电势电容电路短路火花放电影响因素分析

康骞1,2, 许春雨1,2, 田慕琴1,2, 宋建成1,2

(1.太原理工大学 矿用智能电器技术国家地方联合工程实验室, 山西 太原 030024;2.太原理工大学 煤矿电气设备与智能控制山西省重点实验室, 山西 太原 030024)

摘要现有针对容性电路电火花放电和大功率本安电源研究的模型和方法大多只考虑了储能元件在放电过程中的放电特性,没有考虑电源电势对容性电路放电特性的影响;在分析容性电路放电特性时都是在空载情况下进行的,没有考虑实际应用中带载的情况。针对上述问题,在分析容性电路短路火花放电特性的基础上,将本安电源等效为电势电容(EC)电路,引入电源电势与外部负载,建立其火花放电等效数学模型,推导在电路发生故障时火花放电电流、放电电压和放电功率的数学表达式,并结合数学模型和Matlab进行了仿真研究,分析了电源电势、滤波电容、短路回路电阻及短路前负载电流对短路故障时火花放电电流、放电电压及放电功率的影响。理论分析和仿真结果表明,EC电路短路时火花放电电流与火花放电功率在起始阶段迅速上升到最大值,后缓慢下降,火花放电电压迅速下降到最小值;EC电路短路时,不改变其他电路参数,随着电源电势增大,火花放电电流明显增大,火花放电功率也明显增大,对电路本质安全性能威胁较大;随着滤波电容增大,火花放电电流尖峰增大,火花放电功率增大,需要考虑输出电压纹波与本质安全性能,合理选择滤波电容的容值;随着短路时的回路电阻增大,火花放电电流明显减小,火花放电功率也明显减小,能够有效提升电路本质安全性能;随着短路前负载电流增大,火花放电电流与火花放电功率有所增大,但增大不明显,对电路的本质安全性能影响不大。

关键词大功率本安电源; 电势电容; EC电路; 容性电路; 火花放电; 短路故障; 电源电势; 本质安全

0 引言

煤矿井下存在大量易燃易爆的混合物,这就要求本安电源正常工作或发生故障时所产生的电火花或热效应均不能导致爆炸[1-3]。近年来,随着煤矿井下电气设备自动化程度日益提高,各种监测、控制、通信等电气设备均需本安电源供电,繁多的用电设备使得小功率的本安电源越来越不能满足实际生产的需求。因此,能够在确保本质安全的前提下,最大程度地提高本安电源输出功率,是本安电源发展的重要分支[4]

为保证输出电压纹波达到设计要求,通常会将较大容值的滤波电容并联在本安电源整流输出端,故本安电源可以等效为容性电路[5]。电容作为储存电场能量的元件,其两端电压不能发生突变,在发生短路等故障时,会产生火花放电现象。所以,容性电路发生故障后,减小火花放电能量,保证其本质安全性能,对提高本安电源输出功率具有重要意义。

针对容性电路的电火花放电和大功率本安电源,国内外学者进行了深入研究。目前,容性电路的火花放电模型有电压推动数值计算模型[6]、能量点燃有效数值计算模型[7]、放电电压指数模型[8]、截止型保护容性电路放电模型[9]、电容有触点短路放电模型[10]、截止型电势电容(Electric Potential Capacitance,EC)电路火花放电模型[11-12]等。文献[13-14]采用芯片数控技术,设计了截止型双重过流过压保护电路,在加快响应速度的同时能够彻底切断故障电路。文献[15]应用动态电弧识别及关断(Dynamic Arc Recognition and Termination, DART)技术检测电路动态参数,提前预知电路故障状态,极大加快了故障检测速度,进一步提高了本安电源输出功率。但上述模型和方法仅考虑了储能元件在放电过程中的放电特性,没有考虑电源电势对容性电路放电特性的影响;同时在分析容性电路放电特性时都只是在空载的情况下进行分析,没有考虑实际应用中带载的情况。为此,本文对容性电路的短路火花放电特性进行了深入研究与分析,在此基础上,将本安电源等效为电势电容电路进行分析,引入电源电势与外部负载,建立其火花放电等效数学模型,推导在电路发生故障时火花放电电流、放电电压和放电功率的数学表达式,并结合数学模型与数值仿真工具分析不同因素对短路故障时火花放电电流、放电电压和放电功率的影响,从而为大功率本安电源的研究与设计提供理论指导。

