煤岩膨胀破裂应变及声发射特征实验研究

李杰, 邱黎明, 殷山, 刘洋, 童永军

(北京科技大学 土木与资源工程学院, 北京 100083)

摘要针对目标对煤岩膨胀破裂过程中的声发射特征研究较少的问题,开展了煤岩膨胀破裂实验,分析了煤岩膨胀破裂全过程应变与声发射信号的变化规律。结果表明:① 煤岩膨胀破裂过程可划分为微破裂阶段(Ⅰ)、宏观裂纹生成及扩展阶段(Ⅱ)和劈裂阶段(Ⅲ)。② 煤、岩试样膨胀过程应变演化具有一致性,均呈现“缓变→加速→极值”变化趋势,但两者各阶段声发射信号差异较大。③ 煤样在第Ⅰ、Ⅱ阶段声发射振铃计数较为丰富,在临近第Ⅲ阶段累计振铃计数呈指数型递增;而砂岩在第Ⅰ、Ⅱ阶段声发射振铃计数较少,在临近第Ⅲ阶段累计振铃计数表现出 “突增→平静”趋势。④ 煤岩膨胀破裂过程均存在变形局部化现象,应变变异系数的突变和声发射峰值频率段增多现象可作为煤岩胀裂失稳破坏的前兆特征。研究结果可为煤岩致裂等工程的监测预警提供依据。

关键词煤岩膨胀破裂; 声发射; 煤岩表面形变; 应变; 异变系数

0 引言

在煤炭开采过程中,普遍存在张拉破坏现象。抗拉强度是煤岩材料的重要力学参数之一,煤岩的抗拉强度远小于抗压强度,当煤岩整体或者局部受到拉应力作用时,往往更容易发生失稳破坏。目前对煤岩材料拉升破坏特征的研究多集中在直接拉伸和劈裂条件下,而在低透气性煤层增透、坚硬顶板预裂切顶和复杂环境隧道的掘进开挖等工程中,煤岩的破坏往往都与膨胀拉应力有关[1-3]。因此,研究煤岩膨胀破裂的变形破坏特征及其监测预警,对于保证工程安全具有重要意义[4]

煤岩材料受载破坏过程伴随着微裂纹的萌生、扩展、贯通,同时会引起煤岩表面的形变[5-6]。大量研究表明,应变是煤岩失稳破坏的重要指标。范金洋等[7]建立了岩石变形失稳应变梯度理论模型,对岩爆等现象的应变局部化进行了解释。马少鹏等[8]分析了受载煤岩表面应变场的演化规律,认为煤岩内部微裂纹的演化与应变场统计指标具有一定的联系。赵程等[9]研究了预制裂纹试样的变形损坏演化特征,并探讨了岩石细观破坏及宏观力学性质的联系。

煤岩在受载过程中,除引起煤岩表面形变外,还伴随着能量的释放[10],其中一部分能量以弹性波的形式释放出来,即声发射现象。针对煤岩失稳破坏过程中的声发射现象,国内学者取得了大量研究成果。文献[11-13]研究了煤岩单轴压缩破坏过程中的声发射信号,认为其能反映煤岩内部的变形和损伤程度,建立了基于声发射特性的单轴压缩煤岩损伤模型。文献[14-15]研究了岩石在单轴作用下应力-应变全过程的声发射特征,得出声发射可用来表征岩石的微观损伤演化。文献[16]研究发现煤岩破坏前期声发射存在相对平静期现象,认为声发射平静期可以作为煤岩失稳破坏的前兆信息。文献[17]研究了不同加载条件下岩石破坏过程中声发射的演变规律,发现不同加载条件下声发射演化特征具有较大区别。文献[18]通过研究三轴压缩状态下岩石的声发射演变规律,发现声发射特征参数的突变可作为岩石破裂的前兆。以上研究结果表明,声发射信号与煤岩的受力状态密切相关,且不同的加载方式下声发射信号有着显著差异[19-21]

目前对声发射的研究多集中在煤岩单轴、剪切、劈裂等破坏模式,对煤岩膨胀破裂过程中的声发射特征研究较少。鉴此,本文开展煤岩膨胀破裂实验,测试煤岩膨胀破裂过程中的变形及声发射演变规律,分析煤岩膨胀破裂表面形变与声发射信号的对应关系,以揭示煤岩膨胀破裂的前兆特征。研究结果对进一步揭示煤岩膨胀破裂的变形破坏特征及静爆致裂过程具有参考意义。

