大功率三电平PWM整流器是矿山四象限变频调速系统[1]与电网的接口,是实现“绿色变频”的关键设备。为减小对矿山电网的无功冲击与谐波污染,要求大功率三电平PWM整流器在接近单位功率因数的状态下运行,并对其网侧的电流谐波有较高要求[2]。此外,对于兆瓦级大功率三电平PWM整流器,其功率开关器件在动作过程中产生大量的热损耗[3],为实现设备可靠运行并提高其效率,大功率三电平PWM整流器必须以低开关频率运行。开关频率的降低使得传统电压矢量定向控制方法中脉宽调制的延时增加[4],并在网侧电流中引入较大的低次谐波,从而难以实现电网电流谐波与开关频率的同时优化[2]。
预测控制[5-6]根据系统离散数学模型对成本函数进行在线滚动优化,可实现多目标优化控制,且无需脉宽调制策略而易于实现,在大功率三电平PWM整流器控制中得到广泛应用。大功率三电平PWM整流器传统预测控制算法根据整流器的离散数学模型对电流或功率的轨迹进行预测,滚动寻优使得成本函数值最小的电压矢量作为控制输出[7-12]。传统预测控制的成本函数是将各个单一目标乘以权值系数并求和,从而将电流指令跟踪、中点电位调节与开关损耗降低等多目标优化转换为单目标优化问题[7-12]。然而,各目标之间深度耦合[13],且不同目标的量纲不同,需要进行权值系数优化设计。文献[14]研究了基于人工神经网络优化的权值系数设计方法,但需要大量离线数据且训练过程复杂。文献[15]提出了权值系数的简化设计方法,但未考虑开关损耗的优化,只适用于中小功率场合。
本文提出了一种大功率三电平PWM整流器无权值系数预测控制算法。通过引入目标跟踪误差容许界限区间(Allowable Range of Target Tracking Error,ARTTE)的概念,计算电流指令跟踪与中点电位调节目标下的Pareto优解集,并根据其是否为空集设计不同的成本函数,可克服传统预测控制权值系数设计复杂的问题,并有效降低开关损耗。
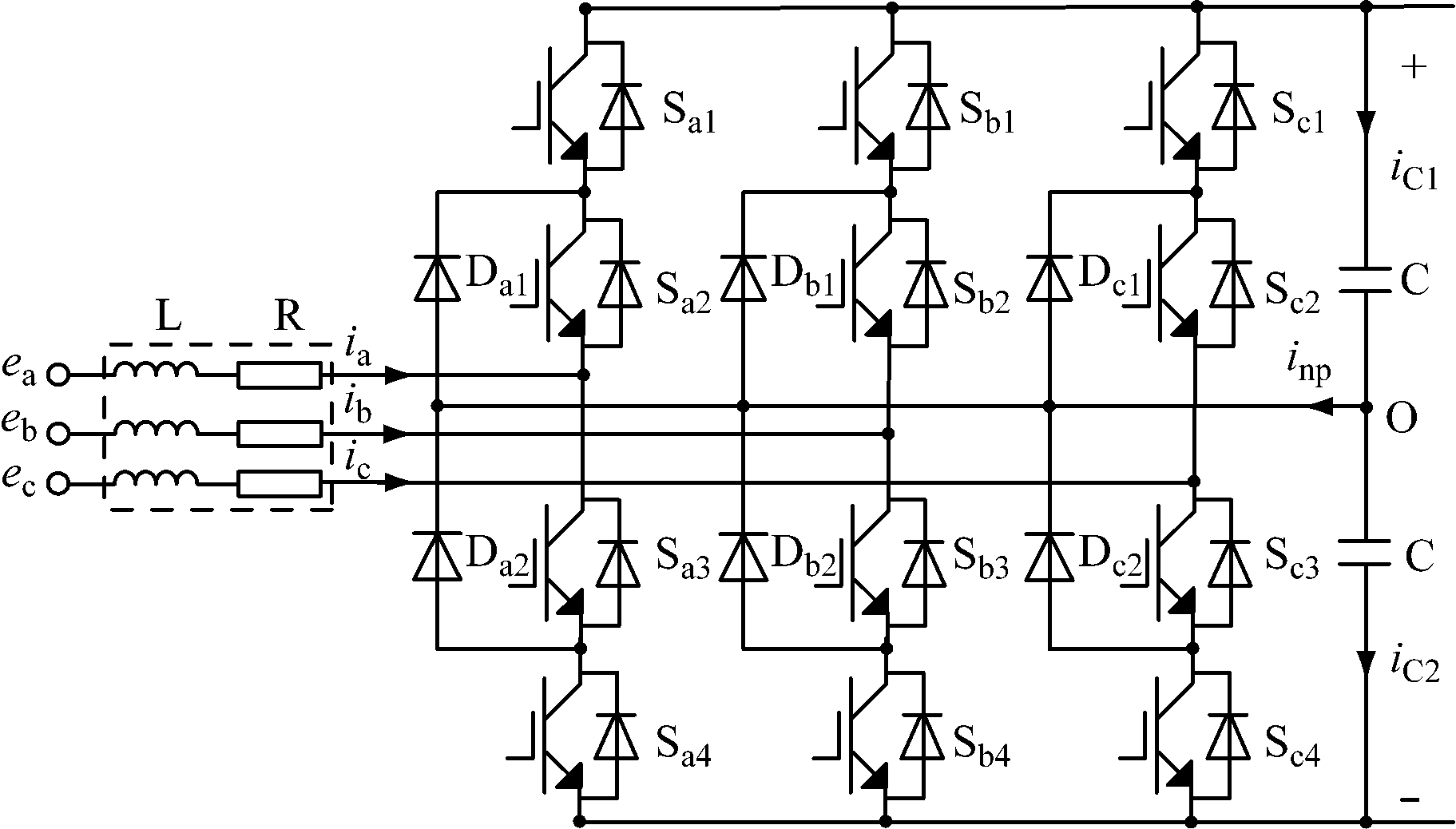
三电平PWM整流器拓扑结构如图1所示。ej,ij分别为j(j=a,b,c)相网侧电压与电流;L,R分别为进线电抗器的电感和电阻;Sj1—Sj4为j相功率开关器件;Dj1,Dj2为j相钳位二极管;C为上下直流母线电容;iC1,iC2分别为上下直流母线电容的电流;inp为中点电流;O为上下直流母线电容的公共点。
图1 三电平PWM整流器拓扑结构
Fig.1 Topology of three-level PWM rectifier
在两相同步旋转坐标系下,根据前向欧拉法可得三电平PWM整流器的电流微分方程离散化表达式:

(1)
式中:id,iq分别为网侧电流d,q轴分量;Ts为采样周期;k为采样周期序号;ed,eq分别为电网电压d,q轴分量;urd,urq分别为整流器网侧端口电压d,q轴分量;ωg为网侧电压角频率。
根据基尔霍夫电流定律,可得中点电位的离散方程:
Vc_e(k+1)=Vc_e(k)+inpTs/C
(2)
式中:Vc_e为中点电位,即上下直流母线电容电压的差值。
(3)
式中:Hj为j相的中点电流系数,当Sj2和Sj3导通时,Hj=-1,否则Hj=0。