1 容性电路短路火花放电特性分析

容性电路短路火花放电原理如图1所示[10]。图1中,R0为充电电阻,R为放电电阻,U为电源电压,C为滤波电容,G为火花试验装置,i为电源电流,ig为放电电流,ic为电容电流,uc为电容两端电压。容性电路火花放电特性曲线如图2所示[16]

火花放电可分为以下4个阶段[10,16-17]

图1 容性电路放电模型
Fig.1 Capacitive circuit discharge model

图2 容性电路火花放电特性曲线
Fig.2 Capacitive circuit spark discharge characteristic curves

第Ⅰ阶段,对应图2中的t0t1段,此阶段为击穿介质阶段。初始电极触点断开,当触点不断接近,到该电压击穿介质的距离时,气体介质被击穿,此时放电电流(ig(t))迅速上升,放电电压(ug(t))迅速下降。

第Ⅱ阶段,对应图2中的t1t2段,此阶段为火花产生阶段。此阶段放电电流从最大值开始下降,放电电压则继续下降,直到放电电流正好可以维持火花放电。

第Ⅲ阶段,对应图2中的t2t3段,此阶段为火花维持阶段。此阶段放电电流和放电电压都缓慢下降,直到放电电压下降到最小维持电压。

第Ⅳ阶段,对应图2的t3t4段,此阶段为火花熄灭阶段。此阶段放电触点完全闭合,放电电压下降为零,电容中剩余能量导致放电电流出现尖峰。

2 EC电路短路火花放电模型

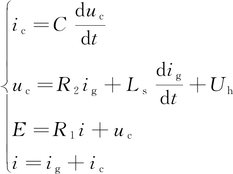
为了进一步分析容性电路短路火花放电影响因素,将容性电路等效为如图3所示的EC电路[11]。短路前,EC电路模型如图3(a)所示,等效的开关电源电路模型中,E为电源电势,R1为充电电阻,iL为负载电流;等效的保护电路模型中,S1为保护开关器件,当遇到过流过压及短路等故障时开关断开,R2为短路回路电阻,通常情况下R2远小于R1,以避免放电过程中对电源电势E的影响[10];等效的负载模型中,RL为电源负载,S2为短路开关,当S2闭合时,电路发生短路故障。短路后EC电路模型如图3(b)所示,等效的开关电源电路模型和等效的保护电路模型同图3(a),等效的火花放电模型中,由于短路后火花放电电流和放电电压不能立刻突变,所以, 用短路等效电感Ls等效[18]Uh为发生火花放电的建弧电压[19],ug为火花放电时输出端电压。

(a) 短路前

(b) 短路后

图3 EC电路模型
Fig.3 EC circuit model

由图3(b)可列写方程组:

(1)

式中t为时间。

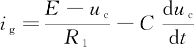
化简式(1)可得微分方程:

(2)

式中:A1=R2/Ls+1/(R1C);B1=(R2/R1+1)/(LsC);K1=(R2E/R1+Uh)/(LsC),为常数。

由于短路前后滤波电容C两端电压与流过电感Ls的电流不能突变,所以有

uc(0+)=uc(0-)=E

(3)

ig(0+)=ig(0-)=I0

(4)

(5)

式中I0为短路前的负载电流。

由式(3)—式(5)可得

(6)

求解式(2)可得其特征根λ1λ2

(7)

时,电路响应处于非振荡状态,此时式(2)的通解为

(8)

式中N1N2为任意常数。

时,电路响应处于振荡状态。实际应用中,电路发生故障后往往都处于非振荡状态,处于振荡状态的概率很小[20],所以,本文仅讨论电路处于非振荡状态时的情况。

由式(3)、式(6)、式(8)可得

uc=

(9)

由式(1)可得火花放电电流、火花放电电压、火花放电功率分别为

(10)

ug=uc-igR2

(11)

