厚煤层分层开采综放工作面瓦斯涌出量预测

王小朋1,2

(1.瓦斯灾害监控与应急技术国家重点实验室, 重庆 400037;2.中煤科工集团重庆研究院有限公司, 重庆 400037)

摘要综放工作面与单一回采工艺工作面不同,采用AQ 1018-2006《矿井瓦斯涌出量预测方法》预测综放工作面瓦斯涌出量时存在较大误差,且目前缺少厚煤层分层开采综放工作面瓦斯涌出量预测方面的研究,导致瓦斯治理技术依据性不强。针对上述问题,提出了厚煤层分层开采综放工作面瓦斯涌出量预测方法。通过分析厚煤层分层开采综放工作面瓦斯涌出特点,确定了综放工作面瓦斯涌出来源,包括割煤、放煤、采空区、邻近层涌出瓦斯;针对不同瓦斯涌出来源,得出了相应的瓦斯涌出量计算公式,由此得到厚煤层分层开采综放工作面瓦斯涌出量计算公式。采用该方法对乌东煤矿及碱沟煤矿综放工作面瓦斯涌出量进行预测,预测值与实测值的误差均小于5%,满足实际生产需求。

关键词综采工作面; 综放工作面; 瓦斯涌出; 瓦斯涌出量预测; 厚煤层分层开采; 采空区遗留煤

0 引言

AQ 1018-2006《矿井瓦斯涌出量预测方法》对单一回采工艺工作面的瓦斯涌出量预测具有较高准确性,但用于预测综放工作面瓦斯涌出量时存在较大误差[1-2],因此其明确指出不适用于放顶煤工作面瓦斯涌出量预测。综放工作面较单一的炮采、普采及综采工作面多一道放煤工序,同时存在煤层厚度大、采出率偏低、局部瓦斯积聚程度增加等特点[3-4],使得综放工作面瓦斯涌出量预测存在较大困难。马建宏等[5]利用分源预测法,改进了综放工作面瓦斯涌出量预测方法,在计算瓦斯涌出量时考虑了采煤机割煤和放顶煤过程中瓦斯涌出的差异性。蒋中承等[6]通过分析综放工作面班产量与瓦斯涌出量监测数据,采用幂函数曲线拟合方法预测综放工作面瓦斯涌出量。上述文献针对的是一次采全厚综放工作面,目前缺少厚煤层分层开采综放工作面瓦斯涌出量预测方面的研究,导致该类工作面瓦斯治理技术依据性不强。本文通过分析厚煤层分层开采综放工作面瓦斯涌出来源,得出了瓦斯涌出量计算公式,利用该公式预测厚煤层分层开采综放工作面瓦斯涌出量,并通过现场试验验证了本文预测方法误差较小,对AQ 1018-2006进行了较好的补充。

1 厚煤层分层开采综放工作面瓦斯涌出分析

(1) 综放开采中割煤和放顶煤这两道工艺与综采有很大不同,使得瓦斯涌出规律不同。预测综放工作面瓦斯涌出量时,必须考虑采煤机割煤和放顶煤过程中的瓦斯涌出[7]

(2) 综放工作面回采过程中,遗留煤量包括工作面前后端头、初采、末采等丢失的煤量[8-11],导致采出率较低,采空区遗留煤较多。在预测工作面瓦斯涌出量时,应充分考量采空区遗留煤中涌出的瓦斯。

(3) 工作面上分层采空区范围内残留的煤量较少,且距离本分层开采的时间较长,瓦斯已充分释放,同时上分层采空区范围内裂隙较发育,有较多的漏风通道,瓦斯向上部移动,对本分层采空区瓦斯涌出影响不大。因此,在预测厚煤层分层开采综放工作面瓦斯涌出量时,只考虑本分层瓦斯涌出量和下分层实体煤瓦斯涌出。

