张铎1,2

(1.西安科技大学 安全科学与工程学院, 陕西 西安 710054;2.国家矿山救援西安研究中心, 陕西 西安 710054;3.四川芙蓉集团实业有限责任公司 救护消防大队, 四川 宜宾 644002)

摘要现有针对煤电性参数影响因素的研究大多为在固定频率或低频率、高温条件下进行的,缺少对超宽带频率和常温条件下煤电性参数影响因素的研究,这对煤电性参数的影响因素研究有一定局限性。针对该问题,为了研究煤电性参数对不同条件下超宽带雷达波井下探测频段选择的影响,利用Concept-80超宽带介电谱测试系统,在0~80 ℃温度和500~1 000 MHz探测频率下测试不同变质程度煤(褐煤、长焰煤和贫瘦煤)的相对介电常数、电导率和损耗角正切值的大小并分析其变化规律。分析结果表明:煤的相对介电常数随着煤变质程度增大而增大,煤的电导率和损耗角正切值随着煤变质程度增大而减小;不同变质程度煤样的相对介电常数均随测试频率的增加而先减小、后增大、再减小,相对介电常数与温度呈正相关关系;电导率与测试频率和温度均呈正相关关系;损耗角正切值与温度呈正相关关系,但测试频率不能很好地反映损耗角正切值的变化。根据3种电性参数在不同温度与探测频率下的变化规律,综合对比3种电性参数对超宽带雷达波在煤中传输的影响,得出在0~80 ℃条件下使用500~1 000 MHz超宽带雷达波穿透煤体进行探测时选择550~650 MHz频率为最佳,且探测频率的选择应随着温度升高而降低。该结论可为在不同条件下超宽带雷达波井下探测频段的选择提供参考。

关键词煤变质程度; 电性参数; 相对介电常数; 电导率; 超宽带雷达波; 探测频率

0 引言

近年来我国煤矿安全事故时有发生[1],事故发生后易造成区域煤体坍塌冒落,导致巷道堵塞,传统的人员信息探测技术难以获取井下被困人员生命信息,因此,亟需一种可以穿透煤体的探测技术。中心频率大于500 MHz的雷达波称为超宽带雷达波,是一门新兴无线通信技术[2]。因为超宽带雷达波在煤体中传输具有一定穿透性[3]、精确性和抗干扰性[4-6],所以,可使用超宽带雷达波快速准确地穿透煤体获取井下信息[7],但是超宽带雷达波在煤体中传输受到煤自身电性参数(相对介电常数、电导率和损耗角正切值)的影响[8],而探测频率和环境温度又会对电性参数造成影响。通过研究相对介电常数、电导率和损耗角正切值3种电性参数在不同温度与测试频率下煤的变化规律来进一步探究超宽带雷达波在煤中的传输特性,对在不同情况下超宽带雷达波井下探测频段的选择有一定指导意义。

目前已有众多学者对煤电性参数的影响因素展开了研究。李芳等[9]研究发现不同煤样的相对介电常数随着温度升高而增高。S. O. Nelson等[10]对煤粉介电常数与测试频率的关系进行了研究,煤粉介电常数随频率的增加而降低。S. Marland等[11]研究发现煤的介电常数随着煤变质程度的升高而降低。徐龙君等[12]探讨了2.45 GHz和9.35 GHz频率下突出区域和非突出区域煤的交流电导率,结果表明频率越高,煤样电导率越大。徐宏武[13]在1 MHz和160 MHz测试频率下分析了不同变质程度、湿度、各向异性以及煤岩组分对煤层电性参数的影响,得出了电阻率和介电常数是表征煤性质的重要物理参数。Liu Haiyu等[14]对温度在850~1 600 ℃和测试频率在2~18 GHz范围内煤焦结构的差异性进行了分析,结果表明煤的相对介电常数和介电损耗与煤的变质程度有关。综上可知,现有针对煤电性参数影响因素的研究大多为在固定频率或低频率和高温条件下进行的,缺少对超宽带频率和常温条件下煤电性参数影响因素的研究,这对煤电性参数的影响因素研究有一定局限性。为此,通过实验,基于0~80 °C温度和500~1 000 MHz探测频率,测试不同变质程度煤样(褐煤、长焰煤、贫瘦煤)的电性参数(相对介电常数、电导率、损耗角正切值),探究不同温度与测试频率下煤电性参数的变化规律,从而为在不同条件下超宽带雷达波井下探测频段的选择提供参考。

