矿用钢丝绳损伤检测信号处理方法研究

王红尧1, 吴佳奇1, 李长恒1, 唐文锦1, 张艳林2

(1.中国矿业大学(北京) 机电与信息工程学院, 北京 100083;2.华北科技学院 河北省矿山设备安全监测重点实验室, 河北 廊坊 065201)

摘要采用电磁检测法检测矿用钢丝绳受损情况时,检测信号中含有大量噪声,且存在尖峰和突变干扰,增大了损伤识别难度,需要对原始检测信号进行降噪处理。常用的傅里叶变换无法处理运行中的钢丝绳检测信号,而小波变换因存在平移不变性较差、频带混叠等问题而影响检测准确度。提出了基于双树复小波变换的矿用钢丝绳损伤检测信号处理方法。首先采用Q平移法构造双树复小波高低通滤波器,对原始信号进行3层双树复小波分解,得到高低频信号分量;然后采用最小极大方差软阈值方法对分解信号进行降噪处理;最后对降噪信号进行重构。在实验室环境下搭建了钢丝绳损伤检测试验平台,对基于双树复小波变换的钢丝绳损伤检测信号处理方法的降噪性能进行验证,结果表明:该方法可有效减少检测信号中的尖峰和突变数量,使信号平稳,降噪效果优于经典小波变换,且增大了奇异点处信号峰值,有利于后续特征提取。

关键词矿用钢丝绳; 钢丝绳损伤检测; 电磁检测法; 信号降噪; 小波变换; 双树复小波变换

0 引言

钢丝绳因具有弹性好、承载能力和耐用性强等特点,广泛应用于煤矿主副井提升系统、单轨吊机车运输系统、架空乘人装置等。因工作环境恶劣,矿用钢丝绳在长期使用过程中不可避免地会产生损伤,存在安全隐患。《煤矿安全规程》规定,必须对钢丝绳进行定期检测与维护。

电磁检测法是目前最常用的矿用钢丝绳损伤检测方法。在实际应用中,受工作环境、绳股效应、断丝头冲击等[1]因素的影响,钢丝绳损伤电磁检测信号中包含大量噪声,且存在尖峰和突变干扰,使表征损伤的波峰和波谷(即信号奇异部分)无法清晰显示,增大了损伤信号定性和定量识别难度。为了提高损伤检测的准确度,需要对检测信号进行处理,降低噪声干扰。目前常用的钢丝绳信号处理方法有傅里叶变换、小波变换等。傅里叶变换借助正弦波分解原始信号并分析信号频谱,但无法反映信号瞬时频率随时间的变化情况,仅适用于分析平稳信号,无法对非平稳信号的特定成分进行降噪处理。小波变换[2-4]可对钢丝绳损伤检测信号进行多尺度分解重构、滤波、去噪处理,也可对检测信号进行压缩和传递,具有多分辨率、基小波选择灵活、可多尺度分析等特点,但存在平移不变性较差、频带混叠等问题,导致在钢丝绳检测信号分解、重构过程中引入股波噪声,影响检测准确度。

双树复小波变换是N.G. Kingsbury提出的一种信号处理方法[5],解决了小波变换中平移不变性较差、频带混叠等问题[6],可使信号中的奇异部分更加清晰,有利于提高检测准确度,在图像压缩、去噪等方面已有应用,尚未有用于矿用钢丝绳损伤检测的报道。本文提出一种基于双树复小波变换的矿用钢丝绳损伤检测信号处理方法,以消除检测信号中的噪声,提高后续损伤特征提取与识别的准确度。

1 双树复小波变换理论

双树复小波变换是基于小波变换形式的复数小波变换。其通过设计2个小波滤波器组,建立双线并行的小波变换树(即实部树和虚部树)对信号进行小波分解。为了实现实部树和虚部树的小波分解系数互补,将虚部树的采样位置设置在实部树的中点,使2种系数可被有效利用,从而弥补了小波变换平移不变性缺陷,同时提高了计算效率[7]

