瓦斯灾害区域安全态势预警技术

张庆华1,2,3,宁小亮2,3,宋志强2,3,和树栋2,3

(1.安徽理工大学 能源与安全学院, 安徽 淮南 232001;2.瓦斯灾害监控与应急技术国家重点实验室, 重庆 400037;3.中煤科工集团重庆研究院有限公司, 重庆 400037)

摘要为进一步提高我国煤矿瓦斯灾害区域防控能力、提升监管监察执法效能,研究了瓦斯灾害区域安全态势预警技术。根据我国煤矿监管监察行政管理模式,将预警区域划分为全国区域、省(市)级区域、煤监分局管辖区域、地市级行政区域4个区域层级,并根据分级管控的需要将预警划分为蓝色、黄色、橙色、红色4个等级,其对应的风险程度依次升高;从区域煤矿固有自然属性、矿井布局及采掘条件、事故的时空规律、宏观技术和经济政策、矿井重大隐患5个方面建立了瓦斯灾害区域安全态势预警指标体系,并构建了基于层次分析法的预警模型,实现了多指标的融合分析与决策;设计、开发了瓦斯灾害区域安全态势预警软件系统,实现了数据的动态采集与存储、综合分析和实时预警。

关键词瓦斯灾害; 区域预警; 预警指标体系; 预警模型; 层次分析法

0 引言

近年来,随着煤矿安全监管监察力度的加强及安全技术及装备的推广和投入,我国煤矿安全形势不断好转,煤矿事故起数和伤亡人数均大幅下降,但与发达国家相比仍有较大差距,煤矿事故没有得到根本遏制,安全形势依然严峻。2018年共发生事故224起,死亡333人,百万吨死亡率为0.093,同比分别下降0.9%、13.1%和12.3%[1]。为防范化解煤矿领域系统性安全生产风险,党中央、国务院进行了重要部署,发布了《中共中央国务院关于推进安全生产领域改革发展的意见》等系列文件[2-3],要求构建“互联网+监管”平台,加快建设国家、省、煤矿企业多个层面的煤矿安全风险监测预警系统,不断提升煤矿安全监管监察的信息化、网络化、智能化水平,有效防范和化解重大安全风险。

全方位辨识区域煤矿风险,进行区域煤矿安全态势分析与预警,是提升煤矿安全生产风险防范与化解能力和安全监管能力的有力抓手和有效途径[4-5],更加有利于实现煤矿安全生产风险全过程、全链条的态势感知分析,强化风险分级管控和动态监测预警分析,有力提升科学预防、过程管控、精准监管监察水平,可为监管监察部门预防性精准执法提供有力支撑。

本文以瓦斯灾害为例,从预警区域及等级划分方法、预警指标及模型、预警系统等方面对区域安全态势预警技术进行探讨,可有效促进我国煤矿灾害区域风险预警机制的建立。

1 预警区域及等级划分方法

根据我国煤矿监管监察行政管理模式及预警的需要,将预警区域划分为全国区域、省(市)级区域、煤监分局管辖区域、地市级行政区域4个区域层级,如图1所示,其中煤矿是构成区域的最小单元,a,b,c,n为对应区域或煤矿的数量。

根据各级区域风险的大小,采用蓝色、黄色、橙色、红色4种颜色分别表示一般、较重、严重、特别严重4个预警等级,其代表的含义分别是相对安全、需要引起关注、需要加大监管监察力度、需要立即采取防控措施。

在监管监察过程中,需根据预警结果分级分区响应,以便采取针对性的管控措施,因此,以划分的区域为空间范围,针对每一层级的每个区域及每个煤矿都应单独发布预警结果。

图1 预警区域划分
Fig.1 Early warning area division

2 瓦斯灾害区域安全态势预警指标

指标是对客观事物属性的刻画和描述[6],而预警过程中需要对预警要素、危险源、征兆以及预警对象危险状态进行描述,这就需要通过一系列指标来完成。区域内瓦斯风险影响因素众多,既与区域内煤层赋存条件、矿井瓦斯等级、地质构造复杂程度等煤矿固有属性有关,又与煤矿企业权属性质、生产能力、安全管理水平等矿井布局及采掘条件相关,还跟区域内事故发生的时空规律及煤矿重大隐患等因素密切相关,同时还受宏观技术和经济政策的影响。为此,建立瓦斯灾害区域安全态势预警指标体系,见表1。