1 实验

1.1 煤样制备

实验中采用的煤样为来自不同地区的褐煤、长焰煤、贫瘦煤,其中贫瘦煤变质程度最高,褐煤变质程度最低。煤样均选取颗粒较小且未经过人工水分润湿的开采后煤样,以此来减少雷达波在传输过程中由于反射、折射等现象造成吸收衰减引起的误差。煤样在煤矿现场钻芯选取后立即密封包装运回实验室。对3种煤样进行工业分析和元素分析,结果见表1。由于超宽带介电谱测试系统在测量过程中需要对煤样进行压片处理,所以,采用JSP-24型粉末压片机(图1)在20 MPa压力下将煤粉压片成直径为12.8 mm、厚度为1 mm的圆形薄煤片(图2)。煤样密封干燥后在其上下表面均匀涂抹一层导电银胶,形成光滑镜面,以便于实验研究。表1中,Mad为空气干燥煤水分,Aad为空气干燥煤灰分,Vad为空气干燥煤挥发分,FCad为空气干燥基固定炭,Cdaf为煤中碳含量,Hdaf为煤中氢含量,Ndaf为煤中氮含量,Odaf为煤中氧含量,St,ad为空气干燥煤硫酸盐总含量。

表1 煤样工业分析和元素分析结果

Table 1 Industrial analysis and elemental analysis results of coal samples %

煤样MadAadVadFCadCdafHdafNdafOdafSt,ad褐煤9.867.2438.6944.2174.634.531.0418.250.59长焰煤7.8110.3138.3043.5879.784.690.8813.811.21贫瘦煤5.699.5815.6869.0576.895.920.7712.731.75

图1 JSP-24型粉末压片机

Fig.1 JSP-24 powder tablet press

图2 压片成型的煤样

Fig.2 Sheet molded coal sample

1.2 实验装置

实验设备采用Concept-80超宽带介电谱测试系统,如图3所示。实验频率为500~1 000 MHz,选取高频模块进行实验,升温速率设为5 ℃/min,频率变化间隔为50 MHz。

1.3 煤样测试

目前测试电性参数的主要方法包括传输反射法、数字电桥法、谐振电路法、微波法[15]和交流阻抗分析法[16]等。本次实验为了操作简便和获得更高的精度,选择交流阻抗分析法。首先使用夹具夹持好煤样,然后把煤样2层分别连接到E4991A阻抗分析仪的正负极,通过测试正负电极的电势差和流过煤样的电流随时间的变化,从而测出其交流阻抗,并由交流阻抗计算出等效电容,进而得到煤样的相对介电常数。

1-测试夹具;2-样品室;3-低温恒温器;4-绝缘传输线;5-真空传感器;6-液氮杜瓦瓶;7-液氮蒸发器;8-E4991A阻抗分析仪;9-主机;10-系统控制器;11-发电机;12-数据处理系统。

图3 Concept-80超宽带介电谱测试系统

Fig.3 Concept-80 Ultra-wideband dielectric spectrum testing system

(1)

(2)

(3)

式中:εr为煤样的相对介电常数,F/m;Cs为煤样介质电容,F;C0为煤样真空电容,F;εs为煤样的介电常数,F/m;S为圆形薄片煤样的截面积,cm2D为圆形薄片煤样的厚度,mm;ε0为煤样的真空介电常数,F/m。

根据煤样的相对介电常数εr和雷达波的角频率可以得出煤样的电导率:

σ=εrω

(4)

式中:σ为煤样的介质电导率,S/m;ω为角频率,rad/s。

根据煤样相对介电常数和介电常数的比值可以得出煤样的损耗角正切值:

tan δ=εr/εs

(5)

