双耦合LCL拓扑ICPT系统的强抗偏移方法研究

简殷文, 程志江, 陈星志, 杨涵棣

(新疆大学 电气工程学院,新疆 乌鲁木齐 830047)

摘要感应耦合式电能传输(ICPT)系统在线圈偏移时会造成输出功率和输出电压波动,现有的抗偏移方法存在过于依赖系统建模且自适应性较差的问题,且大多没有考虑耦合系数连续变化对系统输出特性的影响。针对上述问题,以基于DDQ线圈的双耦合LCL拓扑ICPT系统为研究对象,提出了一种基于变论域的模糊自适应控制的强抗偏移方法。首先通过电路分析推导出双耦合LCL拓扑ICPT系统的输出功率表达式,得到输出功率与耦合系数及系统参数之间的关系;然后借助有限元分析软件ANSYS对DDQ线圈进行三维磁场建模,得到了耦合系数与线圈偏移量之间的对应关系,在此基础上,以得到的3组偏移量与耦合系数的对应值为数据,并以系统输出功率波动的偏差平方和为目标函数,提出了基于自适应粒子群的ICPT系统参数优化方法,得到输出功率波动最小的一组系统最优参数值,一定程度上提升了系统的抗偏移性能;最后采用基于变论域的模糊自适应控制方法,通过动态调节PID控制系数的修正值实现快速调节负载端电压的目的,以使系统输出较高的功率。仿真结果表明:该方法解决了现有方法存在的自适应性较差的问题,能很好地适应耦合系数连续变化的工况,具有较好的适应性和控制效果,提升了ICPT系统的强抗偏移性能,维持了负载端输出电压的基本恒定。

关键词感应耦合式电能传输系统;双耦合LCL;线圈偏移;输出功率;耦合系数;自适应粒子群;变论域;ICPT;DDQ

0 引言

与传统有线充电方式相比,无线电能传输(Wireless Power Transmission, WPT)方式具有物理隔离、免受恶劣环境影响、方便灵活的优点,已成为国内外最受关注的研究热点之一。WPT技术主要包含2类[1],即磁耦合谐振式无线电能传输(Magnetically Coupled Resonant Wireless Power Transmission, MCR-WPT)技术和感应耦合式无线电能传输(Inductively Coupled Wireless Power Transmission, ICPT)技术。MCR-WPT技术在电路拓扑选择上只有两线圈或四线圈的串联型[2-3],工作频率必须与系统固有谐振频率一致,应用具有局限性。ICPT技术在电路拓扑上具有更多选择[4],工作频率与系统谐振频率也没有严格的一致性要求,具有较广泛的应用场景[5-6]。由于ICPT系统的能量是单向传输的,发射线圈与接收线圈相对位置是维持较高耦合系数和输出功率的关键。目前针对ICPT系统线圈的研究普遍是对上下平行的线圈结构进行研究,但是在实际应用中,如在易受外部环境影响的煤矿井下等特殊应用场合,线圈难免会发生一定程度上的水平和垂直方向的偏移,这将导致系统的输出功率产生剧烈的波动,甚至会影响系统的稳定性。

为了提升ICPT系统的抗偏移性能,国内外的研究者进行了大量的研究,这些研究主要集中在拓扑结构、参数优化、磁耦合机构和闭环控制等的设计和改进上。

在拓扑结构方面,文献[7]提出了LCC-S和S-LCC的原边并联副边串联混合拓扑结构,在DDQ(Double D Quadrant,双D形正交)线圈交叉耦合为零时具有抗偏移恒压输出特性。文献[8]提出了LCL-LCL和CL-CL的串联混合拓扑结构,利用串联谐振电容平抑了一定范围偏移时带来的输出功率的波动。但是这2种新型拓扑的储能元件耗材较多,并且依靠拓扑本身的特性实现抗偏移的范围和能力都有限。

在参数优化方面,文献[9]通过对原副边的自阻抗系数进行优化求解,与谐振状态下的系统相比,参数优化后的系统电压增益波动比例下降了31.3%。文献[10]以S/CLC拓扑结构为例,提出了一种基于粒子群的参数优化方法,实现了线圈小偏移下的恒压输出。