Pg=ugig

(12)

3 EC电路数值仿真分析

由于EC电路短路火花放电模型较为复杂,单从表达式很难看出电路模型各参数之间的关系。通过Matlab进行仿真研究,探讨EC电路短路模型各参数之间的关系。

3.1 电源电势对EC电路短路火花放电的影响

在充电电阻R1=10 Ω,短路回路电阻R2=0.2 Ω,滤波电容C=100 μF,短路等效电感Ls=300 nH,建弧电压Uh=5 V,负载电流I0=2.5 A的条件下,取电源电势E分别为典型值12,15,18 V,对EC电路短路火花放电的影响进行仿真分析,结果如图4所示。

从图4可看出,EC电路短路时,火花放电电流与火花放电功率在起始阶段迅速达到最大值后缓慢下降,火花放电电压在很短的时间内下降到最小值。保持滤波电容等其他电路参数不变,仅增大电源电势,短路时火花放电电流与火花放电功率都得到了较明显的增大,降低了电路的本质安全性能,不利于大功率本质安全电源的发展。

3.2 滤波电容对EC电路短路火花放电的影响

在充电电阻R1=10 Ω,短路回路电阻R2=0.2 Ω,电源电势E=12 V,短路等效电感Ls=300 nH,建弧电压Uh=5 V,负载电流I0=2.5 A的条件下,取滤波电容C分别为典型值68,100,150 μF,对EC电路短路火花放电的影响进行仿真分析,结果如图5所示。

从图5可看出,EC电路短路时,火花放电电流与火花放电功率迅速升高,之后平缓下降,火花放电电压在很短的时间内下降到最小值。保持电源电势等其他电路参数不变,仅增大滤波电容,短路时火花放电电流与火花放电功率在起始上升阶段区别不明显,但随着滤波电容增大,火花放电电流峰值随之增大,同时火花放电功率也会增大,不利于电路本质安全性能的提升。为保证输出电压纹波达到设计要求,在设计本安电源时需要合理考虑滤波电容的容值,既保证输出电压纹波的设计要求,又能够保证本质安全性能要求[21]

(a) 不同电源电势对EC电路短路火花放电电流的影响曲线

(b) 不同电源电势对EC电路短路火花放电电压的影响曲线

(c) 不同电源电势对EC电路短路火花放电功率的影响曲线

图4 不同电源电势对EC电路短路火花放电的影响曲线
Fig.4 Influence curves of different power supply potentials on short-circuit spark discharge of EC circuit

(a) 不同滤波电容对EC电路短路火花放电电流的影响曲线

(b) 不同滤波电容对EC电路短路火花放电电压的影响曲线

(c) 不同滤波电容对EC电路短路火花放电功率的影响曲线

图5 不同滤波电容对EC电路短路火花放电的影响曲线
Fig.5 Influence curves of different filter capacitors on short-circuit spark discharge of EC circuit

3.3 短路回路电阻对EC电路短路火花放电的影响

在充电电阻R1=10 Ω,电源电势E=12 V,滤波电容C=100 μF,短路等效电感Ls=300 nH,建弧电压Uh=5 V,负载电流I0=2.5 A的条件下,取短路时回路电阻R2分别为典型值 0.2,0.3,0.4 Ω,对EC电路短路火花放电的影响进行仿真分析,结果如图6所示。

(a) 不同短路回路电阻对EC电路短路火花放电电流的影响曲线

(b) 不同短路回路电阻对EC电路短路火花放电电压的影响曲线

(c) 不同短路回路电阻对EC电路短路火花放电功率的影响曲线

图6 不同短路回路电阻对EC电路短路火花放电的影响曲线
Fig.6 Influence curves of different short-circuit resistance on short-circuit spark discharge of EC circuit

从图6可看出,EC电路短路时,火花放电电流与火花放电功率在起始阶段迅速增大,达到最大值后缓慢下降达到稳态,火花放电电压在短路时迅速下降。保持电源电势等其他电路参数不变,随着短路时回路电阻增大,火花放电电流与火花放电功率下降明显,对电路本质安全性能的提升起到了积极的作用,电路的本质安全性能得到增强。但同时回路中的电阻会降低电源效率,造成不必要的损耗。

