矿井多水平接力排水系统优化控制

韩秀琪

(北京天地玛珂电液控制系统有限公司, 北京 100013)

摘要矿井多水平接力排水系统的用电量非常大,为提高排水系统运行的经济性,需要优化排水系统控制,而目前的矿井多水平接力排水系统优化控制方法存在容易溢仓、水泵频繁启停等问题。针对上述问题,提出了一种矿井多水平接力排水系统优化控制策略。以各水平水仓水位必须处于最低水位与最高水位之间、各水平水仓排水量不小于涌水量为约束条件,1个排水周期内各水平用电成本之和最低为目标函数,建立了矿井多水平接力排水系统优化控制模型。通过在约束条件中引入裕量,避免了水泵频繁启停;利用灰色模型进行涌水量预测,以获得精确的水仓水位,避免了溢仓事故。应用结果表明,该优化控制策略在保证排水安全性的前提下,降低了排水系统用电成本。

关键词矿井排水控制; 多水平接力排水; 灰色模型; 涌水量预测; 水仓水位

0 引言

井下排水系统是煤矿生产六大系统之一,担负着井下积水排出任务,是保证煤矿安全生产的一个重要环节[1-3]。随着浅层资源的枯竭,矿井开采深度不断增大,生产水平数增多,排水系统需要多水平接力才能将积水排出。

矿井多水平接力排水系统的用电量非常大,消耗的电能占整个矿井生产耗电的20%左右[4-5]。为提高排水系统运行的经济性,需要优化排水系统控制[6]。程伦新[7]建立了排水系统的离散数学模型,利用动态规划法对排水系统进行分段决策控制,并通过求解数学模型获得最优控制策略,但忽略了水位随时间的变化量,容易造成溢仓。郭建伟[8]提出了基于水仓水位变化率的排水系统控制策略,提高了排水效率,却造成水泵频繁启停,影响水泵使用寿命。本文对矿井多水平接力排水系统控制进行优化,在水仓流量约束条件中引入裕量,利用灰色模型进行涌水量预测,依据水仓水位控制投入运行的水泵台数。

1 矿井多水平接力排水系统工作原理

在水仓和泵房构成的矿井多水平接力排水系统中,各水平泵房包括多台水泵(离心泵或潜水泵),根据涌水情况调整运行的水泵数量,提高水泵使用率;在保证水仓水位不超限的情况下,根据不同峰谷电价,采取“避峰就谷”原则,在用电高峰期减少水泵运行,尽量在电费低的时间段多排水[9-11]

水泵开停判断逻辑:判断水仓水位高低,当达到高水位时,判断电价是否处于谷段,若电价处于谷段则直接开启水泵,若电价处于峰段则继续判断水位是否达到限制水位,若达到限制水位则开启水泵,否则仍暂缓开启水泵;在排水的同时检测水位下降速率是否满足要求,若水位下降速率小于设定值,则增开水泵;水仓水位下降至低水位时停泵。

2 矿井多水平接力排水系统优化控制模型

将1个排水周期定为1个自然日,将24 h分成N个时间段。设矿井水平数为n,各水平设有1个水仓,泵房中配有m台水泵并联工作。水仓i(i=1,2,…,n,水仓按水平从低到高依次编号)配备的泵房中第j(j=1,2,…,m)台水泵在第k(k=1,2,…,N)时段的运行状态为表示水泵关闭,1表示水泵开启),则各水平水泵启停控制量为

(1)

假设水仓i配备的泵房中水泵单位时间耗电量为为水仓i配备的泵房中第j台水泵的单位时间耗电量),电价C(k)为随时间变化的周期函数。以1个排水周期的系统用电成本最低为目标函数:

(2)

在矿井多水平接力排水系统中,最低水平水仓1由本水平水泵将矿井涌水排入上一水平水仓,进入本水平水仓的只有矿井涌水。对于水仓2,3,…,n-1,除矿井涌水外还接收下一水平水仓的排水,并将本水平水仓中的水排入上一水平水仓。最高水平水仓n将水排至地面的水处理中心。将水仓i近似看作底面积为Si的标准圆柱体,则第k时段水仓i水位为