在磁耦合机构方面,文献[11]提出了一种新型非对称耦合机构,虽然耦合系数要比圆形、方形和DD线圈低,但该机构在出现偏移时,具有更好的抗偏移性能。文献[12]通过多目标优化方法对典型的4类(圆形、方形、DD型、DDQ型)线圈的多个目标进行了优化求解,结果表明优化后DDQ线圈在抗偏移性能上比圆形、方形和DD型线圈更具优势。

在闭环控制方面,文献[13]通过对ICPT系统进行广义状态空间法建模,并设计了自适应性强的鲁棒控制器,在一定范围实现了恒流输出。文献[14]提出了一种基于输入阻抗相角的控制方法,使系统在出现线圈偏移时,仍能以最优效率运行在额定功率下。但是这2种常规控制方法的效果过于依赖系统建模的精确性,在外部强干扰下,系统自适应能力还有待商榷。

以上抗偏移方法在一定程度上能够提升ICPT系统的抗偏移能力,但都没有考虑耦合系数连续变化对系统输出特性的影响。针对以上问题,为了提升ICPT系统的抗偏移性能,本文以基于DDQ线圈的双耦合LCL拓扑ICPT系统为研究对象,提出了一种基于变论域的模糊自适应控制的强抗偏移方法。首先推导出了系统输出功率关系表达式,得到了输出功率与耦合系数及系统参数之间的关系;然后通过ANSYS对DDQ线圈进行了三维建模,得到了耦合系数与偏移距离之间的对应关系,在此基础上,提出了一种基于自适应粒子群的参数优化方法,对ICPT系统参数进行优化,得到了一组输出功率波动最小的系统最优参数值,一定程度上提升了系统的抗偏移性能;最后采用变论域的模糊自适应控制方法,通过动态调节PID控制系数的修正值实现快速调节负载端电压的目的,以使系统输出较高的功率。仿真验证了该方法的有效性。

1 双耦合LCL拓扑ICPT系统

基于DDQ线圈的双耦合LCL拓扑ICPT系统电路如图1所示,谐振电感LP和LS组成了一对耦合传能线圈,为系统提供了一个新的能量传输通道。

图1 基于DDQ线圈的双耦合LCL拓扑ICPT系统电路

Fig.1 Circuit of dual-coupled LCL topology ICPT system based on DDQ coil

图1中LP、LT、LS、LR为原副边耦合线圈的等效电感,CP、CT、CS、CR为原副边电路的谐振电容,MT-RMP-SMP-RMT-S为原副边耦合线圈之间的互感,IPITIRIS为原副边耦合线圈的电流,Vin为输入电压,VP为逆变桥输出电压,VS为整流桥输入电压,V0为负载端电压。

对系统电路进行解耦后,根据基尔霍夫电压定律(Kirchhoff Voltage Law,KVL)列写方程并整理可得

(1)

式(1)中的自阻抗和互阻抗分别为

(2)

式中:ω为系统角频率;M为互感。

互感M可用耦合系数k表示:

(3)

式中kT-RkP-SkP-RkT-S为原副边线圈对应的耦合系数。

要使电压与电流间相位角为0,应使LPCP谐振,LTCT组成的等效电感与CP谐振;同时LSCS谐振,LRCR组成的等效电感与CP谐振,其谐振关系可表示为

(4)

将式(2)—式(4)代入式(1),可求解耦合线圈中的电流,系统的输出功率表达式又可由负载端的电压和电流各自绝对值的乘积来表达,设VP=VS,则输出功率表达式为

P0=

(5)

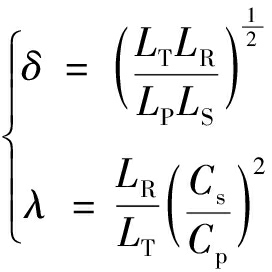
式(5)中的系统参数δλ的定义如下:

(6)