式中δ为介电损耗角,(°)。

2 实验结果与规律分析

2.1 煤样相对介电常数变化特性

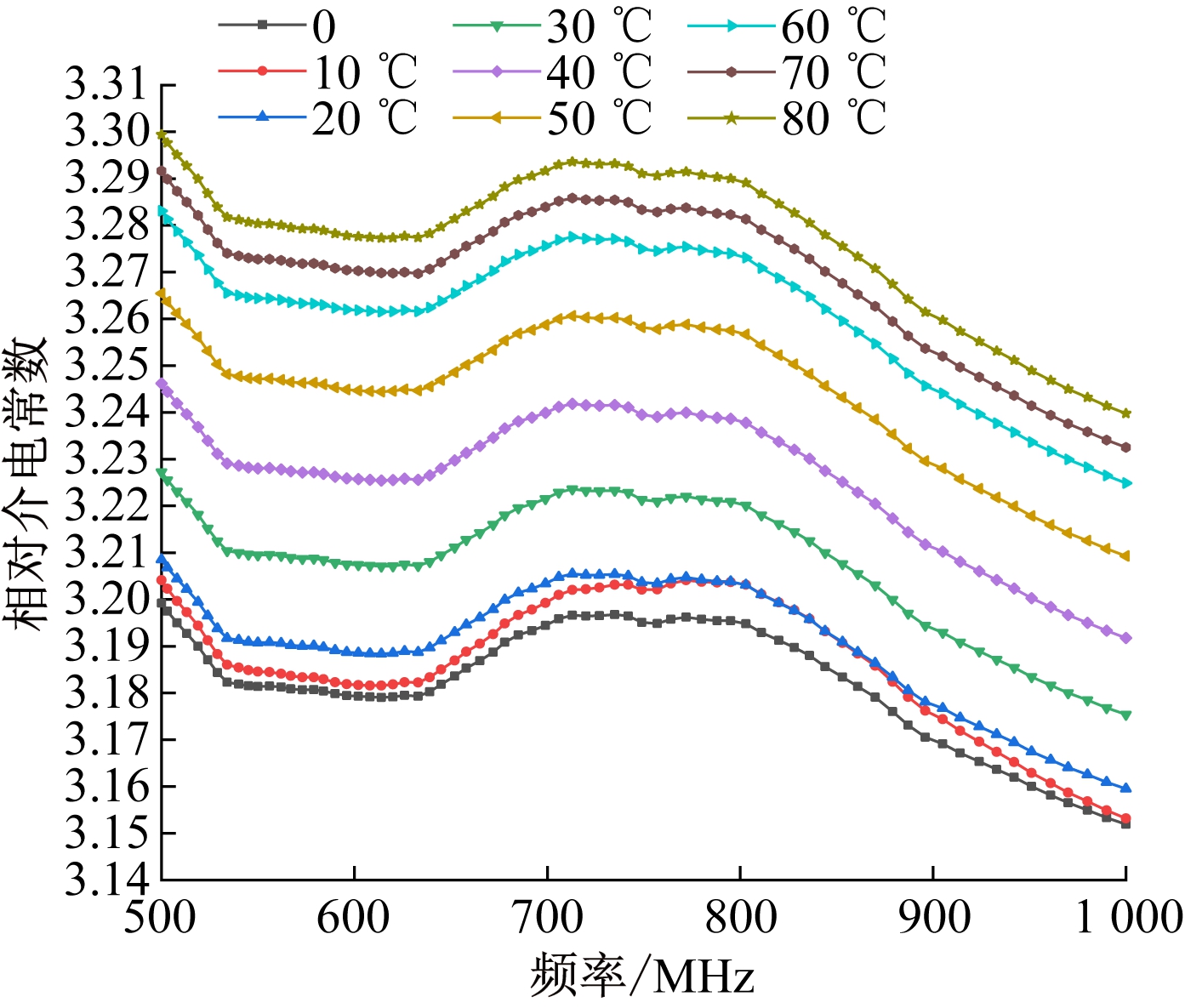
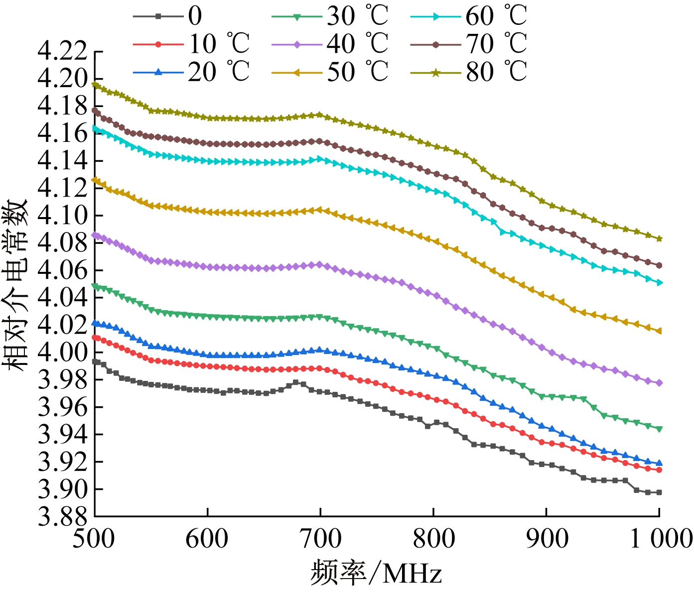
在0~80 ℃、500~1 000 MHz条件下,褐煤、长焰煤和贫瘦煤的相对介电常数测试结果如图4—图6所示。