Li(k)=

Γi-1(k)Ui-1(k)-Γi(k)Ui(k)

i=2,3,…,n;k=2,3,…,N

(3)

式中:Qi(k)为第k时段水仓i的涌水量;Γi(k)为各水平水泵在第k时段的排水能力。

为保障排水系统的安全性,设置2个约束条件。

(1) 水仓水位约束条件:各水平水仓水位必须处于最低水位与最高水位之间,即

Lli(k)≤Li(k)≤Lhi(k)

(4)

式中Lli(k),Lhi(k)分别为第k时段水仓i设定的最低、最高警戒水位。

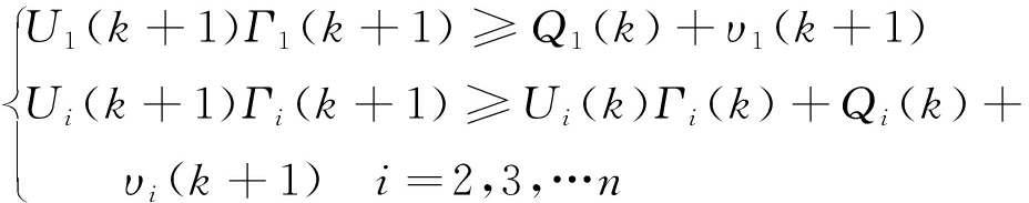
(2) 水仓流量约束条件:对处于最低水平水仓来说,第k+1时段的排水量不应小于第k时段本水平的涌水量,而其余各水平水仓在第k+1时段的排水量不应小于第k时段本水平的涌水量与下一水平水仓排水量之和,即

(5)

式中υi(k+1)为第k+1时段各水平涌水量裕量,用电高峰时段裕量设置较大。

3 矿井涌水量灰色预测模型

矿井涌水量受井田水文地质、降水量、开采程度及开采技术条件等因素综合影响。基于历史涌水量,利用灰色模型GM(1,1)预测矿井涌水量[12-15]

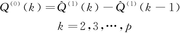
取1个排水周期内p(8≤pN)个矿井涌水量原始数据Q(0)(1),Q(0)(2),…,Q(0)(p)按时间排序,组成涌水量原始数据序列:

Q(0)(k)=(Q(0)(1),Q(0)(2),…,Q(0)(p))

(6)

对原始数据序列Q(0)(k)进行一次累加求和,生成新序列:

(7)

利用加权平均法,对新序列Q(1)(k)进行平滑处理,生成均值序列:

Z(1)(k)=αQ(1)(k)+(1-α)Q(1)(k-1)

k=2,3,…,p

(8)

式中α为权重系数,0≤α≤1。

建立灰微分方程:

Q(0)(k)+aZ(1)(k)=b k=2,3,…,p

(9)

式中:a为发展灰数;b为内生控制灰数。

用最小二乘法求得GM(1,1)中参数ab的估计值。

GM(1,1)白化微分方程为

(10)

求解白化微分方程,得到GM(1,1)的离散解:

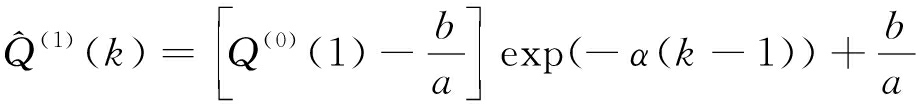
k=2,3,…,p

(11)

还原为涌水量原始数据序列:

(12)

动态更新矿井涌水量原始数据序列,用水位计测得矿井涌水量Q(0)(p+1)后,将原始数据序列中Q(0)(1)删除,并在序列末尾增加Q(0)(p+1),保持序列长度不变。