由式(5)不难发现,线圈发生偏移时,耦合系数kT-R的降低将影响到系统输出功率的稳定性。要想提升系统本身的抗偏移性能,就要求输出功率在线圈偏移时基本恒定。由式(5)可得出结论:要减小偏移下输出功率的波动程度,δ取值应适当大一些,λ取值应适当小一些,从而减小耦合系数kT-R降低所带来的影响。

2 DDQ线圈偏移下的耦合变化规律

DDQ线圈本身的结构特性能使原边或副边的DD线圈与Q线圈实现自解耦,即对应的耦合系数为0,当原副边线圈正对时,只存在2组主耦合系数kT-RkP-S;而X方向偏移时由于交叉耦合的产生,使系统传递到副边的能量并不会因为偏移而急剧减少,因此选择在X方向本身就具备一定抗偏移能力的DDQ线圈为研究对象。

为了研究式(5)中耦合系数k与线圈垂直、水平偏移距离之间的对应关系,借助有限元仿真软件ANSYS对DDQ线圈进行三维磁场建模。由于δ取值要适当大一些,λ取值要适当小一些,根据式(6)可假设:LTLR的值要比LPLS的值稍大一些,且LT的值要比LR大,LP的值要比LS稍小。所以,原边线圈DD和Q的尺寸设为420 mm×420 mm,副边线圈DD和Q的尺寸设为320 mm×320 mm,线圈的垂直高度设为100 mm,DDQ线圈模型如图2所示。通过参数化建模求解,分别得到了X,Y,Z3组偏移量和耦合系数之间的关系曲线,如图3—图5所示。

图2 DDQ线圈模型

Fig.2 DDQ coil model

图3 X方向偏移下的耦合系数变化曲线

Fig.3 Variation curves of coupling coefficient under X-misalignments

图3验证了DDQ线圈本身的特性,在X方向出现偏移时,线圈并不具备完全的自解耦能力,虽然零偏移时4组交叉耦合系数都为0,但随着X方向偏移量的增加,交叉耦合系数kP-RkT-S的绝对值也增大,而2组主耦合系数kT-RkP-S值减小。从图4和图5可看出,DDQ线圈在YZ方向出现偏移时,线圈本身就具备了良好的自解耦能力,偏移量为0时线圈的耦合系数最大,随着偏移量的增加,除了2组主耦合系数kT-RkP-S减小外,其余4组交叉耦合系数均不受偏移变化的影响。

图4 Y方向偏移下的耦合系数变化曲线

Fig.4 Variation curves of coupling coefficient under Y-misalignments

图5 Z方向偏移下的耦合系数变化曲线

Fig.5 Variation curves of coupling coefficient under Z-misalignments

3 基于自适应粒子群的参数优化法

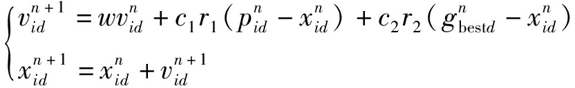
粒子群优化(Particle Swarm Optimization,PSO)算法是假设在一个D维目标搜索空间中,有N个粒子组成一个群体,其中第i个粒子的位置可表示为一个D维的向量:Xi=(xi1,xi2,…,xiD),i=1,2,…,N;第i个粒子的飞行速度也是一个D维向量:Vi=(vi1,vi2,…,viD);第i个粒子搜索到的最优位置为个体极值:pbest=(pi1,pi2,…,piD);整个种群搜索到的最优位置为全局极值:gbest=(gbest1,gbest2,…,gbestD)。

每个粒子在寻找最优值的过程中,速度和位置更新公式为

(7)

式中:vid为第i个粒子第d维的速度;n为迭代次数;w为惯性权重;pid为第i个粒子第d维的适应值;xid为第i个粒子第d维的位置;gbestd为种群最优位置第d维的极值;c1c2为学习因子或加速常数;r1r2为[0,1]范围内的均匀随机数。