双树复小波变换采用小波变换中的1/2频程转换公式。在双树复小波变换应用于实际工程中时,可根据实际需求选用奇偶滤波器构造法、共同因子法和Q平移法构造高低通滤波器,以此进行信号分解和重构。针对矿用钢丝绳损伤检测信号,若采用奇偶滤波器构造法、共同因子法构造双树复小波变换的高低通滤波器,则只能在很小的范围内具有线性相位,而采用Q平移法时,在双树复小波变换中每一层虚部树的采样位置恰好位于实部树采样位置的中点,具有很强的对称性,对钢丝绳损伤检测信号降噪和特征提取非常有利[8],因此本文选用Q平移法构造双树复小波变换滤波器。

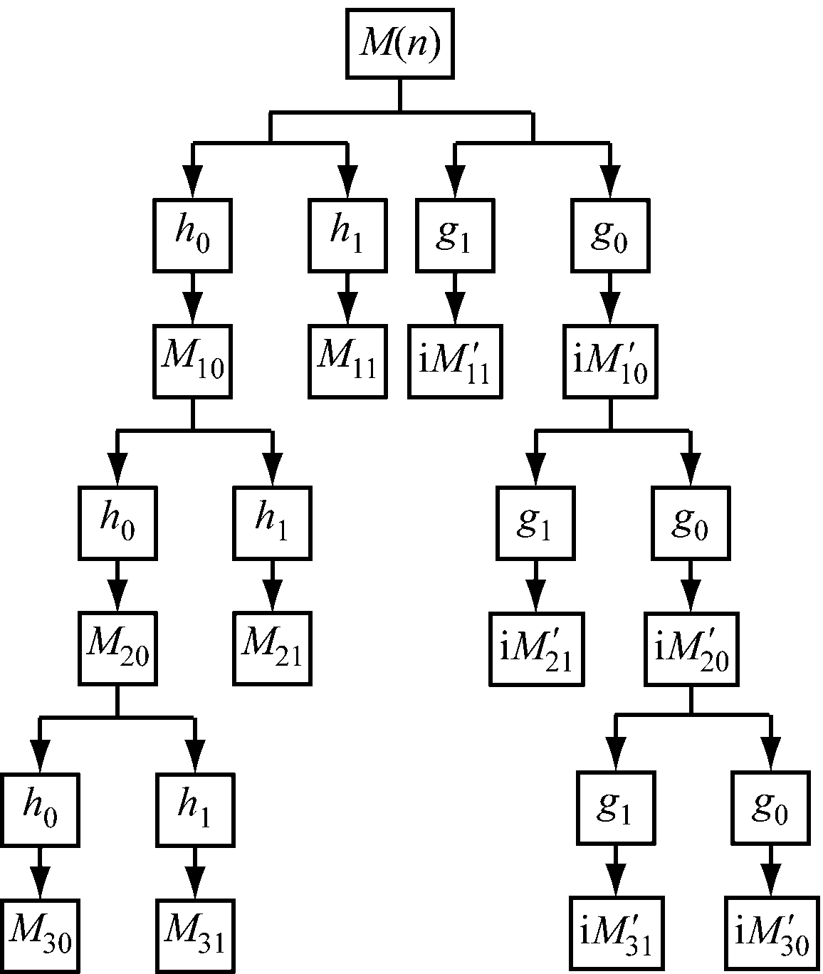
以一个3层双树复小波变换为例说明信号分解过程,如图1所示。h0h1分别为实数部分低通、高通滤波器;g0g1分别为虚数部分低通、高通滤波器。原始信号M(n)通过h0得到实数部分低频信号M10,通过h1得到实数部分高频信号M11,通过g0得到虚数部分低频信号通过g1得到虚数部分高频信号该过程为第1层双树复小波分解。按照第1层分解步骤,继续对信号实数和虚数部分的尺度函数信号(即低频信号)进行双树复小波分解,依次得到第2层分解的实数、虚数部分低频、高频信号以及第3层分解的实数、虚数部分低频、高频信号因此原始信号经过3层双树复小波变换后可得到12个分量信号,分别为