3 区域预警分析模型

区域预警分析模型是预警实现的核心。瓦斯灾害区域安全态势预警涉及的指标众多,既有定量指标,又有定性指标,且各指标对区域安全风险的影响程度也有所差异,由此可见,预警分析是典型的多指标、多源数据处理问题。因此,需要建立科学、合理的算法模型对多指标进行综合分析,以实现可靠、准确预警。层次分析法是一种解决多目标复杂问题的决策分析方法[7-10],在工程实践中得到了广泛应用,其特征是合理的将定性与定量决策结合起来,因此,采用该算法实现区域预警的多指标分析与决策。

根据预警指标体系,建立区域预警递阶层次结构模型,如图2所示。方案层为划分的4个预警结果等级,分别用蓝色、黄色、橙色、红色表示。准则层根据预警指标体系结构划分为5层,其中前4层由预警指标体系构成,准则层5为指标监测值归一化处理层,其主要作用是确定各指标实际监测值对风险的相对影响度,即风险指数,其具体计算方法:设某区域内有n座矿井,第j座矿井的第i个指标的风险指数为Pij,该指数采用百分制,根据指标监测值大小并通过专家打分的方式给出,分值越高,表示风险越高;通过矿井风险指数可计算出该区域的第i个指标的综合风险指数目标层为瓦斯灾害风险程度,即最终需要确定的预警等级。

表1 瓦斯灾害区域安全态势预警指标体系
Table 1 Early warning index system of regional security situation of gas disasters

1级指标2级指标3级指标4级指标区域煤矿固有自然属性Z1煤层赋存条件Z11矿井地质构造复杂程度Z12矿井瓦斯等级Z13煤尘爆炸危险性Z14煤层平均厚度Z111煤层稳定程度Z112煤质Z113矿井布局及采掘条件Z2企业权属性质Z21矿井生产能力Z22矿井装备水平Z23安全管理水平Z24开采煤层数量Z25采掘接续情况Z26采掘机械化程度Z231各类监控系统可靠性Z232矿井安全生产标准化等级Z241安全投入Z242专业技术人才配备情况Z243吨煤人员数量Z244掘进方式Z2311采煤方式Z2312事故的时空规律性Z3事故频率Z31百万吨死亡率Z32事故的时间周期性Z33事故空间分布Z34近3a平均百万吨事故次数与全国事故次数比值Z311近3a平均万吨死亡率与全国百万吨死亡率比值Z321月份Z331班次Z332省份Z341市区Z342宏观技术和经济政策Z4原煤产量Z41宏观经济指数Z42季节气候影响Z43节假日影响Z44原煤产量当期值与当年移动平均值的比值Z411工业生产者购进价格指数Z421当期值与当年移动平均值的比值Z4211煤炭开采和洗选业工业生产者出厂价格指数Z422当期值与当年移动平均值的比值Z4221中国煤炭价格指数Z423当期值与当年移动平均值的比值Z4231全国煤炭市场景气指数Z424当期值与当年移动平均值的比值Z4241月度平均气温Z431是否节假日前后7dZ441矿井重大隐患识别Z5隐患排查Z51瓦斯监测数据异常Z52隐患个数Z511隐患发生频率Z512超限次数及频率Z521断电次数及频率Z522故障次数及频率Z523最近3d隐患增长率Z5121最近3d平均每天超限次数Z5211最近3d平均超限次数增长率Z5212最近3d平均每天断电次数Z5221最近3d平均断电次数增长率Z5222最近3d平均每天故障次数Z5231最近3d平均故障次数增长率Z5232

图2 瓦斯灾害区域预警层次结构模型
Fig.2 Hierarchical model of regional early warning of gas disasters

预警分析具体步骤如下:

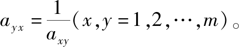
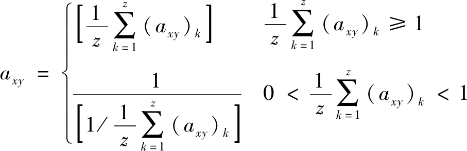
(1) 构造下一层对上一层的判断矩阵Α=(axy)m×m,表示针对某一上层指标,其下一层所有指标的相对重要性的比较,该矩阵为正互反矩阵,其中m为矩阵的阶数,即下一层指标个数;axy为下一层指标x与指标y重要性之比,其值采用多专家评估的方式,按照Santy标度法[11-12]给出,其值满足如下条件:axy>0,多专家评估具体方法:设参与两指标相对重要性评估的专家数为z,第k个专家给出的重要性之比为(axy)k,打分标准见表2。

axy计算公式为

(1)