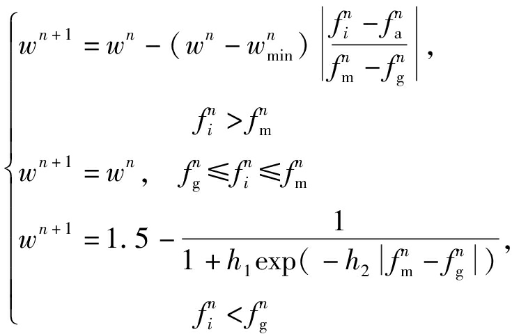
本文中w采用自适应权重法计算,对于当前位置较好的粒子,为了提高其局部搜索能力,应该适当减小粒子的惯性权重;对于当前位置较差的粒子,由于在小区域内很难再获得种群最优解,为了加速粒子向种群最佳位置的逼近能力,应该适当增大惯性权重。

设定粒子pi的适应值为fi,最优粒子适应值为fm,粒子群的平均适应值为fa,对优于平均适应值的粒子适应值求平均,平均值记为fg,并定义h1h2两个权重控制系数。将整个种群分别进行如下自适应操作:

(8)

为了研究系统参数δλ对系统输出特性的影响程度,以X方向为例,将图3所示X方向偏移时对应的各组耦合系数值代入式(5),将λ设为定值1,δ设为变量,得到了不同系统参数取值下的归一化输出功率,如图6所示。

图6 X方向偏移下的归一化输出功率

Fig.6 Normalized output power under X-misalignment

从图6可看出,随着X方向偏移量的增加,系统在某些参数下的输出功率要比零偏移下的输出功率高很多,这将严重影响系统稳定性,并且在实际充电过程中,电池两端电压过高,会造成很大的安全隐患。因此,合理设计系统参数δλ,维持一定偏移范围内输出功率的稳定就变得尤为重要。

为了提升ICPT系统开环状况下的抗偏移能力,提取XYZ 3组偏移下耦合系数的对应值,将线圈零偏移时的输出功率设为额定功率P1,任意偏移下的瞬时功率设为P2,输出功率波动偏差为P1-P2。要实现线圈偏移下输出功率波动最小,粒子的适应度被定义为系统输出功率波动的偏差平方和,算法运行结果如图7所示。

图7 粒子适应度变化

Fig.7 Change of particle fitness

从图7可看出,算法在迭代了20次左右时,粒子适应度基本稳定,此时对应的最优系统参数δ=9.46,λ=0.61,即发生偏移时系统按最优参数配置可实现输出功率波动值最小。

4 基于变论域的模糊自适应控制方法

在第3部分的基础上,ICPT系统实现了X方向小范围偏移时输出功率的基本恒定,这主要是因为DDQ线圈在X方向出现偏移时产生了交叉耦合,使系统传递到二次侧的能量并不会因偏离量的增加而急剧减少,所以,系统在X方向具备了一定的抗偏移能力,但对YZ方向的抗偏移能力提升并不是很大。为了进一步提升ICPT系统的强抗偏移性能,提出了基于变论域的模糊自适应控制方法。传统模糊控制规则是根据专家经验提前设计的,在系统发生连续扰动或工况发生变化时,很难及时做出调整,达不到预期的控制效果。变论域模糊自适应控制是根据实时的采样误差,不断通过伸缩因子或模糊推理来调整模糊论域的范围,在不增加控制规则的情况下,可提升系统的控制精度和动静态性能。

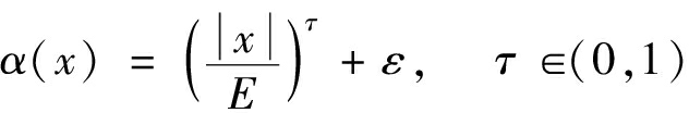
目前伸缩因子有函数形式和模糊推理形式2种。基于函数形式的伸缩因子具有形式简单、便于实现的特点,本文的控制方法采用了基于函数形式的伸缩因子,其常见形式为

α(x)=1-γexp(-qx2), γ∈(0,1),q>0

(9)

(10)

(11)