1 煤岩膨胀破裂实验系统与方案

1.1 实验系统

煤岩膨胀破裂实验系统主要包括声发射采集系统、应变采集系统及数据分析系统,如图1 所示。声发射采集系统由8 通道声发射采集仪、声发射探头和声发射放大器组成。声发射采集仪最高采样频率为10 MHz,输入信号电压范围为-10~10 V,能够同步记录所有通道全波形数据,外接20 dB放大器。应变采集系统由YSV动态信号采集仪、应变放大器等组成。其中,YSV动态信号采集仪采用24 位数据采集芯片,最高采样频率为51.2 kHz,可实现16 通道同步采集。本次实验采样频率设置为2 kHz。

1-试样;2-声发射探头;3-应变放大器;
4-YSV动态信号采集仪;5-应变数据分析系统;
6-声发射放大器;7-声发射采集仪; 8-声发射数据分析系统。
图1 煤岩膨胀破裂实验系统
Fig.1 Coal and rock expansion and fracture experiment system

1.2 试样制备及膨胀致裂原理

实验所用试样为大块原煤和砂岩,将其加工成尺寸为200 mm×120 mm×150mm(长×宽×高)的长方体。在试样中部钻1个直径为30 mm、深100 mm的中心孔,用以充填无声破碎剂。在中心孔两侧设置2 个直径为10 mm、深120 mm的引导孔,用以控制裂纹的发展方向。试样如图2所示。

图2 煤岩试样
Fig.2 Coal or rock sample

无声破碎剂是一种粉状高效能安全破碎材料,适用于在不宜采用炸药爆破的场合进行破碎或拆除作业。考虑实验环境温度约为0~10 ℃,选用适用温度为-5~15 ℃的HSCA-III型无声破碎剂。该试剂与水混合后体积快速增长,进而对有限空间的边界产生膨胀压,使中心孔附近弹性区域内均受到径向压应力σr和切向拉应力σθ。径向压应力会促使原始裂隙闭合,切向拉应力会促使新裂纹产生与发展。当膨胀压远大于抗拉强度时,中心孔就会产生裂纹,在引导孔的作用下按照预设方向扩展。试样受力及裂纹扩展如图3所示。

图3 试样受力及裂纹扩展
Fig.3 Sample stress and fraction propagation

1.3 应变片布置及实验方案

由于中心孔附近主要受径向压应力及切向拉应力,本文主要以观察试样表面受拉情况为主,故在中心孔四周布置了如图4所示的3—6号应变片,1号、2号应变片用于观察侧面的受拉情况。

图4 声发射探头及应变片布置
Fig.4 Layout of acoustic emission probe and strain gauge

实验共采用2组试样。实验前用砂纸对试样表面进行打磨处理,保证表面平整度小于0.01 mm。将声发射探头和应变片粘贴到预定位置,然后调试声发射采集仪,并提前预热0.5 h。待声发射采集仪预热完成后,将无声破碎剂与水按质量比3∶1调制成浆液,并迅速倒入中心孔中,开始采集数据。膨胀剂水化反应时间约为20~60 min,实验开始后每隔30 min观察试样及膨胀剂状态,待试样膨胀破裂后,停止数据采集并保存实验数据,实验结束。

2 实验结果及分析

2.1 煤岩膨胀变形破裂形态

将无声破碎剂注入中心孔后约2~3 h,试样发生破坏。试样破坏后的裂纹形态主要分为纵向裂纹和横向裂纹2类,如图5所示。由图5可知,煤样和砂岩中均出现纵向裂纹,这是由于无声破碎剂对试样施以径向膨胀力,在引导孔的作用下,试样发生纵向破坏。与砂岩不同,煤样表面还存在横向裂纹,且裂纹走向并不规则,这是由于煤样具有丰富且薄弱的层理结构,受到轴向拉应力时其材料具有不均匀性。因此,对于具有层理结构的煤岩,在布设中心孔及引导孔时需考虑层理结构对裂纹走向的影响。

图5 煤岩试样膨胀破裂后形态
Fig.5 Morphology of coal and rock samples after expansion and fracture