图4 0~80 ℃、500~1 000 MHz下褐煤的相对介电常数

Fig.4 Relative permittivity of lignite at 0-80 ℃ and 500-1 000 MHz

图5 0~80 ℃、500~1 000 MHz下长焰煤的相对介电常数

Fig.5 Relative permittivity of long flame coal at 0-80 ℃ and 500-1 000 MHz

图6 0~80 ℃、500~1 000 MHz下贫瘦煤的相对介电常数

Fig.6 Relative permittivity of lean coal at 0-80 ℃ and 500-1 000 MHz

从图4可看出,褐煤的相对介电常数集中在3.92~4.20,变化程度较小,从500~1 000 MHz持续缓慢下降。从图5可看出,长焰煤的相对介电常数小于褐煤,集中在3.15~3.30,变化复杂,有局部极大值和极小值。从500 MHz开始,相对介电常数急剧下降,在530~650 MHz之间,相对介电常数缓慢下降,随着测试频率的逐渐增加,再缓慢上升,在757 MHz时出现一个短暂的下降。在757~1 000 MHz,相对介电常数迅速下降到最小值。从图6可看出,贫瘦煤的相对介电常数集中在4.56~4.78,随着测试频率的增加,总体呈下降趋势,且高频范围的下降率较高。相对介电常数在500~602 MHz缓慢下降,在602~705 MHz之间缓慢上升,在705~1 000 MHz急剧下降。

综合对比图4—图6可以得出以下结论:高变质程度煤的相对介电常数较大且随频率变化下降幅度更明显,3种煤样中长焰煤的相对介电常数最小,根据工业分析发现这是由于长焰煤的含碳量最大,导致其相对介电常数最小[17]。3种煤样的相对介电常数随着频率增加都呈现整体下降的趋势,均在550 MHz左右出现一个极小值,然后上升,在750 MHz之后都急剧下降,这是因为煤样的相对介电常数与煤样的极化有关,当电场频率较高时,极化过程需要较长时间且不随电场的变化而变化,所以相对介电常数会随电场频率的增加而急剧下降[18]。在测试频率范围内,温度越高,3种煤样的相对介电常数越大,但是不会影响其变化规律。因为煤体相对介电常数越高,对电磁波的吸收能力越强,传输衰减越大[19],探测能力越弱,所以在0~80 ℃条件下使用超宽带雷达波穿透煤体进行探测选择550~650 MHz或850~1 000 MHz频段最佳,且探测频率的选择应随着温度升高而降低。