式中:E为输入变量误差ej的范围边界值;ε为充分小正数;Kj为积分系数;sj为输入变量的权值系数;z为输入变量的个数;β(0)为输出论域的初值。

在控制器搭建过程中,基于变论域的模糊自适应控制的输入和输出模糊集合为{NB,NM,NS,ZE,PS,PM,PB},对应的语言变量值为{负大,负中,负小,零,正小,正中,正大},输入论域采用式(10)所示的函数伸缩因子。考虑到式(11)中积分项运算量较大,可能无法满足输出实时性和快速性的要求,并且在输出论域上采用统一伸缩因子,并不能同时符合3个输出模糊变量的变化趋势,因此,输出论域采用的是模糊推理方式,输入模糊变量同样是eec,3个输出论域伸缩因子的模糊集合为{VS,S,M,B,VB},对应的语言变量值为{负大,负小,零,正小,正大},基于变论域的模糊自适应控制方法的控制框图如图8所示。

图8 基于变论域的模糊自适应控制方法的控制框图

Fig.8 Control block diagram of fuzzy self-adaptive control method based on variable universe

将负载端的电压Ur与电压参考值Uset之间的偏差e和偏差变化率ec作为模糊控制器和伸缩因子的输入量,而模糊控制器的输出量是PID控制系数的3个修正值,控制量u 通过调节移相角θ的大小来控制逆变桥电压的输出,以此来降低系统发生偏移时对负载端电压的影响。

5 仿真验证

利用Matlab/Simulink仿真软件搭建了一个基于双耦合LCL拓扑的ICPT系统,以验证基于变论域的模糊自适应控制方法的有效性。系统的标称参数如下:直流电压源输入电压为60 V,工作频率为85 kHz;基于最优系统参数(δ=9.46,λ=0.61)可计算出原副边耦合线圈的等效电感LT=300 μH,LR =200 μH,LP=25.2 μH,LS=26.5 μH;原副边电路的谐振电容CT=12.7 nF,CR=20.2 nF,CP=139.2 nF,CS=132.4 nF。

将偏移下对应耦合系数值代入搭建好的ICPT系统的模型中,验证系统在耦合系数连续变化工况下的控制效果。通过将偏移下的负载端电压与电压参考值之间的偏差、偏差变化率作为变论域模糊自适应控制、模糊自适应PID以及传统PID三种控制方法的输入,输出为控制量u,通过控制移相角θ来调节逆变桥的输出。3种控制方法的仿真结果如图9所示。

(a)线圈偏移连续增加时的工况

(b)线圈发生连续抖动时的工况

图9 耦合系数连续变化下的3种控制方法的控制效果

Fig.9 Control effect of three kinds of methods under the continuous variation of coupling coefficients

图9(a)为模拟线圈偏移连续增加时,即耦合系数连续降低工况下3种控制方法的控制效果。从图9(a)可看出,在启动阶段,基于变论域的模糊自适应控制上升时间最短,模糊自适应PID次之,传统PID效果最差。在0.15 s时开始出现偏移,一开始基于变论域的模糊自适应控制和模糊自适应PID控制都能在较短的时间内恢复到设定值,但随着偏移量的连续增加,模糊自适应PID控制和传统PID控制很难满足控制的实时性、快速性的要求。图9(b)为模拟线圈发生连续抖动时的3种控制方法的控制效果,在连续抖动工况下,电压偏差值将出现无规律性的增大或减小。可以看出,基于变论域的模糊自适应控制方法能很好地适应耦合系数连续变化的工况,提升了系统的强抗偏移性能,维持了负载端输出电压的基本恒定,其他2种传统控制方法已无法在此工况下恢复到设定电压,自适应性较差。

6 结论

(1)以基于DDQ线圈的双耦合LCL拓扑ICPT系统为研究对象,提出了一种ICPT系统强抗偏移方法。通过电路分析推导了输出功率与耦合系数及系统参数之间的关系表达式;借助有限元仿真软件ANSYS得到了三维偏移下DDQ线圈耦合系数的变化规律,在此基础上,提出了一种基于自适应粒子群的系统参数优化方法,对系统参数进行优化,避免了线圈偏移时系统输出功率波动过大对系统安全性带来的威胁;为了进一步提升系统整体的抗偏移性能,设计了一种基于变论域的模糊自适应控制方法,该方法通过动态调节PID控制系数的修正值,实现了快速调节负载端电压的目的。