2.2 煤岩膨胀破裂应变演化规律

实验所采用的应变片是一种电阻式敏感元件,当试样发生变形时,应变片随试样一起变形。这时应变片中的电阻丝会出现机械变形,导致其电阻发生变化,从而反映结构的变形情况。

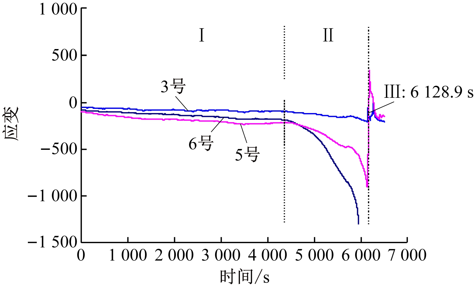
煤岩膨胀破裂过程各测点的应变-时间曲线如图6、图7所示,图中应变值的正负代表应变片长度的变化,正值表示应变片变短(受压),负值则表示应变片变长(受拉)。根据应变变化特征,将煤岩膨胀破裂过程分为微破裂阶段(Ⅰ)、宏观裂纹生成及扩展阶段(Ⅱ)、劈裂阶段(Ⅲ)。

(1) 微破裂阶段。煤样的0~4 300 s和砂岩的0~5 180 s为微破裂阶段。无声破碎剂注入中心孔后,随着水化反应的进行,膨胀应力逐渐变大,中心孔附近单元受径向压应力σr和切向拉应力σθ作用,煤岩中心孔周边的裂隙、孔隙等受压应力作用而逐渐被压密,同时在拉应力的作用下产生微小裂纹。由于水化反应早期的膨胀应力较小,煤样表面应变仅有小幅降低,表明煤样表面有较小的弹性膨胀拉伸变形。砂岩表面各处的应变变化趋势略有不同,应变的变化趋势主要分为2类:1 号、3 号、4 号应变片呈现缓慢下降趋势,3处均受到切向的拉应力作用;2 号、5 号、6 号应变片先呈现下降趋势,从3 400 s开始出现回升现象(应变量仍为负),这主要是由于无声破碎剂水化反应后中心孔周边出现小的裂隙,使得中心孔附近得到短时间的释放空间。

(a) 1号、2号、4号应变测点

(b) 3号、5号、6号应变测点

图6 煤样测点应变时序变化
Fig.6 Strain time series change of coal sample measuring points

(a) 2号、5号、6号应变测点

(b) 1号、3号、4号应变测点

图7 砂岩测点应变时序变化
Fig.7 Strain time series change of rock measuring points

(2) 宏观裂纹生成及扩展阶段。煤样的4 300~6 100 s和砂岩的5 180~8 500 s为宏观裂纹生成及扩展阶段。水化反应产生的热量使得水化作用加速进行,膨胀应力随即快速升高,由中心孔逐渐向自由面传递,促使中心孔附近裂纹产生并加速扩展。各应变片受到切向拉应力的作用,应变沿负值快速降低,且不同测点应变的变化速率具有显著区别。4 300 s后,除3号应变片之外,煤样表面应变量均快速降低,且为负值,说明除3 号应变片外其余应变片均位于裂纹走向上,其中6 号应变片在此阶段已被拉断。由图7可知,砂岩表面应变在此阶段均呈快速下降趋势,且为负值,说明砂岩表面各应变片均受到拉应力作用。

(3) 劈裂阶段。煤样的6 100 s和砂岩的8 500 s为劈裂阶段。无声破碎剂产生的膨胀压经过第Ⅱ阶段的传递后,逐渐作用于试样整体。当膨胀压积累到一定值时,试样发生大的破坏,宏观裂纹瞬间贯通,应变在瞬间发生突变,应变曲线呈现垂直拐角型趋势。

2.3 煤岩膨胀破裂声发射演化规律

通过监测煤岩膨胀过程中的声发射,可得到煤岩的损伤程度和内部破裂状况。砂岩和煤样膨胀破裂过程中的声发射振铃计数、累计振铃计数、应变时序变化如图8及图9所示(选取主裂纹上的2个测点:测点1和测点6)。

(a) 测点1

(b) 测点6

图8 砂岩各测点应变与声发射时序变化
Fig.8 Strain and acoustic emission time series change at each measuring point of rock

