实验研究

磁悬浮带式输送机电磁结构优化

胡坤1,2, 蒋浩2, 季晨光2, 潘泽2

(1.安徽理工大学 深部煤矿采动响应与灾害防控国家重点实验室, 安徽 淮南 232001; 2.安徽理工大学 机械工程学院, 安徽 淮南 232001)

摘要常规磁悬浮带式输送机采用永磁体和电磁铁组合的电磁结构,在磁悬浮支承力需求较高的工况条件下具有易发热、电流损耗大等问题。为解决该问题,提出了一种基于Halbach阵列的电磁结构。以电磁结构磁感应强度最大为目标函数,以电磁结构尺寸和磁感应强度分布范围为约束条件,建立了电磁结构优化数学模型。针对教与学优化(TLBO)算法用于求解电磁结构优化数学模型时容易陷入局部最优的问题,提出了一种改进的TLBO算法,该算法通过筛选引入新种群及改进教学阶段和互学阶段的学习方式,增强种群的多样性和搜索能力。测试结果表明,改进的TLBO算法的准确性和稳定性均优于标准TLBO算法。采用改进的TLBO算法对磁悬浮带式输送机电磁结构优化数学模型进行求解,得到最优电磁结构参数:Halbach阵列中单个永磁体高7 mm、宽9 mm,永磁体块数为7。实验结果表明,相同尺寸条件下,基于Halbach阵列的电磁结构最大磁感应强度相对基于永磁体的电磁结构提高了47.69%。

关键词磁悬浮带式输送机; 电磁结构; Halbach阵列; 教与学优化算法; 约束优化问题

0 引言

磁悬浮带式输送机是一种通过磁悬浮技术实现托辊支撑的新型节能高效运输机械[1]。常规磁悬浮带式输送机通过永磁体和电磁铁组合的电磁结构提供磁吸力,利用磁吸力与磁悬浮支承力的动态平衡实现输送机稳定运行[2]。基于永磁体的电磁结构虽然能够实现较大的磁吸力,但在磁悬浮支承力需求较高的工况条件下,存在易发热、电流损耗大等问题[3-7]。因此,本文针对磁悬浮带式输送机提出一种基于Halbach阵列[8]的电磁结构。要实现电磁结构优化效果的最大化,将电磁结构磁感应强度最大值作为目标函数,并考虑电磁结构尺寸和磁感应强度分布范围等约束条件,实际上为约束优化问题。

常用的处理约束优化问题的智能算法较多,其中教与学优化(Teaching and Learning Based Optimization,TLBO)算法由于收敛速度快、收敛精度高等特点被广泛应用[9-11]。但标准TLBO算法在求解复杂多维多峰目标函数时,由于算法结构的局限性,容易陷入局部最优。本文提出一种改进的TLBO算法,通过筛选引入新种群及改进教学阶段和互学阶段的学习方式,增强种群的多样性和搜索能力;利用改进的TLBO算法对目标函数进行求解,获得电磁结构优化参数。

1 磁悬浮带式输送机电磁结构优化数学模型

1.1 基于Halbach阵列的电磁结构

常规磁悬浮带式输送机主要包括防磁滚筒、防磁驱动滚筒、铁芯嵌入式输送带、永磁体、电磁铁、防磁托辊、张紧装置等,如图1所示。输送机运行过程中,电磁铁和永磁体共同作用对铁芯产生磁吸力,磁吸力与铁芯嵌入式输送带平稳运行所需的磁悬浮支承力相等,从而实现输送机对物料的稳定运输。

图1 常规磁悬浮带式输送机主要结构
Fig.1 Main structure of conventional magnetic levitation belt conveyor