2.2 煤样电导率变化特性

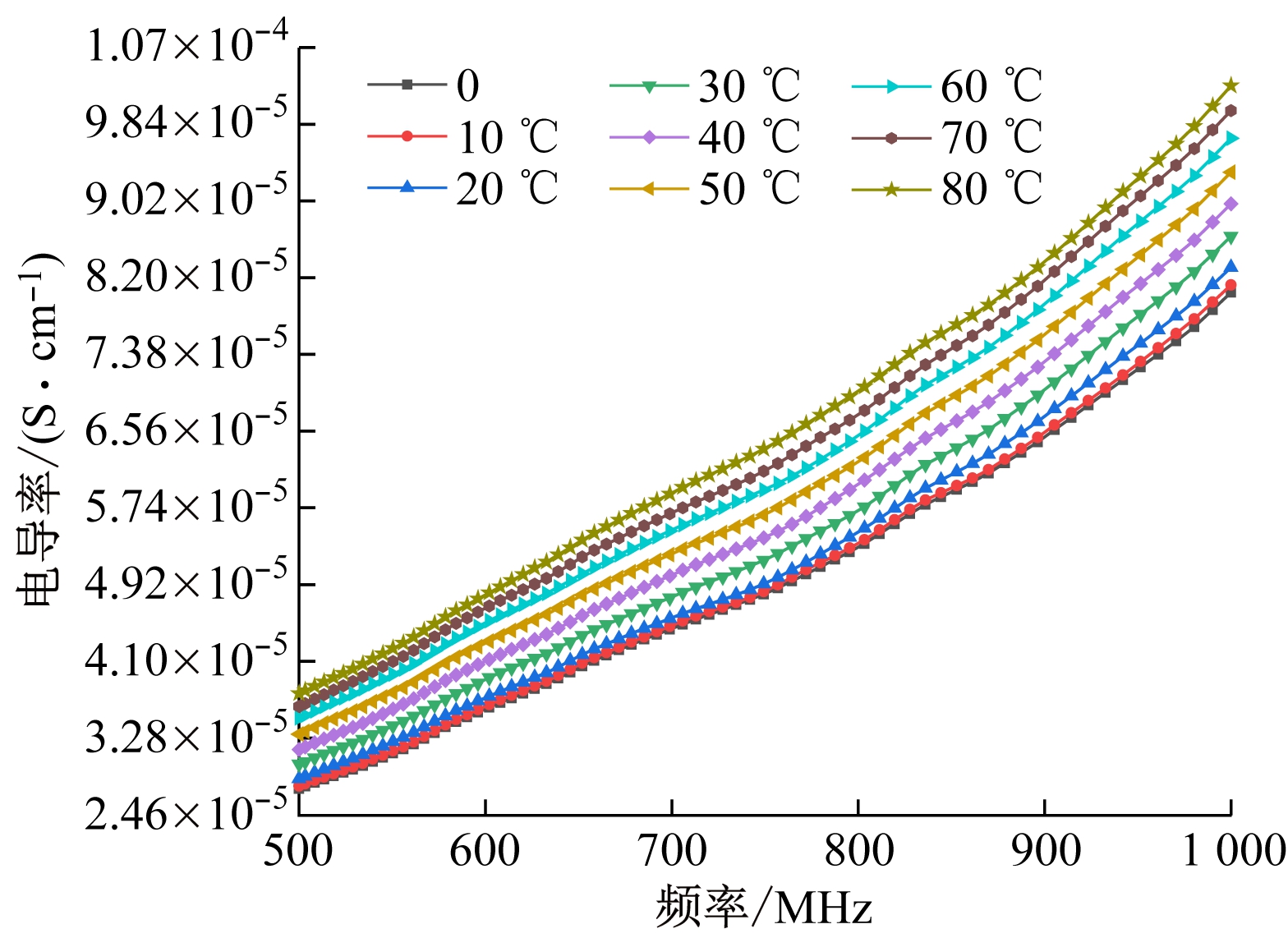
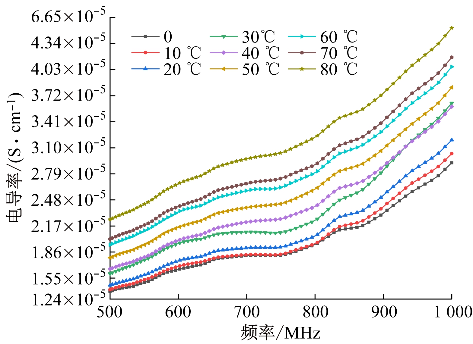
在0~80 ℃、500~1 000 MHz条件下,褐煤、长焰煤和贫瘦煤的电导率测试结果如图7—图9所示。

图7 0~80 ℃、500~1 000 MHz下褐煤的电导率

Fig.7 Electrical conductivity of lignite at 0-80 ℃ and 500-1 000 MHz

图8 0~80 ℃、500~1 000 MHz下长焰煤的电导率

Fig.8 Electrical conductivity of long flame coal at 0-80 ℃ and 500-1 000 MHz

图9 0~80 ℃、500~1 000 MHz下贫瘦煤的电导率

Fig.9 Electrical conductivity of lean coal at 0-80 ℃ and 500-1 000 MHz

从图7可看出,褐煤的电导率为2.79×10-5~1.03×10-4,随着频率增加而增大,增大幅度为8×10-5,并随着温度升高而增大。从图8可看出,长焰煤的电导率为1.32×10-5~4.5×10-5,且随着频率增加而缓慢增大,增长幅度为3.1×10-5,同样随着温度升高而增大。从图9可看出,在80 ℃以下,贫瘦煤的电导率大部分小于0,属于无效值,所以,在此仅对80 ℃时贫瘦煤的电导率进行分析,并以此作为其整体电导率的变化趋势,其电导率为1.09×10-6~4.7×10-6,变化趋势为先减小后增大,增大幅度为1.1×10-6