4 应用效果

山西天地王坡煤业有限公司(以下简称王坡煤矿)的排水系统为一个典型的双水平接力排水系统,如图1所示。

图1 王坡煤矿排水系统
Fig.1 Drainage system of Wangpo Coal Mine

为了对矿井涌水量灰色预测模型的适用性进行检验,采用残差分析检验模型预测精度。王坡煤矿实际涌水量和预测涌水量对比如图2所示。经计算,模型预测精度为82.34%,模型精度等级为良好。

对排水系统控制进行优化后,某一排水周期内排水系统运行情况如图3所示,可看出优化控制前排水量呈阶梯状变化,优化控制后排水量变化趋势与涌水量更贴近,对水位变化的响应更及时,避免了溢仓事故。

图2 实际涌水量与预测涌水量对比
Fig.2 Comparison of actual and predicted water inflow

图3 排水系统运行情况
Fig.3 Operation of drainage system

优化控制后水泵开启次数统计如图4所示,可看出水泵开启次数随时间推移平稳增长,没有出现短时间内水泵频繁启停现象,这是由于在水仓流量约束条件中引入了裕量,降低了控制系统的灵敏度。

图4 水泵开启次数
Fig.4 Pump start times

王坡煤矿排水系统中每台水泵每天实际工作时长为8 h,优化控制后,1台160 kW的水泵1 a可节约电费9.255万元,达到了系统经济运行目的。

5 结语

提出了一种矿井多水平接力排水系统优化控制策略。在1个排水周期内,根据水仓水位控制投入运行的水泵台数,在涌水全部排出并保证水仓水位不超过警戒水位的情况下,使得排水系统用电成本最低。在水仓流量约束条件中引入裕量,避免了水泵频繁启停;利用灰色模型预测矿井涌水量以获得精确的水仓水位,避免了溢仓事故。应用结果表明,该优化控制策略在保证系统安全排水的基础上,降低了系统用电成本。

参考文献:

[1] 李含君.煤矿井下排水监控系统的研究[D].西安:陕西科技大学,2014.

LI Hanjun.Research on the underground drainage monitoring and control system of coal mine[D].Xi'an:Shaanxi University of Science and Technology,2014.

[2] 韦静.煤矿排水综合自动化系统研究[J].中国高新技术企业,2011(9):84-85.

WEI Jing.Research on mine drainage integrated automation system[J].China High-Tech Enterprises,2011(9):84-85.

[3] 范子荣.矿井排水自动控制系统的设计[J].工业安全与环保,2017(7):38-40.

FAN Zirong.Design of mine drainage automatic control system[J].Industrial Safety and Environmental Protection,2017(7):38-40.

[4] 武艳蒙.煤矿井下多水平排水智能控制系统的研究[D].徐州:中国矿业大学,2018.

WU Yanmeng.Research on intelligent control system of multi horizontal drainage in coal mine[D].Xuzhou:China University of Mining and Technology,2018.

[5] 付磊.煤矿井下排水控制系统设计与优化[D].徐州:中国矿业大学,2014.

FU Lei.Optimization and design of mine drainage control system[D].Xuzhou:China University of Mining and Technology,2014.

[6] 姚伟.智能高效矿井排水监控系统的研究[J].煤炭技术,2019,38(4):112-114.

YAO Wei.Research on intelligent and efficient coal mine drainage monitoring system[J].Coal Technology,2019,38(4):112-114.

[7] 程伦新.井下自动排水系统控制策略的研究[D].阜新:辽宁工程技术大学,2012.

CHENG Lunxin.The study of underground automatic drainage control strategy[D].Fuxin:Liaoning Technical University,2012.

[8] 郭建伟.煤矿井下排水控制系统设计与优化[J].机电工程技术,2019,48(4):42-44.

GUO Jianwei.Design and optimization of drainage control system in coal mine[J].Mechanical & Electrical Engineering Technology,2019,48(4):42-44.

[9] 郭凤仪,郭长娜,王爱军,等.基于PLC的煤矿井下自动排水系统[J].仪表技术与传感器,2012(10):101-104.

GUO Fengyi,GUO Changna,WANG Aijun,et al.Automatic drainage system underground mine based on PLC[J].Instrument Technique and Sensor,2012(10):101-104.