图1 双树复小波变换3层分解过程
Fig.1 Three-level decomposition process of dual-tree complex wavelet transform

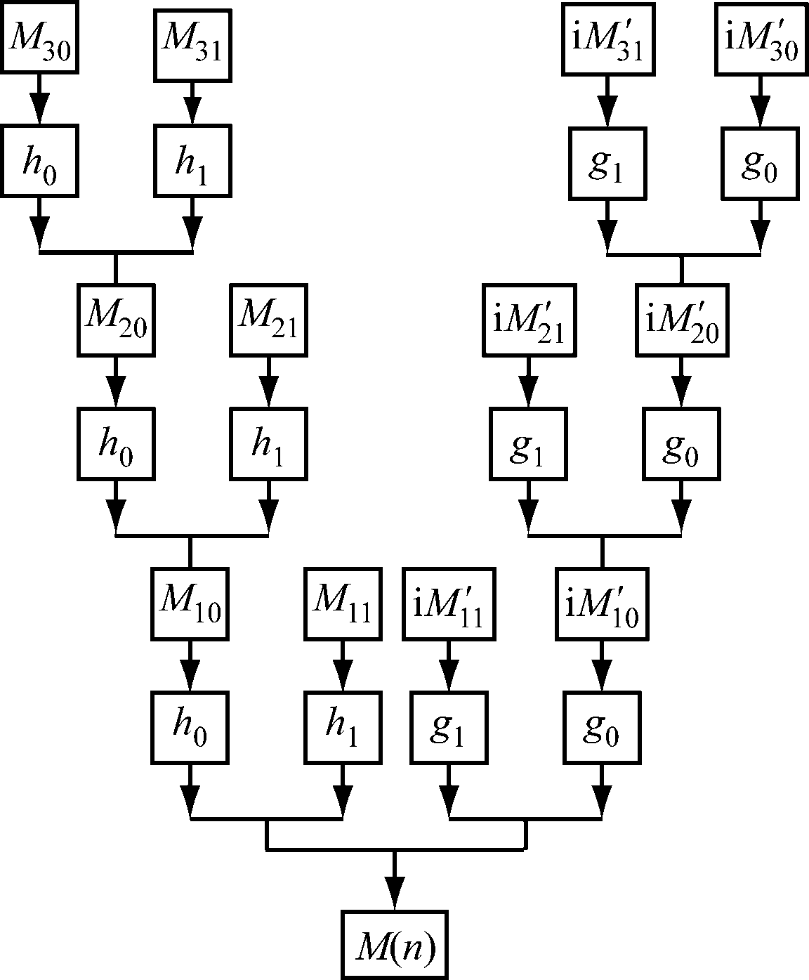
经双树复小波变换分解后的高低频信号可通过重构转换为原始信号,如图2所示。

图2 双树复小波变换3层重构过程
Fig.2 Three-level reconstruction process of dual-tree complex wavelet transform

2 基于双树复小波变换的钢丝绳损伤检测信号处理方法

基于双树复小波变换的钢丝绳损伤检测信号处理流程如图3所示。首先,确定所用小波基函数及小波分解层数,对检测信号进行分解;然后,选择合适的作用阈值方法并确定阈值,对分解信号进行去噪处理;最后,对信号进行重构,得到降噪后的信号。

图3 基于双树复小波变换的钢丝绳损伤检测信号处理流程
Fig.3 Signal processing flow of wire rope damage detection based on dual-tree complex wavelet transform

进行双树复小波分解时,若分解层数过少,则降噪效果较差,但过多的分解层数会导致计算量增大[9]。本文设计3层分解。采用Q平移法构造双树复小波变换高低通滤波器,得到高低频信号分量。作用阈值在小波变换过程中具有重要意义[10]。与硬阈值相比,采用软阈值降噪后,信号特征不会改变[11],因此选用软阈值对信号进行降噪处理,并采用最小极大方差软阈值模型确定阈值。完成分量信号降噪处理后,对其进行重构,得到降噪后的原始信号。