3.4 负载电流对EC电路短路火花放电的影响

在充电电阻R1=10 Ω,短路回路电阻R2=0.2 Ω,电源电势E=12 V,滤波电容C=100 μF,短路等效电感Ls=300 nH,建弧电压Uh=5 V的条件下,取短路前负载电流I0分别为典型值2.0,2.5,3.0 A,对EC电路短路火花放电的影响进行仿真分析,结果如图7所示。

(a) 不同电负载电流对EC电路短路火花放电电流的影响曲线

(b) 不同负载电流对EC电路短路火花放电电压的影响曲线

(c) 不同负载电流对EC电路短路火花放电功率的影响曲线

图7 不同负载电流对EC电路短路火花放电的影响曲线
Fig.7 Influence curves of different load currents on short-circuit spark discharge of EC circuit

从图7可看出, 电路短路时,火花放电电流与火花放电功率迅速升高后缓慢下降,火花放电电压迅速下降。保持电源电势等其他电路参数不变,仅增大短路前负载电流,火花放电电流、火花放电电压以及火花放电功率曲线接近重叠,火花放电电流与火花放电功率有所增大,但增大不明显,对电路的本质安全性能影响不大。

4 结论

(1) EC电路短路时,火花放电电流与火花放电功率在起始阶段迅速上升到最大值,后缓慢下降,火花放电电压迅速下降到最小值。

(2) EC电路短路时,不改变其他电路参数,随着电源电势增大,火花放电电流明显增大,火花放电功率也明显增大,对电路本质安全性能威胁较大。

(3) EC电路短路时,不改变其他电路参数,随着滤波电容增大,火花放电电流尖峰增大,火花放电功率增大,需要考虑输出电压纹波与本质安全性能,合理选择滤波电容的容值。

(4) EC电路短路时,不改变其他电路参数,随着短路时的回路电阻增大,火花放电电流明显减小,火花放电功率也明显减小,能够有效提升电路本质安全性能。

(5) EC电路短路时,不改变其他电路参数,随着短路前负载电流增大,火花放电电流与火花放电功率有所增大,但增大不明显,对电路的本质安全性能影响不大。

参考文献

[1] GB 3836.4—2010 爆炸性环境第4部分:由本质安全型“i”保护的设备[S].

GB 3836.4-2010 Explosive atmospheres-part 4:equipment protection by intrinsic safety “i”[S].

[2] 周雪峰.一种新型矿用本安电源保护电路的设计[J].工矿自动化,2013,39(7):101-103.

ZHOU Xuefeng.Design of a new type of protection circuit of mine-used intrinsic safety power supply[J].Industry and Mine Automation,2013,39(7):101-103.

[3] 于月森,戚文艳,伍小杰.软火花电路的本安特性及优化分析[J].煤炭学报,2014,39(10):2134-2040.

YU Yuesen,QI Wenyan,WU Xiaojie.Intrinsically safe characteristics and optimization analysis of soft-spark circuit[J].Journal of China Coal Society,2014,39(10):2134-2140.

[4] 蔡广亮,矿用大容量不间断本质安全电源的研究[D].太原:太原理工大学,2014.

CAI Guangliang.Study on mining intrinsic safety uninterruptible DC power device with large capacity[D].Taiyuan:Taiyuan University of Technology,2014.

[5] 于月森.本质安全型开关电源基础理论与应用研究[D].徐州:中国矿业大学,2012.

YU Yuesen.Study on the theory and application of the intrinsically safe switch power supply[D].Xuzhou:China University of Mining and Technology,2012.

[6] 刘辉.隔爆兼本安直流稳压开关电源的研究[D].西安:西安科技大学,2005.

LIU Hui.Research on flame-proof and intrinsically safe DC switching power supply [D].Xi'an:Xi'an University of Science and Technology,2005.

[7] 钟久明,刘树林,崔强.IEC火花试验装置的电容短路放电特性数学仿真分析[J].电工电能新技术,2014,33(2):29-34.