综合对比图7—图9并对3种煤样的传输衰减与电导率关系进行比较发现,高变质程度煤的电导率和电导率增加幅度均小于低变质程度煤,说明了雷达波在穿透高变质程度煤时所造成的衰减更小,那是因为高变质程度煤结构较致密,孔隙较小,电导率低,对雷达波的吸收能力较弱。3种煤样的电导率在不同的测试频率和温度下均呈现逐渐增大的趋势,且温度只影响电导率大小,不影响变化趋势,说明了不同变质程度煤的电导率与测试频率和温度均呈正相关,即测试频率和温度越高,煤样的电导率越大。因为煤体电导率越大,对电磁波的吸收能力越强,传输衰减越大[22],探测能力越弱。所以在0~80 ℃条件下使用500~1 000 MHz的超宽带雷达波穿透煤体进行探测时应选择较低频率,且探测频率的选择应随着温度升高而降低。

2.3 煤样损耗角正切值变化特性

在0~80 ℃、500~1 000 MHz条件下,褐煤、长焰煤和贫瘦煤的损耗角正切值变化情况如图10—图12所示。

图10 0~80 ℃、500~1 000 MHz下褐煤的损耗角正切值

Fig.10 Loss angle tangent values of lignite at 0-80 ℃ and 500-1 000 MHz

图11 0~80 ℃、500~1 000 MHz下长焰煤的损耗角正切值

Fig.11 Loss angle tangent values of long flame coal at 0-80 ℃ and 500-1 000 MHz

图12 0~80 ℃、500~1 000 MHz下贫瘦煤损耗角正切值

Fig.12 Loss angle tangent values of lean coal at 0-80 ℃ and 500-1 000 MHz

从图10可看出,褐煤的损耗角正切值为2.11×10-2~3.96×10-2,随着测试频率的增大而持续增大,增长幅度为1.85×10-2,并且随着温度升高而增大。从图11可看出,长焰煤的损耗角正切值为1.2×10-2~1.99×10-2,随着温度升高而增大,在测试频率为500~775 MHz时呈下降趋势,在775~1 000 MHz时呈上升趋势,在下降和上升过程中呈阶梯趋势,同时出现多个极值点。从图12可看出,在80 ℃以下时,贫瘦煤的损耗角正切值有很大一部分小于0,属于无效值,故以在80℃情况下的分析结果代替整体分析结果,其损耗角正切值为5.03×10-4~3.96×10-3,随着温度升高而增大,且测试频率在500~850 MHz时整体呈现下降趋势,在850~1 000 MHz时,整体呈现上升趋势,其间呈阶梯趋势,并出现多个极值点。

通过对比分析图10—图12可得,变质程度越高的煤损耗角正切值越小。对比3种煤样损耗角正切值变化规律发现,3种煤样的损耗角正切值均和温度呈正相关,其中长焰煤和贫瘦煤的损耗角正切值随着频率增大呈现先减小、后增大的趋势,褐煤的损耗角正切值则随着频率增大呈现始终增大的趋势,这种现象说明了不同变质程度煤的损耗角正切值与温度均呈正相关,而测试频率不能很好地反映煤样损耗角正切值的变化。因此,损耗角正切值不能作为超宽带雷达波井下探测频段选择的指标。

3 结论

(1) 煤的相对介电常数随着煤变质程度增大而增大,煤的电导率随着煤变质程度增大而减小,煤的损耗角正切值随着煤变质程度增大而减小。

(2) 不同变质程度煤样的相对介电常数均随测试频率的增加而先减小,然后增大,再减小;与温度呈正相关关系。电导率与测试频率和温度均呈正相关关系。损耗角正切值与温度呈正相关关系,但测试频率不能很好地反映损耗角正切值的变化。

(3) 根据3种煤电性参数在不同温度与探测频率下的变化规律,再综合对比3种煤电性参数对超宽带雷达波在煤中传输的影响,得出0~80 ℃条件下使用500~1 000 MHz超宽带雷达波穿透煤体进行探测时选择550~650 MHz频率最佳,且探测频率的选择应随着温度升高而降低。

参考文献(References):

[1] 郑学召,赵炬,张铎,等.不同变质程度煤介电常数特性[J].西安科技大学学报,2019,39(3):469-474.