式(1)与式(2)即三电平PWM整流器的离散数学模型。为实现多目标优化控制,传统预测控制采用赋权法将各个单一目标成本函数组合为多目标成本函数:
(4)
式中:g1(u)为成本函数;λ1,λ2分别为d,q轴电流指令跟踪目标的权值系数;λ3为中点电位调节目标的权值系数;λ4为开关损耗降低目标的权值系数;
分别为网侧电流d,q轴分量的参考值;
别为电压矢量u作用时网侧电流d,q轴分量的预测值;
为电压矢量u作用时中点电位的预测值;
为电压矢量u作用时三相桥臂开关总次数,其与三电平PWM整流器的开关损耗呈正相关关系。
(5)
式中:sj1(u),sj2(u)分别为电压矢量u作用时功率开关器件Sj1,Sj2的开关状态(0表示关断,1表示导通);sj1_L,sj2_L分别为上一个采样周期功率开关器件Sj1,Sj2的开关状态。
通过遍历预测大功率三电平PWM整流器27个电压矢量对应的成本函数值,选取使得成本函数值最小的电压矢量作为优化输出。
根据式(4)所建立的多目标成本函数可实现d轴电流指令跟踪、q轴电流指令跟踪、中点电位调节与开关损耗降低4个目标的优化,且通过4个权值系数的调节可实现不同目标重要程度的变更。然而,成本函数中4个目标的量纲不同,导致不同目标之间无法采用相同的标准进行度量,权值系数设计过程复杂,且难以实现多目标满意优化控制。
2.1 电流指令跟踪与中点电位调节的Pareto优解集计算
由于大功率三电平PWM整流器的离散工作特性,d,q轴电流指令跟踪与中点电位调节目标的控制误差不可避免。传统预测控制中单一目标成本函数设计的出发点在于最小化控制误差,从而实现单一目标的最优控制,但存在多个目标无法兼顾的缺陷。因此,本文引入ARTTE,追求单一目标的满意控制而非最优控制,最终实现d,q轴电流指令跟踪与中点电位调节目标的满意控制。
ARTTE的定义如式(6)所示,其中
分别为d,q轴电流与中点电位的控制误差容许界限值。当电压矢量u作用时,若d,q轴电流与中点电位的预测值满足式(6),则在下一个采样周期,d,q轴电流与中点电位均能被控制在各自的ARTTE内,因此电压矢量u为一个Pareto优解。定义所有满足式(6)的电压矢量组成的集合为J1。

(6)
在电流指令发生突变的动态过程中,由于多个目标互相矛盾,会存在J1为空集的情况。为缓解多个目标之间的矛盾性,将满足式(7)的电压矢量也定义为Pareto优解,其组成的集合定义为J2。
(7)
式中:
分别为上一个采样周期的d,q轴电流参考值。
定义集合J为J1与J2的并集,其物理含义是d,q轴电流指令跟踪与中点电位调节目标满意优化控制的Pareto优解集。在实际控制过程中,会出现J为空集和J不为空集的情况,以下将对2种情况下最优电压矢量的选取进行分析。
对于J为空集的情况,建立控制偏差程度衡量函数:
![]()
(8)
式中:t=1,2,3;μ1,μ2,μ3分别为d轴电流指令跟踪、q轴电流指令跟踪与中点电位调节目标的控制偏差程度衡量函数;εt,εt_Lim分别为控制偏差和控制偏差容许界限值。

(9)
设计d,q轴电流指令跟踪与中点电位调节目标成本函数g2(u),使得 g2(u)最小的电压矢量即为最优电压矢量,并作为控制输出。
![]()
(10)