对于常规磁悬浮带式输送机,永磁体与电磁铁组合的电磁结构在物料多的条件下效率低。为改善上述问题,本文提出一种基于Halbach阵列的电磁结构,如图2所示。

图2 基于Halbach阵列的电磁结构
Fig.2 Electromagnetic structure based on Halbach array

由于Halbach阵列具有强化磁场的特性[12],在Halbach阵列与永磁体尺寸相同的条件下,基于Halbach阵列的电磁结构相对于基于永磁体的电磁结构具有更强的磁吸力;在相同磁悬浮支承力的需求下,基于Halbach阵列的电磁结构电流损耗低于基于永磁体的电磁结构。所以基于Halbach阵列的电磁结构可满足磁悬浮带式输送机严格的工况条件和经济效益要求。

1.2 基于Halbach阵列的电磁结构磁感应强度

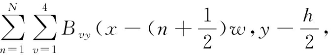
基于面电流假设[13]对Halbach阵列产生的磁感应强度进行分析。在图2所示坐标系下(以Halbach阵列最左侧第1块永磁体几何中心为o点,沿永磁体水平方向为x轴,沿永磁体竖直方向为y轴),以o点为Halbach阵列沿y轴方向磁化的中心位置,Halbach阵列在任一点(x,y)沿y轴方向产生的磁感应强度为

By(xy)=

Msin αn)

(1)

式中:N为Halbach阵列中永磁体块数;Bvy(·)(v=1,2,3,4)为Halbach阵列中每块永磁体4个面在y轴方向分别产生的磁感应强度,T;w为单个永磁体宽度,mm;h为单个永磁体高度,mm;M为永磁体磁化强度,A/m;αn为第n(n=1,2,…,N)块永磁体磁化方向与y轴正方向的夹角,(°)。

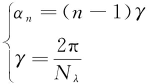
(2)

式中:γ为相邻2块永磁体磁化方向的夹角,(°);Nλ为Halbach阵列1个波长内所包含的永磁体块数。

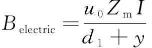
对于常规M型电磁铁,真空下电磁铁产生的磁感应强度为

(3)

式中:u0为真空磁导率,u0=4π×10-7 H/m;Zm为电磁铁中线圈匝数;I为线圈中瞬时电流,A;d1为Halbach阵列等效磁化的中心位置所在水平轴线距离电磁铁底面的竖直距离,mm。

考虑线性叠加关系,基于Halbach阵列的电磁结构磁感应强度为

B=By(xy)+Belectric

(4)

由式(1)—式(4)可知,电磁结构磁感应强度的影响因素主要有选取位置坐标(xy)、Halbach阵列中单个永磁体高度h和宽度w、永磁体块数N

1.3 基于Halbach阵列的电磁结构优化数学模型

将电磁结构磁感应强度最大值作为目标函数,同时考虑电磁结构尺寸(Halbach阵列宽度不大于电磁铁宽度)和磁感应强度分布范围(产生最大磁感应强度的位置不超过电磁铁宽度)等约束条件,可得基于Halbach阵列的电磁结构优化数学模型:

min f=1/B

(5)

式中g为电磁铁宽度。

2 磁悬浮带式输送机电磁结构参数优化

2.1 改进的TLBO算法

TLBO算法的标准流程包括教学阶段和互学阶段[14-15],但由于算法中不同阶段公式的局限性[16],容易陷入局部最优。为了增强算法的寻优能力,本文提出一种改进的TLBO算法。算法改进的具体内容包括4个部分。

(1) 在教学阶段,第t次迭代时,原始种群通过式(6)生成“教师”种群和“助教”种群。

(6)

式中:Ct为原始种群;Ctteacher为“教师”种群;Ctassistant为“助教”种群;r为随机数;Ts为筛选参数。

(2) 在教学阶段,“助教”种群按照式(7)更新“学习力”Lt

(7)

式中:s为权重,按式(8)更新;Amean为每一次迭代中Ctteacher的平均值。

s=smin+r(smax-smin)

(8)

式中sminsmax分别为随机权重的最小值和最大值。

“助教”种群通过式(9)进行更新:

(9)