ZHENG Xuezhao,ZHAO Ju,ZHANG Duo,et al.Study on dielectric constant characteristics of different metamorphic coals[J].Journal of Xi'an University of Science and Technology,2019,39(3):469-474.

[2] 窦学丽,牛永刚,殷鹏,等.煤矿井下超宽带信号路径损耗测量与分析[J].工矿自动化,2020,46(10):99-103.

DOU Xueli,NIU Yonggang,YIN Peng,et al.Measurement and analysis of underground ultra wide band signal path loss[J].Industry and Mine Automation,2020,46(10):99-103.

[3] 文虎,张铎,郑学召.矿山钻孔救援生命探测技术研究进展及趋势[J].煤矿安全,2017,48(9):85-88.

WEN Hu,ZHANG Duo,ZHENG Xuezhao.Research progress and trend of life detection technology of drilling and rescue in mine[J].Safety in Coal Mines,2017,48(9):85-88.

[4] GRENEKER G.Very low cost stand-off suicide bomber detection system using human gait analysis to screen potential bomb carrying individuals[C]//The International Society for Optical Engineering of SPIE-Proceeding,Orlando,2005,5788:45-56.

[5] CHALEB A,VIGNAUD L,NICOLAS J M.Micro-doppler analysis of pedestrians in ISAR imaging[C]//IEEE Radar Conference,Rome,2008:1-5.

[6] SMITH G E,WOODBRIDGE K,BAKER C J.Micro-doppler signature classification[C]//IEEE International Conference on Radar.Shanghai,2006.

[7] XU Huang,LI Ying,ZHENG Jianguo,et al.Ultra-wideband chaos life-detection radar with sinusoidal wave modulation[J].International Journal of Bifurcation & Chaos,2017,27(13):1730046.

[8] 文虎,张铎,郑学召,等.基于FDTD的电磁波在煤中传播特性[J].煤炭学报,2017,42(11):2959-2967.

WEN Hu,ZHANG Duo,ZHENG Xuezhao,et al.Propagation characteristics of electromagnetic wave based on FDTD in coal[J].Journal of China Coal Society,2017,42(11):2959-2967.

[9] 李芳,牛会永,李石林,等.煤介电常数影响因素研究现状及分析[J].煤矿安全,2017,48(12):218-220.

LI Fang,NIU Huiyong,LI Shilin,et al.Research status and analysis of influencing factors of coal dielectric constant[J].Safety in Coal Mines,2017,48(12):218-220.

[10] NELSON S O,FANSLOW G E,BLUHM D D.Frequency dependence of the dielectric properties of coal[J].Journal of Microwave Power,2016,15(4):277-282.

[11] MARLAND S,MERCHANT A,ROWSON N.Dielectric properties of coal[J].Fuel,2001,80(13):1839-1849.

[12] 徐龙君,刘成伦,鲜学福.频率对突出区煤导电性的影响[J].矿业安全与环保,2000,27(6):25-26.

XU Longjun,LIU Chenglun,XIAN Xuefu.Effect of frequency on conductivity of coal in protrudingarea[J].Mining Safety and Environmental Protection,2000,27(6):25-26.

[13] 徐宏武.煤层电性参数测试及其与煤岩特性关系的研究[J].煤炭科学技术,2005,33(3):42-46.

XU Hongwu.Measurement and test of seam electric parameter and study on relationship between seam electric parameter and coal petrology characteristics[J].Coal Science and Technology,2005,33(3):42-46.

[14] LIU Haiyu,XU Liang,JIN Yan,et al.Effect of coal rank on structure and dielectric properties of chars[J].Fuel,2015,153(1):249-256.

[15] 蔡川川,张明旭,闵凡飞,等.高硫炼焦煤介电性质研究[J].煤炭学报,2013,38(9):1656-1661.

CAI Chuanchuan,ZHANG Mingxu,MIN Fanfei,et al.Study on the dielectric properties of coking coal with high sulfur content[J].Journal of China Coal Society,2013,38(9):1656-1661.

[16] SIROMA Z,SATO T,TAKEUCHI T,et al.AC impedance analysis of ionic and electronic conductivities in electrode mixture layers for an all-solid-state lithium-ion battery[J].Journal of Power Sources,2016,316:215-223.