2 综放工作面瓦斯涌出量预测方法

通过现场调查及分析可知,厚煤层分层开采综放工作面瓦斯涌出主要来源于割煤、放煤、采空区、邻近层,如图1所示。

图1 厚煤层分层开采综放工作面瓦斯涌出来源
Fig.1 Gas emission sources on fully-mechanized caving face with layered mining of thick coal seam

根据4种瓦斯涌出来源,得出厚煤层分层开采综放工作面瓦斯涌出量:

q=q1+q2+q3+q4

(1)

式中q1q4分别为割煤、放煤、采空区、邻近层瓦斯涌出量。

2.1 割煤瓦斯涌出

综放工作面采煤机割煤瓦斯涌出量计算原理与单一回采工艺工作面相同,公式为

(2)

式中:K1为围岩瓦斯涌出系数;K2为采区内准备巷道预排瓦斯对开采层瓦斯涌出影响系数;Kf为厚煤层分层开采时,取决于煤层分层数量和顺序的分层瓦斯涌出系数,若无分层开采则取1;m1为机采高度;M为开采煤层厚度;W0为煤层原始瓦斯含量;Wc为运出矿井后煤的残存瓦斯含量。

式(2)与AQ 1018-2006不同之处为取消了工作面遗留煤瓦斯涌出系数。考虑到综放工作面开采时遗留煤较多,且工作面的遗留煤很快进入采空区,因此计算采空区瓦斯涌出量时,单独考虑遗留煤瓦斯涌出。

2.2 放煤瓦斯涌出

综放工作面放煤瓦斯涌出量计算公式为

(3)

式中:K3为放落煤体破碎度对放煤瓦斯涌出影响系数;m2为放顶煤厚度。

考虑到放落煤体块度较大,煤体内瓦斯释放不如割落的破碎煤体充分,因此在计算放煤瓦斯涌出量时增加了放落煤体破碎度对放煤瓦斯涌出影响系数K3。研究表明,放落煤体破碎度与放顶煤垮落角有关。

在综放工作面回采前测得某区域原煤瓦斯含量Wy。该区域回采后,在工作面运输巷口(煤体已运出工作面)分别取采煤机割落的破碎煤体和放落的大块顶煤,测得残余瓦斯含量WgWf,则K3=(Wy-Wf)/(Wy-Wg)。通过分析大量现场资料,放顶煤垮落角与K3关系见表1。

表1 放顶煤垮落角与K3关系
Table 1 Relationship between top-coal caving angle and K3

放顶煤垮落角/(°)≥8070~8060~70≤60K30.95~1.000.85~0.950.75~0.850.70

2.3 采空区瓦斯涌出

工作面采空区瓦斯涌出主要来源于回采后遗留煤瓦斯涌出,而遗留煤量与开采工艺的采出率直接相关,因此根据AQ 1018-2006计算遗留煤瓦斯涌出量。对于厚煤层分层开采综放工作面,在计算采空区瓦斯涌出量时,还需考虑下分层实体煤瓦斯涌出,计算公式为

q3=K4(qy+qf)

(4)

式中:K4为采空区内承压影响区瓦斯涌出影响系数;qy为采空区遗留煤相对瓦斯涌出量;qf为下分层实体煤相对瓦斯涌出量。

qy=Kn1(1-k)(W0-Wc)

(5)

式中:Kn1为遗留煤瓦斯涌出不均衡系数;k为综放工作面平均采出率。

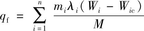
对于分层开采综放工作面,下分层实体煤瓦斯涌出与邻近层瓦斯涌出类似,不同之处是各开采分层之间不存在岩层。因此,下分层实体煤瓦斯涌出量可参考邻近层瓦斯涌出量计算公式得到。

(6)

式中:n为开采分层数;mi为第i层下部煤体厚度;λi为第i层下部煤体受采动影响的瓦斯排放率;Wi为第i层下部煤体瓦斯含量;Wic为第i层下部煤体残存瓦斯含量,通常为Wc