式中Tf为标准TLBO算法中的随机参数。

(3) 在互学阶段,“助教”种群及其学习力分别通过式(10)和式(11)进行更新。

(10)

(11)

式中:e为经验参数,取为“助教”种群中随机选取的部分个体的集合;fitness(·)为适应度值;Lq的学习力。

(4) 通过式(12)得出更优异种群作为最终结果。

(12)

改进的TLBO算法通过增强种群的多样性,赋予种群个体搜索能力,从而提高效率,防止算法陷入局部最优。改进的TLBO算法流程如图3所示。

图3 改进的TLBO算法流程
Fig.3 Flow of improved TLBO algorithm

2.2 算法性能测试

为验证改进的TLBO算法的优越性,选择3组多峰基准函数进行测试,见表1。测试环境:CPU为Intel Core i5,运行内存为4 GB,硬盘为860EVO(内存500 GB),软件为Matlab R2018a。设置种群数量为50,迭代次数为100。算法运行10次,取平均值作为算法的准确性表征,标准差作为算法的稳定性表征,结果见表2。可看出在多峰基准函数测试条件下,改进的TLBO算法的准确性和稳定性均优于标准TLBO算法。

表1 测试函数
Table 1 Test functions

测试函数维度范围最小值Ackely3[-10,10]0Griewank3[-10,10]0Rastrigin3[-5.12,5.12]0

表2 测试函数优化结果
Table 2 Optimization results of test functions

测试函数算法平均值标准差Ackely标准TLBO3.679 1×10-132.276 9×10-13改进TLBO2.410 3×10-131.299 6×10-13Griewank标准TLBO1.110 1×10-26.422 3×10-3改进TLBO7.416 1×10-33.723 9×10-3Rastrigin标准TLBO4.745 7×10-31.293 7×10-2改进TLBO9.842 2×10-68.301 2×10-5

设置γ=π/2,永磁体剩磁为1.18 T,永磁体矫顽力为992 kA/m,电磁铁加载电压为12 V,电磁铁加载电流为0.17 A,d1=14.5 mm,Zm=400,g=63 mm, x∈[0,63],y∈[0,20],h∈[5,20],w∈[5,20],N∈[4,10]。采用改进的TLBO算法及标准TLBO算法对电磁结构优化数学模型进行求解,结果如图4所示。可看出改进TLBO算法在第4代快速收敛,适应度值为0.134×102;标准TLBO算法经历2次收敛,适应度值为4.615×102;改进的TLBO算法的收敛速度和精度均高于标准TLBO算法。

图4 改进的TLBO算法和标准TLBO算法性能对比
Fig.4 Performance comparison between improved TLBO algorithm and standard TLBO algorithm

2.3 优化结果

通过改进的TLBO算法对电磁结构优化数学模型进行求解,限于电磁结构中Halbach阵列的安装制造条件和算法迭代过程的随机性,取10次计算结果的平均值并进行圆整,得到电磁结构优化参数:Halbach阵列中单个永磁体高7 mm、宽9 mm,永磁体块数为7。

3 实验验证

3.1 仿真结果

根据基于Halbach阵列的电磁结构参数优化结果,设Halbach阵列中单个永磁体高7 mm、宽9 mm,永磁体块数为7,仿真得到不同位置下磁感应强度,如图5(a)所示,可看出基于Halbach阵列的电磁结构在x=30 mm,y=10 mm处存在最大磁感应强度,满足磁感应强度分布范围约束条件。在x=30 mm,y=10 m位置处,仿真得到不同Halbach阵列尺寸下磁感应强度,如图5(b)所示,可看出Halbach阵列中单个永磁体高7 mm、宽9 mm时对应的电磁结构存在最大磁感应强度。

图5 不同位置和尺寸下磁感应强度分布
Fig.5 Magnetic induction intensity distribution under different positions and sizes