(2)仿真结果表明:基于变论域的模糊自适应控制方法相对于常规控制方法,在耦合系数连续变化时具有更好的适应性和控制效果,克服了常规控制方法的局限性,提升了系统的强抗偏移性能,维持了负载端输出电压的基本恒定。

参考文献(References):

[1] 张波,疏许健,吴理豪等.无线电能传输技术亟待解决的问题及对策[J].电力系统自动化,2019,43(18):1-20.

ZHANG Bo, SHU Xujian, WU Lihao,et al.Problems of wireless power transmission technology urgent to be solved and corresponding countermeasures[J].Automation of Electric Power Systems,2019,43(18):1-20.

[2] 元士强,崔玉龙,王景芹,等.磁耦合谐振式无线电能传输系统的阻抗匹配方法研究[J].工矿自动化,2019,45(1):81-86.

YUAN Shiqiang, CUI Yulong, WANG Jingqin,et al.Research on impedance matching method for magnetic resonant coupling wireless power transmission[J].Industry and Mine Automation,2019,45(1):81-86.

[3] 乔振朋,王赛丽,郭果,等.线圈间距对磁谐振无线电能传输性能的影响[J].工矿自动化,2020,46(4):60-65.

QIAO Zhenpeng, WANG Saili, GUO Guo, et al.Influence of coil spacing on performance of resonant wireless power transmission system[J].Industry and Mine Automation, 2020,46(4):60-65.

[4] VU V B, TRAN D H, CHOI W.Implementation of the constant current and constant voltage charge of inductive power transfer systems with the double-sided LCC compensation topology for electric vehicle battery charge applications[J].IEEE Transactions on Power Electronics, 2017,33(9):7398-7410.

[5] KAN T, ZHANG Y, YAN Z,et al.A rotation-resilient wireless charging system for lightweight autonomous underwater vehicles[J].IEEE Transactions on Vehicular Technology,2018, 67(8):6935-6942.

[6] LI Z, ZHU C, JIANG J, et al.A 3 kW wireless power transfer system for sightseeing car supercapacitor charge[J].IEEE Transactions on Power Electronics,2016,32(5):3301-3316.

[7] CHEN Y, YANG B, KOU Z,et al.Hybrid and reconfigurable IPT systems with high-misalignment tolerance for constant-current and constant-voltage battery charging[J].IEEE Transactions on Power Electronics,2018,33(10):8259-8269.

[8] ZHAO L, THRIMAWITHANA D J, MADAWALA U K,et al.A misalignment-tolerant series-hybrid wireless EV charging system with integrated magnetics[J].IEEE Transactions on Power Electronics,2019,34(2):1276-1285.

[9] 任洁,刘野然,岳鹏飞,等.基于参数优化法的输出抗偏移感应电能传输系统研究[J].中国电机工程学报,2019,39(5):1452-1461.

REN Jie, LIU Yeran, YUE Pengfei, et al.Study on anti-misalignment inductive power transfer system based on parameter optimized method[J].Proceeding of the CSEE,2019,39(5):1452-1461.

[10] YAO Y, WANG Y, LIU X, et al.Particle swarm optimization-based parameter design method for S/CLC-compensated IPT systems featuring high tolerance to misalignment and load variation[J].IEEE Transactions on Power Electronics,2019,34(6):5268-5282.

[11] YAO Y, WANG Y, LIU X,et al.A novel unsymmetrical coupling structure based on concentrated magnetic flux for high-misalignment IPT applications[J].IEEE Transactions on Power Electronics,2019,34(4):3110-3123.

[12] BANDYOPADHYAY S, VENUGOPAL P, DONG J,et al.Comparison of magnetic couplers for IPT-based EV charging using multi-objective optimization[J].IEEE Transactions on Vehicular Technology,2019,68(6):5416-5429.