由于μ1,μ2,μ3均没有量纲,不再存在因量纲不同而无法公共度量的问题,且式(10)中不包含权值系数,避免了传统预测控制算法权值系数的复杂设计过程。
J不为空集表明有1个或多个电压矢量能够满足电流指令跟踪与中点电位调节的满意优化控制。当J中存在多个电压矢量时,需要选取最优的电压矢量实现开关损耗降低的目标。大功率三电平PWM整流器的开关损耗取决于功率开关器件的平均开关次数,然而传统预测控制算法只以相邻2个采样周期间的开关次数来衡量开关损耗,衡量开关损耗的时间尺度过小,无法有效降低开关损耗。因此,本文在J不为空集的情况下,采用d,q轴电流与中点电位处于ARTTE的时间段内功率开关器件的平均开关次数来衡量开关损耗,以增加衡量开关损耗的时间尺度,并在此基础上建立一种新型开关损耗降低目标成本函数。
为不失一般性,选取iq的轨迹进行分析。在采样周期足够小的情况下,iq在第k+m1个采样周期的变化量为
(11)
iq穿越其ARTTE所需的周期数m1满足:

(12)
式中floor为向负无穷大方向取整函数。
定义id和中点电位穿越其ARTTE所需的周期数分别为m2与m3,则d,q轴电流与中点电位均处于ARTTE内的周期数为min(m1,m2,m3)。建立新型开关损耗降低目标成本函数:
![]()
(13)
通过遍历计算集合J中各电压矢量对应的g3(u),选取使得g3(u)最小的电压矢量作为最优电压矢量。
为验证本文无权值系数预测控制的有效性,在Matlab/Simulink软件中搭建额定功率为3 500 kW的大功率三电平PWM整流器仿真模型。仿真主要参数设置:电网电压为3 150 V/50 Hz;进线电抗器电感为1.5 mH;上下直流母线电容均为10 mF;采样周期为100 μs。仿真中直流母线电压的参考值为5 400 V,0~0.5 s直流侧电阻为16.67 Ω,对应功率为1 750 kW,在0.5 s时直流侧电阻突变为8.33 Ω,对应功率为3 500 kW。
采用传统预测控制算法的仿真结果如图2所示(仿真中权值系数λ1-λ4分别设置为1,1,1.2,3)。可看出会出现d轴电流指令跟踪误差较大的情况,在输出功率为1 750 kW时id最大波动值达632 A,在输出功率为3 500 kW时id最大波动值达721 A,可见多个目标的本质矛盾性使得传统预测控制算法下某个目标出现波动较大的情况。
(a)电流响应
(b)中点电位
图2 传统预测控制算法仿真结果
Fig.2 Simulation results of traditional predictive control algorithm
采用无权值系数预测控制算法的仿真结果如图3所示(仿真中
分别设置为80 A,80 A,100 V)。可看出d,q轴电流均被有效控制在设置的ARTTE内,没有出现图2(a)中d轴电流波动较大的情况,且中点电位也被有效控制在其ARTTE内,表明该算法能够实现电流指令跟踪与中点电位调节的多目标满意优化控制;在0.5 s负载突变时,该算法具有优越的动态性能。
(a)电流响应
(b)中点电位
图3 无权值系数预测控制算法仿真结果
Fig.3 Simulation results of predictive control algorithm without weighting coefficient