由图8可知,砂岩声发射累计振铃计数临近劈裂时呈现“突增→平静”趋势。在微破裂阶段,声发射振铃计数极少,声发射信号较弱,这说明砂岩内部微小裂隙、孔隙较少,均质性较好,在无声破碎剂水化作用前期其内部无明显变化。在宏观裂纹生成及扩展阶段,随着应变速率快速增加,砂岩内部开始有裂纹萌生,此时仍然仅有少量声发射信号。接近劈裂阶段时,声发射振铃计数出现峰值,声发射累计振铃计数先突增后经历一段“平静期”,砂岩中的裂纹开始急剧扩展、贯通,并在8 537.3 s发生劈裂破坏,伴随着大裂纹的生成,许多微小裂纹也随着膨胀压的进一步增大而产生。在该阶段声发射累计计数出现第2次突增,声发射信号密集出现。

(a) 测点1

(b) 测点6

图9 煤样各测点应变与声发射时序变化
Fig.9 Strain and acoustic emission time series change at each measuring point of coal

由图9可知,煤样声发射累计振铃计数临界劈裂时呈现指数递增趋势。相比砂岩试样,在微破裂阶段及宏观裂纹生成及扩展阶段,声发射信号十分丰富,且具有阵发性,表明在这2个阶段,煤样内部不断有微小裂隙、孔隙产生及扩展。接近劈裂阶段时,声发射累计振铃计数呈指数增长趋势,声发射振铃计数在劈裂瞬间(6 128.9 s)达到峰值,煤样裂纹发生大的贯通,劈裂后煤样与砂岩声发射振铃计数均密集出现。

煤样、砂岩膨胀过程声发射信号具有鲜明的差异,声发射信号反映了煤岩不同膨胀阶段的内部裂纹扩展规律。

3 煤岩胀裂应变及声发射响应

3.1 煤岩膨胀破裂非均匀变形演化特征

通过分析煤岩膨胀破裂过程中不同测点的应变变化规律发现:在微破裂阶段,不同区域的应变呈现出速率稳定变化现象;在主破裂发生前,试样处于宏观裂纹生成及扩展阶段时,应变速率稳定变化的特征逐渐消失,表现为变化幅度显著增大,且不同测点应变的变形速率有明显区别。对于煤岩膨胀破裂而言,主裂纹在应力集中区(即中心孔附近)率先破裂,随后逐渐延伸扩展,即存在变形局部化现象。煤岩膨胀破裂不同区域的变形可反映破裂的过程性:如果不同区域内变形协调一致,表明试样未出现集中破裂区域;如果其中一个或几个区域变形速率快速增加,预示会出现集中破裂区域。

利用应变的变异系数Cv定量表征变形局部化演化特征。在统计学中,变异系数Cv用来描述数据分布的离散度,应变变异系数越大,代表应变分布的离散程度越大,即应变局部化越明显,其定义为

(1)

(2)

(3)

式中:S为某时刻变形场的标准方差;εi为某时刻煤岩表面各点(共n个点)的应变值;为某时刻εi的平均值。

按式(1)—式(3)计算煤岩膨胀破裂过程中应变的变异系数,并绘制其变化曲线,如图10、图11所示。

图10 煤样应变变异系数曲线
Fig.10 Strain variation coefficient curve of coal

图11 砂岩应变变异系数曲线
Fig.11 Strain variation coefficient curve of rock

由图10、图11可知,破碎剂开始时刻的反应速率并不稳定,因此试样受力不均,应变出现波动变化,应变的变异系数Cv呈现波动变化。在变形局部化前,煤样变异系数前期具有明显的上升趋势,然后呈现稳定波动,且存在多个突变点;而砂岩应变变异系数先稳定波动,然后出现显著上升趋势,仅存在一个突变点。煤样应变变异系数较砂岩应变变异系数变化剧烈,即煤样变形局部化现象更加复杂。煤样的2个显著突变点分别发生在5 884.3,6 120.8 s,分别比主破裂提前244.6,8.1 s;而砂岩的突变点发生在8 472.3 s,较主破裂提前65.0 s。因此,煤岩样应变变异系数的突变可作为破坏前兆。当变异系数突降时,表明不同区域形变中出现了较大变化,即生成了宏观大裂纹,并伴随着能量释放,产生声发射信号。因此,应变变异系数与声发射存在一定关系。

3.2 煤岩膨胀破裂非均匀变形与声发射响应相关关系

煤岩膨胀破裂过程中区域应变的非均匀性与声发射存在一定关系。对于煤岩声发射而言,不同破裂尺度产生的声发射信号频率也不同。大尺度裂纹产生的信号低频成分多,小尺度裂纹产生的信号高频成分多。峰值频率作为震源频谱特征的重要参数,可近似看作信号的主频,故本节通过分析煤岩破裂应变变异系数与声发射峰值频率的响应关系,研究煤岩膨胀破裂内部演化特征。