式中[]表示取整。

表2 两指标相对重要性专家打分标准
Table 2 Expert scoring criteria for relative importance of two indicators

标度含义1表示2个指标相比,具有同样重要性3一个指标比另一个指标稍微重要5一个指标比另一个指标明显重要7一个指标比另一个指标强烈重要9一个指标比另一个指标极端重要2,4,6,8上述两相邻判断的中值倒数指标x与y之比为axy,则指标y与x之比为1/axy

(2) 进行层次单排序和一致性检验。首先计算各判断矩阵最大特征根的特征向量,经归一化处理后记为W,其元素即为判断矩阵各元素对于上一层某指标相对重要性的排序权值;然后对判断矩阵进行一致性检验,若未通过,则需要对axy加以调整。

(3) 进行层次总排序和一致性检验,即从最高层次到最低层次依次计算某一层次所有指标对于目标层相对重要性的权值,最终可得到方案层对目标层的层次总排序。若通过一致性检验,组合权重最大的方案即为最终预警结果;若未通过一致性检验,则需要重新调整一致性比率高的判断矩阵的元素取值。

4 预警系统设计

区域安全态势预警涉及海量数据的采集、存储与分析,因此,基于Hadoop和Spark大数据平台[13-14]开发区域安全态势预警系统。该系统主要包括数据源层、数据采集层、数据存储层、资源管理层、数据分析层、数据访问层和软件应用层,如图3所示。数据的获取与利用遵循“分类采集、集中存储、按需调用、灵活展现”的基本原则。

图3 区域安全态势预警系统架构
Fig.3 Architecture of early warning system of regional security situation

数据源层:数据源主要包括瓦斯监控系统数据、安全隐患排查系统数据、固有自然属性、矿井布局及采掘条件、宏观技术和经济政策等数据。上述数据按照数据结构可划分为结构化数据、半结构化数据及非结构化数据,按照数据时效性可划分为离线数据、实时数据,按照数据获取途径和方式可分为矿端自动采集数据、矿端人工录入数据和网络爬虫数据。

数据采集层:开发了数据自动采集接口,用于采集瓦斯监控系统和安全隐患排查系统数据;开发了数据录入模块,用于矿端人工录入固有自然属性、矿井布局及采掘条件等数据;按预警指标设定了抓取目标,以便从互联网自动获取宏观技术和经济政策相关数据。同时,根据数据的生产环境、数据结构、数据时效性等特点,分别使用不同的组件采集源数据:使用Sqoop组件将存储在关系型数据库中的瓦斯监测监控、安全隐患排查、区域煤矿固有自然属性、矿井布局及采掘条件等大量的历史数据导入到HDFS中;使用Flume组件将大量不同数据源的日志数据收集、聚合、移动到HDFS中进行存储;使用Spooling Directory Source类型来监控指定目录的数据变更,实时采集文本文件、图形文件以及视频文件等非结构化数据;使用Kafka组件采集不同区域煤矿的不同种类的瓦斯监控系统的实时数据、安全隐患排查系统的实时数据,以及来自互联网的宏观技术和经济政策相关网络爬虫数据。

数据存储层:主要利用分布式文件系统HDFS来存储数据采集层传递的数据和数据分析层计算分析的数据,采用HBase组件存储非结构化和半结构化的数据,采用Hive组件对存储在HDFS中的大规模离线数据集执行查询、统计和分析。

资源管理层:YARN组件是Hadoop集群的通用资源管理器,为数据分析层提供统一的资源管理和调度服务。

数据分析层:根据构建的区域预警指标体系和模型,建立瓦斯灾害区域煤矿安全态势预警算法,使用MapReduce、HiveSQL来查询、统计、计算不同区域不同煤矿的大规模离线数据,使用Spark Streaming、Spark SQL来查询、统计、计算不同区域不同煤矿的实时数据。

数据访问层:负责对数据库进行读写操作,主要包括通用数据访问服务、常规数据查询服务、多维数据查询服务、实时数据查询服务。

软件应用层:预警系统主要包括预警结果发布、预警指标及模型设置、数据查询、区域煤矿管理、系统设置等功能模块,功能结构如图4所示,瓦斯灾害区域安全态势预警系统界面如图5所示,其他层级预警界面通过点击地图向下钻取即可显示。