无权值系数预测控制算法下直流母线电压波形如图4所示。可看出稳态情况下直流母线电压维持在参考值5 400 V附近,而且在负载突变过程中可迅速恢复至参考值,表明该算法具有较好的动态性能。
图4 直流母线电压波形
Fig.4 Waveforms of DC bus voltage
无权值系数预测控制算法下输出功率为3 500 kW时的网侧相电压与相电流波形如图5所示。可看出二者相位几乎一致,功率因数接近1。图5中网侧相电流的谐波频谱分析结果如图6所示。可看出相电流正弦度较高,谐波总畸变率(Total Harmonic Distortion,THD)仅为4.6%。
图5 网侧相电压与相电流波形
Fig.5 Waveforms of grid-side phase voltage and current
图6 网侧相电流谐波频谱
Fig.6 Harmonic spectrum of grid-side phase current
不同预测控制算法下开关频率对比结果如图7所示。可看出传统预测控制算法下最大开关频率为966 Hz,无权值系数预测控制算法下最大开关频率为705 Hz,降低了约27%;在不同功率下无权值系数预测控制算法较传统预测控制算法能有效降低开关频率,从而有利于减小大功率三电平PWM整流器的开关损耗。
图7 开关频率对比结果
Fig.7 Comparison results of switching frequency
提出了一种大功率三电平PWM整流器无权值系数预测控制算法。在定义d,q轴电流指令跟踪与中点电位调节的ARTTE基础上,给出了电流指令跟踪与中点电位调节多目标满意优化控制的Pareto优解集计算方法;当Pareto优解集为空集时,设计了基于控制偏差程度衡量函数的d,q轴电流指令跟踪与中点电位调节目标成本函数,消除了传统预测控制中成本函数的权值系数;当Pareto优解集不为空集时,采用一种新型开关损耗降低目标成本函数,实现了整流器低开关频率控制。仿真结果验证了该算法的有效性。
[1] 丁刚.变频驱动液压绞车系统动态特性研究[J].工矿自动化,2019,45(2):79-84.
DING Gang.Research on dynamic characteristic of variable frequency drive hydraulic winch system[J].Industry and Mine Automation,2019,45(2):79-84.
[2] 张婷婷,袁庆庆,伍小杰,等.大功率三电平PWM整流器控制系统研究[J].电气传动,2013,43(6):64-67.
ZHANG Tingting,YUAN Qingqing,WU Xiaojie,et al.Study on the control system of high-power three-level PWM rectifier[J].Electric Drive,2013,43(6):64-67.
[3] 李娜,许燕萍,何凤有.矿山高压多电平ANPC变频调速系统损耗分析[J].工矿自动化,2014,40(11):61-65.