[10] 胡云涛,王平利,袁胜凯,等.基于S7-300PLC的矿井多水平排水自动化联合控制系统的研究与应用[J].山东工业技术,2017(18):91-92.

HU Yuntao,WANG Pingli,YUAN Shengkai,et al.Research and application of mine multi-level drainage automatic combined control system based on S7-300 PLC[J].Shandong Industrial Technology,2017(18):91-92.

[11] 刘震.基于最优控制理论的自动化排水系统研究与应用[D].西安:西安科技大学,2017.

LIU Zhen.Research and application of downhole automatic drainage system based on the optimal control[D].Xi'an:Xi'an University of Science and Technology,2017.

[12] 乔美英,程鹏飞,刘震震.基于GA-SVM的矿井涌水量预测[J].煤田地质与勘探,2017,45(6):117-122.

QIAO Meiying,CHENG Pengfei,LIU Zhenzhen.Mine water inflow prediction based on GA-SVM[J].Coal Geology and Exploration,2017,45(6):117-122.

[13] 张清鸿.灰色系统模型在矿井涌水量预测中的应用[J].能源与环境,2014(6):23-25.

ZHANG Qinghong.Application of grey system model in mine water inflow prediction[J].Energy and Environment,2014(6):23-25.

[14] 肖云,田昌贵,李元松.基于GM(1,1)模型的铜绿山矿井水害预测与防治[J].安全与环境工程,2013,20(1):115-119.

XIAO Yun,TIAN Changgui,LI Yuansong.Forecast and prevention of water disaster in Tonglushan Mine based on GM(1,1) model[J].Safety and Environmental Engineering,2013,20(1):115-119.

[15] 张平,刘成河.煤矿井下涌水量预测及矿井排水能力改造[J].煤矿安全,2011,42(1):100-103.

ZHANG Ping,LIU Chenghe.Prediction of water inflow and transformation of the mine drainage capacity in coal mine[J].Safety in Coal Mines,2011,42(1):100-103.

Optimal control of mine multi-level relay drainage system

HAN Xiuqi

(Beijing Tiandi-Marco Electro-Hydraulic Control System Company Ltd., Beijing 100013, China)

Abstract:The electricity consumption of mine multi-level relay drainage system is very large, in order to improve economy of drainage system operation, it is necessary to optimize drainage system control, but current optimal control methods of mine multi-level relay drainage system have some problems such as easy overflow of sump and frequent start and stop of water pump. For the above problems, an optimal control strategy of mine multi-level relay drainage system was proposed. The optimal control model of mine multi-level relay drainage system was established which took water level of each level sump must be between the lowest and highest level and displacement of each level sump should not be less than inflow as constraint conditions, and the lowest sum of electricity costs of each level within one drainage period as objective function. By introducing margin into flow constraint condition, frequent start and stop of water pump is avoided. Gray model is used to predict water inflow, so as to obtain accurate water level of sump and avoid overflow accident. The application results show that the optimal control strategy can reduce electricity cost of drainage system under premise of ensuring safety of drainage.

Key words:mine drainage control; multi-level relay drainage; grey model; water inflow prediction; water level of sump

中图分类号:TD744

文献标志码:A

文章编号1671-251X(2020)09-0109-04

DOI:10.13272/j.issn.1671-251x.2019120057

收稿日期:2019-12-22; 修回日期:2020-09-14; 责任编辑:盛男。

基金项目:国家重点研发计划资助项目(2017YFC0804307)。

作者简介:韩秀琪(1989-),女,山东淄博人,高级工程师,硕士,主要从事煤矿生产系统智能控制方面的工作,E-mail:hanxq@tdmarco.com。

引用格式:韩秀琪.矿井多水平接力排水系统优化控制[J].工矿自动化,2020,46(9):109-112.

HAN Xiuqi.Optimal control of mine multi-level relay drainage system[J].Industry and Mine Automation,2020,46(9):109-112.