声发射峰值频率与应变变异系数随时间的变化如图12所示。

(a) 煤样

(b) 砂岩

图12 声发射峰值频率与应变变异系数曲线
Fig.12 Curves of acoustic emission peak frequency and strain variation coefficient

从图12可发现,在应变变异系数突变前,煤样有2个峰值频率带,分别为低频率带(0~50 kHz)和高频率带(150~200 kHz),而砂岩声发射较少;当临近应变变异系数发生突变时,煤样和砂岩声发射峰值频率分布均较为分散,频率带明显增多。

根据上述分析可得出声发射事件峰值频率与煤岩试样变形演化特征的响应关系:煤岩膨胀变形局部化发生时,即劈裂前,声发射峰值频率带明显增多,可作为胀裂破坏的前兆信息。

4 结论

(1) 煤样和砂岩变形破坏过程均包括微破裂阶段、宏观裂纹生成及扩展阶段和劈裂阶段。微破裂阶段,煤岩表面应变变化幅度较小;在宏观裂纹生成及扩展阶段,应变随着膨胀压的传递加快变化;在劈裂瞬间,应变达到极值。

(2) 煤样和砂岩由于内部结构及均一性存在差异,膨胀破坏过程其声发射信号表现出不同的特征:煤样声发射在整个破坏过程较为丰富,在临近破坏时刻,声发射累计计数呈现指数增长;砂岩在微破裂阶段和宏观裂纹生成及扩展阶段,声发射计数较少,在破坏时刻,声发射累计计数呈现“突增→平静”趋势。

(3) 煤岩膨胀破裂存在变形局部化现象,声发射信号与之有较好的对应关系。煤岩变形在出现明显局部化前,声发射峰值频率较均匀分布在高、低频段或无声发射现象。煤岩膨胀出现变形局部化时,声发射峰值频率的分布频段增多,预示着宏观劈裂裂纹的形成。应变变异系数的突变和声发射峰值频率段增多现象可作为煤岩胀破的前兆特征。

参考文献(References):

[1] 李忠辉,宋晓艳,王恩元.石门揭煤静态爆破致裂煤层增透可行性研究[J].采矿与安全工程学报,2011,28(1):86-89.

LI Zhonghui,SONG Xiaoyan,WANG Enyuan.Feasibility of improving permeability by static blasting during uncovering coal seam in cross-cut[J].Journal of Mining and Safety Engineering,2011,28(1):86-89.

[2] 黄炳香,王友壮.顶板钻孔割缝导向水压裂缝扩展的现场试验[J].煤炭学报,2015,40(9):2002-2008.

HUANG Bingxiang,WANG Youzhuang.Field investigation on crack propagation of directional hydraulic fracturing in hard roof[J].Journal of China Coal Society,2015,40(9):2002-2008.

[3] 曹晓立,马瑞,高文学,等.钻孔胀裂法在隧道掘进工程中的应用[J].施工技术,2017,46(5):126-128.

CAO Xiaoli,MA Rui,GAO Wenxue,et al.Application of borehole burst method in tunnel excavation engineering[J].Construction Technology,2017,46(5):126-128.

[4] 邱黎明,李忠辉,王恩元,等.煤与瓦斯突出远程智能监测预警系统研究[J].工矿自动化,2018,44(1):17-21.

QIU Liming,LI Zhonghui,WANG Enyuan,et al.Research on remote intelligent monitoring and early warning system for coal and gas outburst[J].Industry and Mine Automation,2018,44(1):17-21.

[5] 赵永红,熊春阳,戴天环,等.细砂岩变形破坏过程的实验研究[C]//“力学2000”学术大会论文集.北京:气象出版社,2000:367-368.

ZHAO Yonghong,XIONG Chunyang,DAI Tianhuan,et al.Experimental study on deformation and failure process of fine sandstone[C]//Proceedings of "Mechanics 2000" Academic Conference.Beijing:Meteorological Press,2000:367-368.

[6] 赵永红,凌勇.细砂岩裂纹周围变形破坏过程及应变场分布[J].岩土力学,2004,25(6):865-870.

ZHAO Yonghong,LING Yong.Fracture development and strain field around the stress induced crack area in sandstone [J].Rock and Soil Mechanics,2004,25(6):865-870.