图4 区域安全态势预警系统功能结构
Fig.4 Functional structure of early warning system of regional security situation

5 结论

(1) 根据我国煤矿监管监察行政管理模式,将预警区域划分为全国区域、省(市)级区域、煤监分局管辖区域、地市级行政区域4个区域层级,并根据分级管控的需要将预警划分为蓝色、黄色、橙色、红色4个等级,分别表示风险程度一般、较严重、严重、特别严重,严重程度依次加重。

(2) 从区域煤矿固有自然属性、矿井布局及采掘条件、事故的时空规律、宏观技术和经济政策、矿井重大隐患5个方面建立了瓦斯灾害区域安全态势预警指标体系,并构建了基于层次分析法的预警模型,其层次结构包括目标层、5个准则层和方案层,实现了多指标的融合分析与决策。

图5 瓦斯灾害区域安全态势预警系统界面
Fig.5 Interface of early warning system of regional security situation of gas disasters

(3) 设计、开发了基于Hadoop和Spark大数据平台的瓦斯灾害区域安全态势预警系统,包括预警结果发布、预警指标及模型设置、数据查询、区域煤矿管理、系统设置等功能模块,实现了数据的动态采集与存储、综合分析和实时预警。

(4) 下一步需要研究预警指标优化方法及其权重自动确定方法,以实现模型的自动分析和动态更新,同时整个预警技术需要结合工程实际进行应用、完善。

参考文献(References):

[1] 国家煤矿安全监察局. 2018年全国煤矿事故分析报告[R]. 2019.

National Coal Mine Safety Administration. 2018 national coal mine accident analysis report[R]. 2019.

[2] 常纪文.《关于推进安全生产领域改革发展的意见》之亮点[J].安全,2017,38(1):2.

CHANG Jiwen. Highlights of Opinions on Promoting the Reform and Development of Safety Production[J]. Safety & Security,2017, 38(1):2.

[3] 边姬.坚决守住安全生产红线——解读《关于推进安全生产领域改革发展的意见》[J].劳动保护,2017(1):12-13.

BIAN Ji. Resolutely adhering to the red line of safe production-Interpretation of the Opinions on Promoting the Reform and Development of Safe Production[J]. Labour Protection, 2017(1): 12-13.

[4] 宁小亮.煤与瓦斯突出预警技术研究现状及发展趋势[J].工矿自动化,2019,45(8):25-31.

NING Xiaoliang.Research status of early warning technology of coal and gas outburst and its development trend[J].Industry and Mine Automation,2019,45(8):25-31.

[5] 文光才,宁小亮,赵旭生.矿井煤与瓦斯突出预警技术及其应用[J].煤炭科学技术,2011,39(2):55-58.

WEN Guangcai,NING Xiaoliang,ZHAO Xusheng.Coal and gas outburst early warning technology and application in coal mine[J]. Coal Science and Technology,2011,39(2):55-58.

[6] 赵旭生,宁小亮,张庆华,等.煤与瓦斯突出预警方法探讨[J].工矿自动化,2018,44(1):6-10.

ZHAO Xusheng,NING Xiaoliang,ZHANG Qinghua,et al.Discussion on early warning method of coal and gas outburst[J].Industry and Mine Automation,2018,44(1):6-10.

[7] 陈蔚,刘雪娇,夏莹杰.基于层次分析法的车联网多因素信誉评价模型[J].浙江大学学报(工学版),2020,54(4):722-731.

CHEN Wei,LIU Xuejiao,XIA Yingjie.Multi-factor reputation evaluation model based on analytic hierarchy process in vehicle ad-hoc networks[J].Journal of Zhejiang University (Engineering Science),2020,54(4):722-731.

[8] 徐佳昕,游波,施式亮,等.基于层次分析法的桥梁施工风险识别及评估分析[J].矿业工程研究,2020,35(1):59-64.

XU Jiaxin,YOU Bo,SHI Shiliang,et al.Risk identification and evaluation analysis of bridge construction based on analytic hierarchy process[J].Mineral Engineering Research,2020,35(1):59-64.

[9] 芮智,潘瑾筠,童雨洁,等.基于模糊层次分析法的大坝安全评价程序开发[J].科技创新与应用,2020(19):43-44.