LI Na,XU Yanping,HE Fengyou.Loss analysis of frequency-conversion speed-regulation system of mine high-voltage multilevel ANPC[J].Industry and Mine Automation,2014,40(11):61-65.
[4] 吴翔,谭国俊,叶宗彬,等.三相电压源型逆变器的多目标满意优化脉宽调制策略[J].中国电机工程学报,2016,36(6):1674-1685.
WU Xiang,TAN Guojun,YE Zongbin,et.al.Pulse width modulation strategy for three-phase voltage source inverters based on multi-objective satisfactory optimization[J].Proceedings of the CSEE,2016,36(6):1674-1685.
[5] 张梅梅,郝剑奇.三相四开关逆变器供电的永磁同步电动机脉冲序列预测控制[J].工矿自动化,2019,45(5):79-84.
ZHANG Meimei,HAO Jianqi.Pulse sequence predictive control of permanent magnet synchronous motor power by three-phase four-switch inverter[J].Industry and Mine Automation,2019,45(5):79-84.
[6] PETKAR S G,KUMAR T V.Computationally efficient model predictive control of three-level open-end winding permanent-magnet synchronous motor drive[J].IET Electric Power Applications,2020,14(7):1210-1220.
[7] 曹晓冬,杨世海,纪峰,等.基于模型预测控制的防爆变频器低损耗控制[J].工矿自动化,2019,45(2):85-90.
CAO Xiaodong,YANG Shihai,JI Feng,et al.Low loss control of explosion-proof frequency converter based on model predictive control[J].Industry and Mine Automation,2019,45(2):85-90.
[8] 於静,莫修权,徐楠.矿山高压三电平ANPC变频器预测控制研究[J].工矿自动化,2016,42(10):85-90.
YU Jing,MO Xiuquan,XU Nan.Research on predictive control for mine high-pressure three-level ANPC inverter[J].Industry and Mine Automation,2016,42(10):85-90.
[9] ZHANG Zhenbin,HACKL C M,KENNEL R.Computationally efficient DMPC for three-Level NPC back-to-back converters in wind turbine systems with PMSG[J].IEEE Transactions on Power Electronics,2017,32(10):8018-8034.
[10] ZHANG Zhenbin,LI Zhen,KAZMIERKOWSKI M P,et al.Robust predictive control of three-level NPC back-to-back power converter PMSG wind turbine systems with revised predictions[J].IEEE Transactions on Power Electronics,2018,33(11):9588-9598.
[11] 梁营玉,刘涛,李岩,等.T型三电平VSC-HVDC系统模型预测灵活功率控制策略[J].电力自动化设备,2017,37(11):113-119.
LIANG Yingyu,LIU Tao,LI Yan,et al.Model predictive flexible power control strategy for T-type three-level converter based on VSC-HVDC[J].Electric Power Automation Equipment,2017,37(11):113-119.
[12] 曹晓冬,谭国俊,王从刚,等.一种低开关频率PWM整流器的满意预测控制策略[J].中国电机工程学报,2013,33(27):69-77.
CAO Xiaodong,TAN Guojun,WANG Conggang,et al.A research on low switching frequency PWM rectifiers with satisfactory and model predictive control[J].Proceedings of the CSEE,2013,33(27):69-77.
[13] 谭国俊,曹晓冬,王从刚,等.基于满意优化的三电平PWM整流器瞬时开关频率抑制方法[J].中国电机工程学报,2014,34(24):4057-4067.
TAN Guojun,CAO Xiaodong,WANG Conggang,et al.Instantaneous switching frequency suppression method for three-level PWM rectifier based on satisfactory optimization[J].Proceedings of the CSEE,2014,34(24):4057-4067.
[14] DRAGICEVIC T,NOVAK M.Weighting factor design in model predictive control of power electronic converters:an artificial neural network approach[J].IEEE Transactions on Industrial Electronics,2019,66(11):8870-8880.
[15] YANG Yong,WEN Huiqing,FAN Mingdi,et al.Fast finite-switching-state model predictive control method without weighting factors for T-type three-level three-phase inverters[J].IEEE Transactions on Industrial Informatics,2019,15(3):1298-1310.
CHENG Weiwei,WU Rui.Predictive control of high-power three-level PWM rectifier without weighting coefficient[J].Industry and Mine Automation,2021,47(1):81-86.