[7] 范金洋,姜德义,欧阳振华,等.基于塑性应变梯度理论的材料失稳型冲击地压触发判据[J].煤炭学报,2018,43(11):2959-2966.

FAN Jinyang,JIANG Deyi,OUYANG Zhenhua,et al.Material-instability rock burst criteria based on the theory of strain gradient plasticity[J].Journal of China Coal Society,2018,43(11):2959-2966.

[8] 马少鹏,周辉.岩石破坏过程中试件表面应变场演化特征研究[J].岩石力学与工程学报,2008,27(8):1667-1673.

MA Shaopeng,ZHAO Hui.Surface strain field evolution of rock specimen during failure process[J].Chinese Journal of Rock Mechanics and Engineering,2008,27(8):1667-1673.

[9] 赵程,田加深,松田浩,等.单轴压缩下基于全局应变场分析的岩石裂纹扩展及其损伤演化特性研究[J].岩石力学与工程学报,2015,34(4):763-769.

ZHAO Cheng,TIAN Jiashen,SONG Tianhao,et al.Crack propagation and damage of rock under uniaxial compression based on global strain field analysis[J].Chinese Journal of Rock Mechanics and Engineering,2015,34(4):763-769.

[10] SONG Dazhao,WANG Enyuan,LI Zhonghui,et al.Energy dissipation of coal and rock during damage and failure process based on EMR[J].International Journal of Mining Science and Technology,2015,25(5):787-795.

[11] 王恩元,何学秋,刘贞堂,等.煤体破裂声发射的频谱特征研究[J].煤炭学报,2004,29(3):289-292.

WANG Enyuan,HE Xueqiu,LIU Zhentang,et al.Study on frequency spectrum characteristics of acoustic emission in coal or rock deformation and fracture [J].Journal of China Coal Society,2004,29(3):289-292.

[12] 刘保县,黄敬林,王泽云,等.单轴压缩煤岩损伤演化及声发射特性研究[J].岩石力学与工程学报,2009,28(增刊1):3234-3238.

LIU Baoxian,HUANG Jinglin,WANG Zeyun,et al.Study on damage evolution and acoustic emission character of coal-rock under uniaxial compression [J].Chinese Journal of Rock Mechanics and Engineering,2009,28(S1):3234-3238.

[13] 李回贵,高保彬,李化敏.单轴压缩下煤岩宏观破裂结构及声发射特性研究[J].地下空间与工程学报,2015,11(3):612-618.

LI Huigui,GAO Baobin,LI Huamin.Study on macroscopic fracture structure and acoustic emission character of coal rock under uniaxial compression[J].Chinese Journal of Rock Mechanics and Engineering,2015,11(3):612-618.

[14] 陈宇龙,魏作安,许江,等.单轴压缩条件下岩石声发射特性的实验研究[J].煤炭学报,2011,36(增刊2):237-240.

CHEN Yulong,WEI Zuo'an,XU Jiang,et al.Experimental research on the acoustic emission characteristics of rock under uniaxial compression[J].Journal of China Coal Society,2011,36(S2):237-240.

[15] 李庶林,尹贤刚,王泳嘉,等.单轴受压岩石破坏全过程声发射特征研究[J].岩石力学与工程学报,2004,23(15):2499-2 503.

LI Shulin,YIN Xiangang,WANG Yongjia,et al.Studies on acoustic emission characteristics of uniaxial compressive rock failure [J].Chinese Journal of Rock Mechanics and Engineering,2004,23(15):2499-2503.

[16] 曹树刚,刘延保,张立强.突出煤体变形破坏声发射特征的综合分析[J].岩石力学与工程学报,2007,26(增刊1):2794-2799.

CAO Shugang,LIU Yanbao,ZHANG Liqiang.Study on characteristics of acoustic emission in outburst coal [J].Chinese Journal of Rock Mechanics and Engineering,2007,26(S1):2794-2799.

[17] 张宁博,齐庆新,欧阳振华,等.不同应力路径下大理岩声发射特性试验研究[J].煤炭学报,2014,39(2):389-394.

ZHANG Ningbo,QI Qingxin,OUYANG Zhenhua,et al.Experimental on acoustic emission characteristics of marble with different stress paths[J].Journal of China Coal Society,2014,39(2):389-394.