RUI Zhi, PAN Jinjun, TONG Yujie,et al. Development of dam safety evaluation program based on fuzzy analytic hierarchy process[J].Technology Innovation and Application,2020(19):43-44.

[10] 郑臻,祝文化,黄建,等.基于层次赋权的特大危岩体爆破削方风险评价云模型[J].爆破,2020,37(2):141-148.

ZHENG Zhen,ZHU Wenhua,HUANG Jian,et al.Cloud model of risk assessment for blasting cutting oversize dangerous rock mass by a hierarchical weighting technology[J].Blasting,2020,37(2):141-148.

[11] 李巍.目标导向层次分析方法及其应用研究[D].长春:吉林大学,2019.

LI Wei.Study on the method and application of targets-oriented analytic hierarchy process[D]. Changchun: Jilin University,2019.

[12] 杨绣娟.基于层次分析法的田园综合体评价体系研究[D].太原:山西农业大学,2019.

YANG Xiujuan.Pastoral complex based on analytic hierarchy process evaluation system research spatial[D].Taiyuan:Shanxi Agricultural University,2019.

[13] 闫鹏,张林.基于Hadoop平台的交通大数据智能特征分析研究[J].华北理工大学学报(自然科学版),2020,42(3):80-88.

YAN Peng,ZHANG Lin.Analysis and research on intelligent characteristics of traffic big data based on Hadoop platform[J].Journal of North China University of Science and Technology (Natural Science Edition),2020,42(3):80-88.

[14] 吴荣,段宏涛.基于Hadoop平台的Spark快数据推荐算法解析——以其在图书推荐系统中的应用为例[J].数字技术与应用,2020,38(6):115-117.

WU Rong,DUAN Hongtao.Analysis of Spark fast data recommendation algorithm based on Hadoop platform-taking its application in the book recommendation system as an example[J]. Digital Technology & Application, 2020,38(6):115-117.

Early warning technology of regional security situation of gas disasters

ZHANG Qinghua1,2,3, NING Xiaoliang2,3, SONG Zhiqiang2,3, HE Shudong2,3

(1.School of Energy and Safety,Anhui University of Science and Technology, Huainan 232001, China;2.State Key Laboratory of the Gas Disaster Detecting, Preventing and Emergency Controlling, Chongqing 400037, China; 3.CCTEG Chongqing Research Institute, Chongqing 400037, China)

AbstractIn order to further improve the prevention and control capabilities of coal mine gas disasters in China and enhance efficiency of supervision, early warning technology of regional security situation of gas disasters was studied. According to coal mine supervision and management mode in China, early warning regions are divided into four regional levels: national region, provincial (city) level regions, coal supervision sub-bureau jurisdiction regions, and prefecture-level administrative regions. According to the needs of hierarchical control, the early warning is divided into four levels: blue, yellow, orange and red, and its risk level increases sequentially. The early warning index system of regional security situation of gas disasters has been established from five aspects: inherent natural attributes of regional coal mines, mine layout and mining conditions, temporal and spatial laws of accidents, acro technology and economic policies, and major hidden dangers in mines. The early warning model based on analytic hierarchy process has been constructed to realize the fusion analysis and decision-making of multiple indicators, and the regional early warning software system has been designed and developed to realize the dynamic data collection and storage, comprehensive analysis and real-time data early warning.

Key words:gas disaster; regional early warning; early warning index system; early warning model; analytic hierarchy process

中图分类号:TD712

文献标志码:A

文章编号1671-251X(2020)07-0042-07

DOI:10.13272/j.issn.1671-251x.17632

收稿日期:2020-07-02;修回日期:2020-07-10;责任编辑:胡娴。

基金项目:国家重点研发计划资助项目(2018YFC0808305)。

作者简介:张庆华(1979-),男,山西运城人,副研究员,博士研究生,主要研究方向为矿井瓦斯灾害监测预警及智能通风,E-mail:zqhcqmky@163.com。

通信作者:宁小亮(1984-),男,江西抚州人,副研究员,硕士,主要从事煤矿灾害预测预警技术及装备研究工作,E-mail: nxl@foxmail.com。

引用格式:张庆华,宁小亮,宋志强,等.瓦斯灾害区域安全态势预警技术[J].工矿自动化,2020,46(7):42-48.

ZHANG Qinghua, NING Xiaoliang, SONG Zhiqiang,et al.Early warning technology of regional security situation of gas disasters[J].Industry and Mine Automation,2020,46(7):42-48.