3.2 测试结果

搭建电磁结构实验装置,如图6所示(铝合金框架中存在凹槽),将Halbach阵列(阵列中单个永磁体高7 mm、宽9 mm,永磁体块数为7)与对应尺寸的永磁体(高7 mm、宽63 mm)分别放入凹槽内。电磁铁尺寸为高43 mm、宽63 mm、长32 mm。

图6 电磁结构实验装置
Fig.6 Experimental apparatus of electromagnetic structure

如图6(a)所示,分别在10 mm气隙处相邻间隔4 mm的Pj点(j=0,1,2,3,4,5,6,7,8,9,10)测量磁感应强度。为减少测量误差,测量5次取平均值,结果见表3、表4。

表3 基于永磁体的电磁结构磁感应强度
Table 3 Magnetic induction intensity of electromagnetic structure based on permanent magnet 10-3T

序号P0P1P2P3P4P5P6P7P8P9P101-12.63-13.39-15.45-18.45-18.55-21.41-21.11-20.12-17.45-15.33-11.232-12.68-13.53-15.49-18.50-18.56-21.42-21.67-20.11-17.49-15.46-11.183-12.61-13.42-15.78-18.46-18.58-21.52-21.35-20.96-17.31-15.37-11.084-12.71-13.45-15.77-18.51-18.51-21.36-21.27-20.05-17.46-15.41-11.125-12.72-13.41-15.76-18.43-18.60-21.54-21.30-19.51-17.44-15.58-11.04平均值-12.67-13.44-15.65-18.47-18.56-21.45-21.34-20.15-17.43-15.43-11.13

表4 基于Halbach阵列的电磁结构磁感应强度
Table 4 Magnetic induction intensity of electromagnetic structure based on Halbach array 10-3T

序号P0P1P2P3P4P5P6P7P8P9P1019.239.21-6.32-8.71-10.11-16.45-20.44-28.46-30.42-27.05-20.1227.999.45-6.22-8.69-10.45-16.79-20.49-28.77-31.46-27.43-20.7838.6710.34-6.33-8.49-10.03-16.87-20.38-28.94-32.66-27.48-20.7348.4510.44-6.72-8.91-10.14-16.74-20.34-28.37-32.39-27.43-20.1057.9113.01-6.46-8.85-10.02-16.95-20.55-29.91-31.47-28.06-19.92平均值8.4510.49-6.41-8.73-10.15-16.76-20.44-28.89-31.68-27.49-20.33

根据表3、表4中不同Pj点处磁感应强度平均值,得到磁感应强度分布曲线,如图7所示。可看出基于Halbach阵列的电磁结构最大磁感应强度位于x=32 mm处,与仿真结果接近;基于永磁体的电磁结构最大磁感应强度为0.021 45 T,基于Halbach阵列的电磁结构最大磁感应强度为0.031 68 T,增幅达47.69%。

图7 磁感应强度分布
Fig.7 Distribution of magnetic induction intensity

4 结语

针对磁悬浮带式输送机,提出了一种基于Halbach阵列的电磁结构。以电磁结构磁感应强度最大为目标函数,以电磁结构尺寸和磁感应强度分布范围为约束条件,建立了电磁结构优化数学模型。为避免陷入局部最优,利用改进的TLBO算法对电磁结构优化数学模型进行求解,得到电磁结构优化参数:Halbach阵列中单个永磁体高7 mm、宽9 mm,永磁体块数为7。通过实验验证了电磁结构优化参数的有效性,且相同尺寸条件下,基于Halbach阵列的电磁结构最大磁感应强度相对基于永磁体的电磁结构提高了47.69%。该优化的电磁结构不但可以降低磁悬浮带式输送机设计成本,还能降低电流损耗,提高工作效率。

参考文献(References):

[1] 丁文涛,朱金波,闵凡飞,等.对磁悬浮式带式输送机的探索与研究[J].矿山机械,2012,40(5):59-61.

DING Wentao,ZHU Jinbo,MIN Fanfei,et al.Exploration and study on maglev type belt conveyor[J].Mining & Processing Equipment,2012,40(5):59-61.