[18] 纪洪广,卢翔.常规三轴压缩下花岗岩声发射特征及其主破裂前兆信息研究[J].岩石力学与工程学报,2015,34(4):694-702.

JI Hongguang,LU Xiang.Characteristics of acoustic emission and rock fracture precursors of granite under conventional triaxial compression[J].Chinese Journal of Rock Mechanics and Engineering,2015,34(4):694-702.

[19] 李楠,王恩元,赵恩来,等.岩石循环加载和分级加载损伤破坏声发射实验研究[J].煤炭学报,2010,35(7):1099-1103.

LI Nan,WANG Enyuan,ZHAO Enlai,et al.Experiment on acoustic emission of rock damage and fracture under cyclic loading and multi-stage loading[J].Journal of China Coal Society,2010,35(7):1099-1103.

[20] 付军辉,黄炳香,刘长友,等.煤试样巴西劈裂的声发射特征研究[J].煤炭科学技术,2011,39(4):25-28.

FU Junhui,HUANG Bingxiang,LIU Changyou,et al.Study on acoustic emission features of coal sample Brazilian splitting[J].Coal Science and Technology,2011,39(4):25-28.

[21] 许江,刘义鑫,刘婧,等.双面剪切荷载作用下岩石断裂过程声发射特性研究[J].岩石力学与工程学报,2015,34(增刊1):2659-2664.

XU Jiang,LIU Yixin,LIU Jing,et al.Study of characteristics of rock acoustic emission fracture process of double shear loading effect[J].Chinese Journal of Rock Mechanics and Engineering,2015,34(S1):2659-2664.

Experimental study on characteristics of strain and acoustic emission in the process of coal rock expansion and fracture

LI Jie, QIU Liming, YIN Shan, LIU Yang, TONG Yongjun

(School of Civil and Resource Engineering, University of Science and Technology Beijing, Beijing 100083, China)

Abstract:In order to solve the problem that there are few researches on the acoustic emission characteristics in the process of coal rock expansion and fracture, experiments on coal rock expansion and fracture are carried out to analyze the change law of strain and acoustic emission signals during the whole process of coal rock expansion and fracture. The results show that: ① the coal-rock expansion and fracture process can be divided into micro-fracture stage (Ⅰ), macro-fracture generation and expansion stage (Ⅱ) and splitting stage (Ⅲ). ② the strain evolution of coal and rock samples in the expansion process is consistent, showing the trend of 'slow change→acceleration→extreme value'. However, the acoustic emission signals of the two samples at each stage are quite different. ③ the acoustic emission ringing counts are more abundant in the coal samples at stages Ⅰ and Ⅱ, and the cumulative ringing counts increase exponentially near stage Ⅲ; while the acoustic emission ringing counts are less in the rock samples at stages Ⅰ and Ⅱ, and the cumulative ringing counts show a 'sudden increase - calm' trend near stage Ⅲ. ④ there is deformation localization in the process of both coal and rock expansion and fracture. The sudden change of strain variation coefficient and the increase of acoustic emission peak frequency range can be used as the precursor characteristics of coal rock expansion,fracture and instability. The research results can provide a basis for monitoring and early warning of coal rock fractures and other projects.

Key words:coal rock expansion and fracture; acoustic emission; coal rock surface deformation; strain; variation coefficient

中图分类号:TD315.1

文献标志码:A

文章编号1671-251X(2021)02-0063-08

DOI:10.13272/j.issn.1671-251x.2020110052

收稿日期:2020-11-23;修回日期:2021-01-25;责任编辑:胡娴。

基金项目:国家自然科学基金项目(52004016);中央高校基本科研项目(FRF-TP-18-081A1);山东省重大科技创新工程项目(2019SDZY01)。

作者简介:李杰(1996-),女,山东日照人,硕士研究生,研究方向为煤岩动力灾害监测预警,E-mail:17806245008@163.com。

通信作者:邱黎明(1991-),男,河南周口人,讲师,研究方向为地下工程安全监测预警,E-mail: qiulm@ustb.edu.cn。

引用格式:李杰,邱黎明,殷山,等.煤岩膨胀破裂应变及声发射特征实验研究[J].工矿自动化,2021,47(2):63-69.

LI Jie,QIU Liming,YIN Shan,et al.Experimental study on characteristics of strain and acoustic emission in the process of coal rock expansion and fracture[J].Industry and Mine Automation,2021,47(2):63-69.