ZHONG Jiuming,LIU Shulin,CUI Qiang.Short circuit discharge behavior of capacitive circuit and its mathematical simulation analysis [J].Advanced Technology of Electrical Engineering and Energy,2014,33(2):29-34.

[8] 刘建华.爆炸性气体环境下本质安全电路放电理论及非爆炸评价方法的研究[D].徐州:中国矿业大学,2008.

LIU Jianhua.A study on discharge theory and non-explosion evaluating method of the intrinsically safe circuits for explosive atmospheres[D].Xuzhou:China University of Mining and Technology,2008.

[9] 于月森,张望,孟庆海,等.截止型保护方式下容性电路短路火花放电模型及分析[J].煤炭学报,2013,38(3):517-521.

YU Yuesen,ZHANG Wang,MENG Qinghai,et al.Modeling and analysis on spark discharge of capacitive circuit with cut-off type protection[J].Journal of China Coal Society,2013,38(3):517-521.

[10] 刘树林,钟久明,樊文斌,等.电容电路短路火花放电特性及其建模研究[J].煤炭学报,2012,37(12):2123-2128.

LIU Shulin,ZHONG Jiuming,FAN Wenbin,et al.Short circuit discharge characteristics of the capacitive circuit and its mathematical model[J].Journal of China Coal Society,2012,37(12):2123-2128.

[11] 于月森,柳军停,修俊瑞,等.截止型EC电路火花放电模型及其特性分析[J].煤炭学报,2016,41(9):2380-2387.

YU Yuesen,LIU Junting,XIU Junrui,et al.Modeling and analysis on spark discharge of EC circuit with cut-off type protection[J].Journal of China Coal Society,2016,41(9):2380-2387.

[12] 曾羿博.截止型EC电路火花放电特性研究[D].徐州:中国矿业大学,2016.

ZENG Yibo.Study on the spark discharge characteristics of EC circuit with cut-off protection[D].Xuzhou:China University of Mining and Technology,2016.

[13] 于志学,房绪鹏,赵扬.一种“ia”级新型本质安全型电源设计[J].工矿自动化,2017,43(8):83-86.

YU Zhixue,FANG Xupeng,ZHAO Yang.Design of novel intrinsically safe power supply with “ia” grade[J].Industry and Mine Automation,2017,43(8):83-86.

[14] 黄鹤松,陈曦,田成金,等.一种高性能矿用本质安全型电源设计[J].工矿自动化,2019,45(2):18-23.

HUANG Hesong,CHEN Xi,TIAN Chengjin,et al.Design of a high-performance mine-used intrinsically safe power supply[J].Industry and Mine Automation,2019,45(2):18-23.

[15] 李帅.矿用本质安全型开关电源的研究[D].北京:北方工业大学,2019.

LI Shuai.Research on mining intrinsically safe switching power supply[D].Beijing:North China University of Technology,2019.

[16] 刘树林.本质安全开关变换器基础理论及关键技术研究[D].西安:西安科技大学,2007.

LIU Shulin.Basic theory & key technologies of intrinsically safe switching converters [D].Xi'an:Xi'an University of Science and Technology,2007.

[17] 刘树林,刘健.本质安全开关变换器[M].北京:科学出版社,2008.

LIU Shulin,LIU Jian.Intrinsically safe switching converters [M].Beijing:Science Press,2008.

[18] 柳军停.输出本质安全型EC电路放电特性及非爆炸本安评价研究[D].徐州:中国矿业大学,2018.

LIU Junting.Research on discharge characteristics of output intrinsically safe EC circuit and non explosive intrinsically safe evaluation[D].Xuzhou:China University of Mining and Technology,2018.

[19] 赵永秀,刘树林,马一博.爆炸性试验电感电路分断放电特性分析与建模[J].煤炭学报,2015,40(7):1698-1704.

ZHAO Yongxiu,LIU Shulin,MA Yibo.Analysis and modeling of inductor-disconnected-discharged characteristics based on explosive test[J].Journal of China Coal Society,2015,40(7):1698-1704.