[2] 胡坤,刘杨,王方涛,等.永磁悬浮带式输送机悬浮支撑系统稳定性研究[J].工矿自动化,2018,44(1):79-84.

HU Kun,LIU Yang,WANG Fangtao,et al.Research on stability of suspension support system of permanent magnetic suspension belt conveyor[J].Industry and Mine Automation,2018,44(1):79-84.

[3] 董润鹏,庄劲武,胡鑫凯.基于田口算法的电磁铁结构的优化设计[J].电测与仪表,2020,57(15):147-152.

DONG Runpeng,ZHUANG Jinwu,HU Xinkai.Optimal design of electromagnet structure based on Taguchi method[J].Electrical Measurement & Instrumentation,2020,57(15):147-152.

[4] 梅亮,刘景林,付朝阳.电磁铁吸力计算及仿真分析研究[J].微电机,2012,45(6):6-9.

MEI Liang,LIU Jinglin,FU Zhaoyang.Calculation of electromagnet attractive force and simulation analysis[J].Micromotors,2012,45(6):6-9.

[5] 满军,丁凡,李勇,等.耐高压大行程高速开关电磁铁的动态特性[J].煤炭学报,2010,35(5):871-875.

MAN Jun,DING Fan,LI Yong,et al.Dynamic characteristics of high-pressure long-stoke high-speed on-off solenoid[J].Journal of China Coal Society,2010,35(5):871-875.

[6] 郑明华,刘少克.基于Maxwell的混合悬浮电磁铁电磁特性研究[J].微特电机,2009,37(12):13-14.

ZHENG Minghua,LIU Shaoke.Electromagnetic characteristic study of mixed suspension electrmagnets based on Maxwell[J].Small & Special Electrical Machines,2009,37(12):13-14.

[7] 梁中华,李庆江,吴红波.电磁铁线圈电感对混合磁悬浮系统快速性的影响[J].沈阳工业大学学报,2008(4):389-393.

LIANG Zhonghua,LI Qingjiang,WU Hongbo.Influence of electromagnet inductance on rapidity of hybrid magnetic suspension system[J].Journal of Shenyang University of Technology,2008(4):389-393.

[8] 程博,潘光,毛昭勇.轴向磁通电机中Halbach阵列永磁体的解析优化方法[J].西安交通大学学报,2020,54(10):77-83.

CHENG Bo,PAN Guang,MAO Zhaoyong.Analytical optimization method for the Halbach array of permanent magnet in axial flux motor[J].Journal of Xi'an Jiaotong University,2020,54(10):77-83.

[9] 杜傲然,钱斌,胡蓉,等.改进TLBO算法求解绿色零等待流水线调度问题[J].控制工程,2019,26(12):2218-2224.

DU Aoran,QIAN Bin,HU Rong,et al.Modified teaching-learning-based optimization algorithm for no-wait flow-shop green scheduling problem[J].Control Engineering of China,2019,26(12):2218-2224.

[10] 吴云鹏,崔佳旭,张永刚.一种新的结合奖励机制的ETLBO算法[J].吉林大学学报(理学版),2019,57(6):1416-1424.

WU Yunpeng,CUI Jiaxu,ZHANG Yonggang.A new ETLBO algorithm combined with reward mechanism[J].Journal of Jilin University(Science Edition),2019,57(6):1416-1424.

[11] 王涵,江志刚,张华,等.基于目标级联的废旧机械装备多目标优化再设计方法研究[J].机械工程学报,2019,55(3):147-153.

WANG Han,JIANG Zhigang,ZHANG Hua,et al.Research on multi-objective optimization redesign method for used mechanical equipment based on analytical target cascading[J].Journal of Mechanical Engineering,2019,55(3):147-153.

[12] HALBACH K.Application of permanent magnets in accelerators and electron storage rings[J].Journal of Applied Physics,1985,51(1):3605-3608.