[13] 王立业,岳圆,王丽芳,等.基于负载和互感参数摄动的电动汽车无线充电控制[J].电力系统自动化,2018,42(15):178-185.

WANG Liye, YUE Yuan, WANG Lifang,et al.Wireless charging control for electric vehicle based on parameters perturbation of load and mutual inductance[J].Automation of Electric Power Systems,2018,42(15):178-185.

[14] LIU Y, MADAWALA U K, MAI R,et al.Zero-phase-angle controlled bidirectional wireless EV charging systems for large coil misalignments[J].IEEE Transactions on Power Electronics,2020,35(5):5343-5353.

Research on strong anti-misalignmemt methods of double-coupled LCL topology ICPT system

JIAN Yinwen, CHENG Zhijiang, CHEN Xingzhi, YANG Handi

(School of Electrical Engineering, Xinjiang University, Urumqi 830047,China)

AbstractInductively coupled power transmission(ICPT)systems cause fluctuations in output power and output voltage when the coil is offset.The existing anti-misalignmemt methods have the problems of relying too much on the system modeling and poor adaptivity.Most of the methods do not consider the impact on the system output characteristics when the coupling coefficient changes continuously.To address the above problems, taking the dual-coupled LCL topology ICPT system based on DDQ coils as the research object, the paper proposes a strong anti-misalignmemt method based on fuzzy adaptive control in variable universe.Firstly, the output power expression of the dual-coupled LCL topology ICPT system is derived from the circuit analysis, and the relationship between the output power, the coupling coefficient and system parameters is obtained.Secondly, by applying the finite element analysis software ANSYS, a three-dimensional magnetic field modeling of the DDQ coil is carried out to obtain the correspondence between the coupling coefficient and the coil offset.On the basis, the corresponding values of the three sets of offsets and the coupling coefficients are used as the data, and the square sum of deviations of the system output power fluctuations is taken as the objective function.Hence, the parameter optimization method of ICPT system based on adaptive particle swarm is proposed to obtain a set of optimal parameter values of the system under the minimum output power fluctuation and improve the anti-misalignmemt performance of the system to a certain extent.Finally, a fuzzy adaptive control method based on variable universe is used to achieve the purpose of quickly adjusting the load terminal voltage by dynamically adjusting the correction value of the PID control coefficient to make the system output higher power.The simulation results show that the method solves the problem of poor adaptivity of existing methods, adapts well to the working conditions with continuous changes of coupling coefficients, has better adaptability and control effect, improves the strong anti-misalignmemt performance of ICPT system, and maintains the basic constant output voltage at the load side.

Key words:inductively coupled power transmission system; dual-coupled LCL; coil offset; output power; coupling coefficient; adaptive particle swarm; variable universe; ICPT; DDQ

中图分类号:TD60

文献标志码:A

收稿日期:2020-08-10;修回日期:2020-12-30;责任编辑:张强。

基金项目:国家自然科学基金项目(51567022,51667020)。

作者简介:简殷文(1996-),男,湖南株洲人,硕士研究生,研究方为无线电能传输系统优化与控制,E-mail:1643681807@qq.com。

通信作者:程志江(1977-),男,新疆乌鲁木齐人,副教授,博士,硕士研究生导师,研究方向为可再生能源发电系统、微电网及储能控制系统、电力电子装置及其控制,E-mail:chenzhijiang@xju.edu.cn。

引用格式:简殷文,程志江,陈星志,等.双耦合LCL拓扑ICPT系统的强抗偏移方法研究[J].工矿自动化,2021,47(1):87-93.

JIAN Yinwen, CHENG Zhijiang, CHEN Xingzhi,et al.Research on strong anti-misalignmemt methods of double-coupled LCL topology ICPT system[J].Industry and Mine Automation,2021,47(1):87-93.

文章编号1671-251X(2021)01-0087-07

DOI:10.13272/j.issn.1671-251x.2020080036