[20] 于月森,戚文艳,胡义涛,等.复合电路的放电特性研究[J].煤矿安全,2013,44(9):54-57.

YU Yuesen,QI Wenyan,HU Yitao,et al.Study on discharge characteristics of compound circuits[J].Safety in Coal Mines,2013,44(9):54-57.

[21] 张兴华,汪丛笑,赵立厂,等.基于两相同步升压技术的本质安全电源设计[J].工矿自动化,2011,37(6):14-17.

ZHANG Xinghua,WANG Congxiao,ZHAO Lichang,et al.Design of intrinsically safe power supply based on two-phase synchronous boost technology[J].Industry and Mine Automation,2011,37(6):14-17.

Analysis of influencing factors of short-circuit spark discharge in electric potential capacitance circuit

KANG Qian1,2, XU Chunyu1,2, TIAN Muqin1,2, SONG Jiancheng1,2

(1.National & Provincial Joint Engineering Laboratory of Mining Intelligent Electrical Apparatus Technology, Taiyuan University of Technology, Taiyuan 030024, China; 2.Shanxi Key Laboratory of Mining Electrical Equipment and Intelligent Control, Taiyuan University of Technology, Taiyuan 030024, China)

Abstract:Most of existing models and methods for research of capacitive circuit spark discharge and high-power intrinsic safety power supply only consider discharge characteristics of energy storage elements during discharge process, and do not consider influence of power supply potential on discharge characteristics of capacitive circuit. Analysis of capacitive circuit discharge characteristics is carried out under condition of no load, without considering situation of load in practical application. For the above problems, based on analysis of short-circuit spark discharge characteristics of capacitive circuit, the intrinsically safe power supply is equivalent to the electric potential capacitance (EC) circuit, and spark discharge equivalent mathematical model was established by introducing power supply potential and external load, the mathematical expressions of spark discharge current, discharge voltage and discharge power is derived in the circuit failure, and combined with the mathematical model and Matlab simulation research, the influence of the power supply potential, filter capacitor, short-circuit resistance and load current before short-circuit on short-circuit spark discharge current, discharge voltage and discharge power during faults were analyzed. Theoretical analysis and simulation results show that in the short-circuit of EC circuit, the spark discharge current and spark discharge power rapidly rise to the maximum value at the initial stage, and then slowly decrease, and the spark discharge voltage quickly drops to the minimum value; in short-circuit of EC circuit, other circuit parameters are not changed, with the increase of the power supply potential, the spark discharge current and the spark discharge power increase obviously, which poses a great threat to the intrinsic safety performance of the circuit; with the increase of the filter capacitor, the spark discharge current spike increases, the discharge power increases, it is necessary to consider the output voltage ripple and intrinsic safety performance to reasonably select the capacitance value of the filter capacitor; as the loop resistance increases during a short-circuit, the spark discharge current and the spark discharge power are also significantly reduced, which can effectively improve the intrinsic safety performance of the circuit; with the increase of the load current before the short-circuit, the spark discharge current and spark discharge power increase somewhat, but the increase is not obvious, which has little influence on the intrinsic safety performance of the circuit.

Key words:high-power intrinsic safety power; electric potential capacitance; EC circuit; capacitive circuit; spark discharge; short-circuit fault; power supply potential; intrinsic safety

文章编号1671-251X(2020)08-0038-07

DOI:10.13272/j.issn.1671-251x.2020030006

中图分类号:TD608

文献标志码:A

收稿日期:2020-03-03;修回日期:2020-07-16;责任编辑:张强。

基金项目:国家自然科学基金资助项目(51577123)。

作者简介:康骞(1994-),男,山西太原人,硕士研究生,主要研究方向为矿用本安电源与电力电子技术,E-mail:kangqian1208@163.com。

引用格式:康骞,许春雨,田慕琴,等.电势电容电路短路火花放电影响因素分析[J].工矿自动化,2020,46(8):38-43.

KANG Qian,XU Chunyu,TIAN Muqin,et al.Analysis of influencing factors of short-circuit spark discharge in electric potential capacitance circuit[J].Industry and Mine Automation,2020,46(8):38-43.