3 钢丝绳损伤检测试验

为了检验基于双树复小波变换的矿用钢丝绳损伤检测信号处理方法的有效性,在实验室环境下进行钢丝绳损伤检测试验。制备1根直径为10 mm、长度为800 mm的钢丝绳,在距离钢丝绳一端200 mm处人为制造1处宽5 mm、深2 mm的局部损伤,如图4所示。采用电动机、滚轮等搭建钢丝绳损伤检测试验平台[12],如图5所示。

图4 钢丝绳损伤
Fig.4 Wire rope damage

图5 钢丝绳损伤检测试验平台
Fig.5 Experimental platform of wire rope damage detection

钢丝绳损伤检测信号由漏磁传感器获取,检测过程如图6所示。永久磁铁对钢丝绳励磁至磁饱和,电动机驱动钢丝绳运动。基于霍尔元件的漏磁传感器检测钢丝绳径向和轴向上的漏磁量和磁通变化,检测信号依次经差分运算放大器、滤波电路、模数转换电路处理后传输至计算机。在Matlab软件环境下,采用双树复小波变换对检测信号进行处理。

图6 钢丝绳损伤检测过程
Fig.6 Wire rope damage detection process

4 试验结果分析

钢丝绳损伤检测原始信号如图7所示,可看出信号中含有大量噪声,难以分辨出损伤信号。完成检测信号的双树复小波变换3层分解后,对各层分解系数进行单分量重构得到的信号如图8所示,其中a3为近似信号(低频信号),d1d2d3为细节信号(高频信号)。可看出钢丝绳损伤检测信号的奇异点(受损点)约在试验开始后120~130 s处。

图7 钢丝绳损伤检测原始信号
Fig.7 Original signal of wire rope damage detection

图8 经双树复小波变换3层分解后的单分量重构信号
Fig.8 Reconstruction signals of each component after three-layer decomposition by dual-tree complex wavelet transform

分别采用双树复小波变换和经典小波变换对检测信号进行处理,处理过程中均采用最小极大方差软阈值模型确定作用阈值。试验结果如图9所示。

(a) 基于双树复小波变换

(b) 基于Haar基小波变换

(c) 基于sym2基小波变换

(d) 基于db2基小波变换

(e) 基于db5基小波变换

(f) 基于db10基小波变换

图9 钢丝绳损伤检测信号处理结果
Fig.9 Signal processing results of wire rope damage detection

从图9可看出,钢丝绳损伤检测信号经双树复小波变换处理后,尖峰和突变数量明显减少,信号整体平稳,去噪效果明显;奇异点处信号峰值明显变大,有利于后续特征提取;尽管在2×105 ms,2.2×105 ms处存在尖峰,但该处信号不符合钢丝绳损伤故障特征,不会导致误判。而采用经典小波变换对钢丝绳损伤检测信号进行处理后,信号整体不平稳,奇异点处信号不明显,且存在多处类似奇异点的尖峰和突变,易导致钢丝绳损伤故障误判。

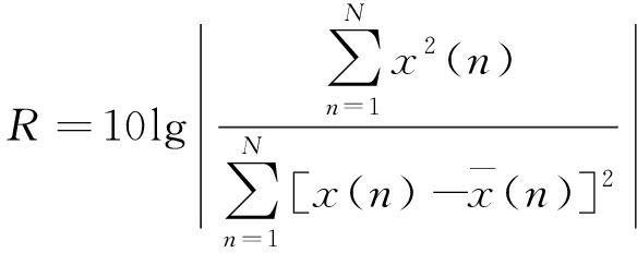
计算经不同方法处理后信号的信噪比R,结果见表1。信噪比越大,则降噪效果越好。

(1)

式中:N为采样次数;x(n)为原始信号;为经处理后的预测信号。

表1 经不同方法处理后的钢丝绳损伤检测信号信噪比
Table 1 Signal to noise ratios of wire rope damage detection signal processed by different methods