[17] 孟磊.煤电性参数的实验研究[D].焦作:河南理工大学,2010.

MENG Lei.Experimental study on the electrical parameters of coal[D].Jiaozuo:Henan Polytechnic University,2010.

[18] 李万全.变压器绝缘纸板干燥过程微水分检测机理与试验研究[D].大连:大连理工大学,2006.

LI Wanquan.Moisture detection mechanism and experimental study of transformer insulated paperboard during drying [D].Dalian:Dalian University of Technology,2006.

[19] 张铎.超宽带雷达波在煤中传播规律与定位基础研究[D].西安:西安科技大学,2018.

ZHANG Duo.Fundamental research on propagation law of ultra-wideband radar wave in coal and localization[D].Xi'an:Xi'an University of Science and Technology,2018.

Research on the variation law of coal electrical parameters under different temperatures and detection frequencies

ZHENG Xuezhao1,2, XU Chengyu1,2, WANG Baoyuan1,2, YANG Wei3,CHEN Yineng3, ZHANG Duo1,2

(1.College of Safety Science and Engineering, Xi'an University of Science and Technology, Xi'an 710054, China; 2.Xi'an Research Center of National Mine Rescue, Xi'an 710054, China;3.Rescue and Fire Brigade, Sichuan Furong Group Industry Co., Ltd., Yibin 644002, China)

Abstract:Most of the existing research on the influencing factors of coal electrical parameters are carried out under fixed frequency or low frequency and high temperature conditions. There is a lack of research on the influencing factors of coal electrical parameters under ultra-wideband frequency and normal temperature conditions. Therefore, there are certain limitations in the research on the influencing factors of coal electrical parameters. To address this problem, in order to study the influence of coal electrical parameters on the selection of ultra-wideband radar wave mine detection frequency band under different conditions, the Concept-80 ultra-wideband dielectric spectrum test system is applied. The system is set to detect the relative permittivity, electrical conductivity and loss angle tangent values of coals with different metamorphic degrees (lignite, long-flame coal and lean coal) at 0-80 ℃ and 500-1 000 MHz detection frequency and analyze their variation laws. The analysis results show that the relative permittivity of coal increases with the increase of coal metamorphic degrees, and the electrical conductivity and loss angle tangent values of coals decrease with the increase of coal metamorphic degrees. The relative permittivity of coal samples with different metamorphic degrees decreases, then increases and decreases again with the increase of detection frequency, and the relative permittivity is positively correlated with temperature. The electrical conductivity is positively correlated with both detection frequency and temperature. The loss angle tangent value is positively correlated with temperature. However, the detection frequency does not reflect the variation of loss angle tangent value well. Based on the variation law of three electrical parameters at different temperatures and detection frequencies, and the comprehensive comparison of influence of three electrical parameters on the transmission of ultra-wideband radar waves in coal, it is pointed out that the frequency of 550-650 MHz performs best when using 500-1 000 MHz ultra-wideband radar waves to penetrate the coal body for detection at 0-80 ℃, and the detection frequency should decrease as the temperature increases. The conclusion of this study can provide a reference for the selection of ultra-wideband radar wave mine detection frequency band under different conditions.

Key words:coal metamorphic degrees; electrical parameters; relative permittivity; electrical conductivity; ultra-wideband radar wave; detection frequency

中图分类号:TD76

文献标志码:A

文章编号1671-251X(2021)03-0027-07

DOI:10.13272/j.issn.1671-251x.17689

收稿日期:2020-11-30;修回日期:2021-02-05;

责任编辑:张强。

基金项目:国家重点研发计划重点专项项目(2018YFC0808201);国家自然科学基金项目(51904234);陕西省自然科学基础研究计划项目(2018JQ5080);陕西省教育厅专项科学研究计划项目(17JK0495)。

作者简介:郑学召(1977-),男,新疆焉耆人,教授,博士,研究方向为应急技术与管理、矿山防灭火技术,E-mail:zhengxuezhao@ xust.edu.cn。

引用格式:郑学召,徐承宇,王宝元,等.不同温度与探测频率下的煤电性参数变化规律研究[J].工矿自动化,2021,47(3):27-33.ZHENG Xuezhao,XU Chengyu,WANG Baoyuan,et al.Research on the variation law of coal electrical parameters under different temperatures and detection frequencies[J].Industry and Mine Automation,2021,47(3):27-33.