[13] 陈殷,张昆仑.Halbach永磁阵列空间磁场的解析计算[J].磁性材料及器件,2014,45(1):1-4.

CHEN Yin,ZHANG Kunlun.Analytic calculation of the magnetic field created by Halbach permanent magnets array[J].Journal of Magnetic Materials and Devices,2014,45(1):1-4.

[14] RAO R V,SAVSANI V J,VAKHARIA D P.Teaching-learning-based optimization: a novel method for constrained mechanical design optimization problems[J].Computer-Aided Design,2011,43(3):303-315.

[15] RAO R V,SAVSANI V J,VAKHARIA D P.Teaching-learning-based optimization: an optimization method for continuous non-linear large scale problems[J].Information Sciences,2012,183(1):1-15.

[16] 拓守恒,雍龙泉,邓方安.“教与学”优化算法研究综述[J].计算机应用研究,2013,30(7):1933-1938.

TUO Shouheng,YONG Longquan,DENG Fang'an.Survey of teaching-learning-based optimization algorithms[J].Application Research of Computers,2013,30(7):1933-1938.

Optimization of electromagnetic structure of magnetic levitation belt conveyor

HU Kun1,2, JIANG Hao2, JI Chenguang2, PAN Ze2

(1.State Key Laboratory of Mining Response and Disaster Prevention and Control in Deep Coal Mine, Anhui University of Science and Technology, Huainan 232001, China; 2.School of Mechanical Engineering, Anhui University of Science and Technology, Huainan 232001, China)

AbstractThe conventional magnetic levitation belt conveyor adopts the electromagnetic structure composed of permanent magnets and electromagnets, which has the problems of easy heat generation and high current loss under the working conditions with high demand of magnetic levitation support force. To solve this problem, an electromagnetic structure based on Halbach array is proposed in this study. The mathematical model of electromagnetic structure optimization is established with the maximum magnetic induction intensity of electromagnetic structure as the objective function and the size of electromagnetic structure and the range of magnetic induction intensity distribution as the constraints. When solving the mathematical model of electromagnetic structure optimization, the Teaching and Learning Optimization (TLBO) algorithm is easily to fall into the local optimum. To solve this problem, an improved TLBO algorithm is proposed so as to enhance the diversity and search ability of the population by introducing new populations through screening and improving the learning methods in the teaching stage and mutual learning stage. The test results show that the accuracy and stability of the improved TLBO algorithm are better than the standard TLBO algorithm. The improved TLBO algorithm is used to solve the electromagnetic structure optimization mathematical model of the magnetic levitation belt conveyor. The optimal electromagnetic structure parameters are obtained as follows: the height of a single permanent magnet in Halbach array is 7 mm, the width is 9 mm, and the number of permanent magnets is 7. The experimental results show that under the same size conditions, the maximum magnetic induction intensity of the Halbach array-based electromagnetic structure is increased by 47.69% compared with the permanent magnet-based electromagnetic structure.

Key words:magnetic levitation belt conveyor; electromagnetic structure; Halbach array; teaching and learning optimization algorithm; constrained optimization problem

文章编号1671-251X(2021)02-0052-06

DOI:10.13272/j.issn.1671-251x.2020050068

中图分类号:TD528.1

文献标志码:A

收稿日期:2020-05-25;修回日期:2021-02-01;责任编辑:盛男。

基金项目:国家自然科学基金资助项目(51874004,51641501,51904007)。

作者简介:胡坤(1981-),男,安徽淮南人,教授,博士,主要研究方向为矿山连续运输机械,E-mail:hk924@126.com。

引用格式:胡坤,蒋浩,季晨光,等.磁悬浮带式输送机电磁结构优化[J].工矿自动化,2021,47(2):52-57.

HU Kun,JIANG Hao,JI Chenguang,et al.Optimization of electromagnetic structure of magnetic levitation belt conveyor[J].Industry and Mine Automation,2021,47(2):52-57.