处理方法阈值信噪比基于双树复小波变换0.321 614.010 0基于Haar基小波变换0.345 57.946 6基于sym2基小波变换0.359 67.880 1基于db2基小波变换0.374 57.880 1基于db5基小波变换0.389 67.394 2基于db10基小波变换0.374 26.876 4

根据图9和表1可知,采用双树复小波变换对钢丝绳损伤检测信号的降噪效果优于经典小波变换,有利于提高钢丝绳损伤检测准确度。

5 结论

(1) 采用电磁检测法检测矿用钢丝绳损伤情况时,受井下恶劣环境影响,检测信号中包含大量噪声,且存在尖峰和突变干扰,增大了损伤信号定性和定量识别难度。采用双树复小波变换对钢丝绳损伤检测信号进行处理可较好地去除噪声,得到分布较明显的钢丝绳损伤特征信号,避免了小波变换存在的平移不变性较差、频带混叠等问题,有利于对钢丝绳损伤情况作出准确判断。

(2) 在实验室环境下搭建了钢丝绳损伤检测试验平台,对基于双树复小波变换的钢丝绳损伤检测信号处理方法的降噪性能进行验证,结果表明:该方法可有效减少检测信号中的尖峰和突变数量,使信号平稳,降噪效果优于经典小波变换,且增大了奇异点处信号峰值,有利于后续特征提取。

参考文献(References):

[1] MOUHIB N,WAHID A,SABAH F,et al.Experimental characterization and damage reliability analysis of central core strand extracted from steel wire rope[J].Enggineering Failure Analysis,2021,120:1-8.

[2] 鞠晨,张超,樊红卫,等.基于小波包分解和PSO-BPNN的滚动轴承故障诊断[J].工矿自动化,2020,46(8):70-74.

JU Chen,ZHANG Chao,FAN Hongwei,et al.Rolling bearing fault diagnosis based on wavelet packet decomposition and PSO-BPNN[J].Industry and Mine Automation,2020,46(8):70-74.

[3] 田劼,胡耀松,郭红飞,等.基于霍尔元件的矿用钢丝绳探伤仪研究[J].工矿自动化,2019,45(11):75-80.

TIAN Jie,HU Yaosong,GUO Hongfei,et al.Research on mine-used wire rope flaw detector based on Hall element[J].Industry and Mine Automation,2019,45(11):75-80.

[4] HUANG Xinyuan,LIU Zhiliang,ZHANG Xinyu,et al. Surface damage detection for steel wire ropes using deep learning and computer vision techniques[J].Measurement,2020,161:1-12.

[5] KINGSBURY N G.The dual-tree complex wavelet transform:a new technique for shift invariance and directional filters[J].IEEE Digital Signal Processing Workshop,1998,98(1):2-5.

[6] TUDAVEKAR G,PATIL S R,SARAF S S.Dual-tree complex wavelet transform and super-resolution based video inpainting application to object removal and error concealment[J].CAAI Transactions on Intelligence Technology,2020,5(4):314-319.

[7] 王鹤,辛云宏.基于双树复小波变换的红外小目标检测算法[J].激光与红外,2020,50(9):1145-1152.

WANG He,XIN Yunhong.Infrared small target detection based on DT-CWT[J].Laser & Infrared,2020,50(9):1145-1152.

[8] 徐佳杰.基于双树复小波与宽度学习的轴承故障诊断方法研究[D].包头:内蒙古科技大学,2020.

XU Jiajie.Research on bearing fault diagnosis method based on dual-tree complex wavelet and width learning[D]. Baotou:Inner Mongolia University of Science & Technology,2020.

[9] TORBATI N,AYATOLLAHI A,SADEGHIPOUR P. Image-based gating of intravascular ultrasound sequences using the phase information of dual-tree complex wavelet transform coefficients[J].IEEE Transactions on Medical Imaging,2019,38(12):2785-2795.

[10] 杨宇,曾国辉,黄勃.基于双树复小波包和改进SVM的轴承故障诊断[J].计算机工程与应用,2020,56(17):231-235.

YANG Yu,ZENG Guohui,HUANG Bo.Fault diagnosis method of bearings based on dual-tree complex wavelet packet transform and improved SVM[J].Computer Engineering and Applications,2020,56(17):231-235.

[11] 王勇,王臻.基于双树复小波的移动阴影检测和移除[J].网络安全技术与应用,2020(4):54-56.

WANG Yong,WANG Zhen.Mobile shadow detection and removing based on dual-tree complex wavelet[J].Network Security Technology & Application,2020(4):54-56.

[12] 田劼,赵彩跃.基于3D Maxwell的钢丝绳漏磁检测仿真研究[J].煤炭工程,2020,52(7):152-156.

TIAN Jie,ZHAO Caiyue.Simulation on magnetic leakage detection of steel wire rope based on 3D Maxwell[J].Coal Engineering,2020,52(7):152-156.

Research on signal processing method of mine wire rope damage detection

WANG Hongyao1, WU Jiaqi1, LI Changheng1, TANG Wenjin1, ZHANG Yanlin2

(1.School of Mechanical Electronic and Information Engineering, China University of Mining and Technology(Beijing), Beijing 100083, China; 2.Hebei Key Laboratory for Mine Equipment Safety Monitoring, North China Institute of Science and Technology, Langfang 065201, China)

AbstractWhen using electromagnetic detection method to detect the damage of mine wire rope, the detection signal contains a lot of noise. Moreover, there are spikes and mutations interference, which increase the difficulty of damage identification. Therefore, it is necessary to reduce the noise of the original detection signal. The commonly used Fourier transform cannot process the operating wire rope detection signal. The wavelet transform has problems of poor translation invariance and frequency aliasing, which affect the detection accuracy. This paper proposes a method for mine wire rope damage detection based on dual-tree complex wavelet transform. Firstly, a dual-tree complex wavelet high and low pass filter is constructed by Q-shift method, and the original signal is decomposed by 3-layer dual-tree complex wavelet to obtain the high and low frequency signal components. Secondly, a soft threshold method with minimax variance is used to reduce the noise of the decomposed signal. Finally, the noise reduction signal is reconstructed. A wire rope damage detection test platform is built in the laboratory environment to verify the noise reduction performance of the wire rope damage detection signal processing method based on dual-tree complex wavelet transform. The results show that the method can reduce the number of spikes and mutations in the detection signal effectively and make the signal stable. The noise reduction effect is better than that of classical wavelet transform. The method increases the signal peak value at the singularity point, which is beneficial to the subsequent feature extraction.

Key words:mine wire rope; wire rope damage detection; electromagnetic detection method; signal noise reduction; wavelet transform; dual-tree complex wavelet transform

中图分类号:TD67

文献标志码:A

文章编号1671-251X(2021)02-0058-05

DOI:10.13272/j.issn.1671-251x.17677

收稿日期:2020-10-29;修回日期:2021-02-07;责任编辑:李明。

基金项目:国家自然科学基金资助项目(51774293);河北省矿山设备安全监测重点实验室资助项目(SM202002)。

作者简介:王红尧(1981-),男,山东海阳人,副教授,博士,主要研究方向为矿山安全监控、巡检机器人技术及装备,E-mail:Hongyaowang2004@163.com。

通信作者:吴佳奇(1996-),男,山东淄博人,硕士研究生,研究方向为矿山安全监控与设备故障诊断技术,E-mail:1134608851@qq.com。

引用格式:王红尧,吴佳奇,李长恒,等.矿用钢丝绳损伤检测信号处理方法研究[J].工矿自动化,2021,47(2):58-62.

WANG Hongyao,WU Jiaqi,LI Changheng,et al.Research on signal processing method of mine wire rope damage detection[J].Industry and Mine Automation,2021,47(2):58-62.