煤层瓦斯含量与埋深一般呈线性关系,因此设瓦斯含量沿煤层深度呈线性分布。瓦斯排放率为受采动影响的煤体释放瓦斯量与原始煤层可解吸瓦斯含量之间的比值,随距开采分层距离增大而线性减小,距离为0时排放率为100%。由此可得

Wi=wtx+W0

(7)

(8)

式中:wt为瓦斯含量梯度;x为距开采分层距离;hcp为采动影响破坏深度。

建立几何模型(图2)分析下分层实体煤瓦斯涌出。设距开采分层距离为x的煤体垂直厚度为dx(倾斜厚度为dx/sin αα为煤层倾角),下部煤体瓦斯含量及瓦斯排放率均可为dx的函数,在可接受误差范围内,假设均为线性函数。

图2 下分层实体煤瓦斯涌出分析几何模型
Fig.2 Geometry model for analyzing gas emission from coal body under mining layer

结合图2,分层开采综放工作面下分层实体煤瓦斯涌出量为

(9)

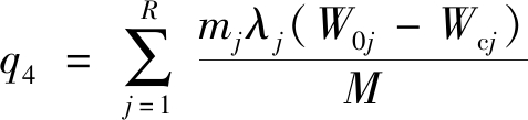
2.4 邻近层瓦斯涌出

厚煤层分层开采综放工作面开采高度大,使得垮落带和裂隙带高度增加,扩大了上下邻近层的开采影响范围。由《建筑物、水体、铁路及主要井巷煤柱留设与压煤开采规范》可知,开采高度较大,则煤层顶底板破坏影响范围较大,根据AQ 1018-2006计算的各煤层瓦斯排放率相对较高。研究表明,对于厚煤层分层开采综放工作面,可参考采高较大的非综放工作面来计算邻近层瓦斯涌出量,计算公式为

(10)

式中:R为邻近层数;mj为第j个邻近层厚度;λj为第j个邻近层瓦斯排放率;W0j为第j个邻近层原始瓦斯含量;Wcj为第j个邻近层残存瓦斯含量。

3 现场试验

为了验证厚煤层分层开采综放工作面瓦斯涌出量预测方法的准确性,分别对神华新疆能源有限责任公司乌东煤矿+575 m水平B1-2煤层西翼工作面及碱沟煤矿东翼+495 B1+2综放工作面瓦斯涌出量进行预测。工作面基本参数见表2。

根据厚煤层分层开采综放工作面瓦斯涌出量计算公式,乌东煤矿及碱沟煤矿综放工作面瓦斯涌出量预测结果见表3。结合矿井实际开采参数预测的2个煤矿工作面相对瓦斯涌出量分别为1.99,1.09 m3/t,结合工作面日产量预测的绝对瓦斯涌出量分别为3.13,0.83 m3/min。回采过程中实际测得的乌东煤矿及碱沟煤矿综放工作面绝对瓦斯涌出量分别为3.04,0.85 m3/min,预测误差均小于5%,满足实际生产需求。

表2 综放工作面基本参数
Table 2 Basic parameters of fully-mechanized caving faces

矿井工作面长度/m日产量/t机采高度/m放顶煤厚度/m分段高度/m垮落角/(°)机采采出率/%放顶煤采出率/%瓦斯含量/(m3·t-1)残存瓦斯含量/(m3·t-1)乌东煤矿30.622663.022.0256090702.681.53碱沟煤矿29.810933.219.8236095652.001.21

表3 综放工作面瓦斯涌出量预测结果
Table 3 Prediction results of gas emission rate on fully-mechanized caving faces

矿井q1/(m3·t-1)q2/(m3·t-1)q3/(m3·t-1)q4/(m3·t-1)相对瓦斯涌出量预测值/(m3·t-1)绝对瓦斯涌出量预测值/(m3·min-1)绝对瓦斯涌出量实测值/(m3·min-1)相对误差/%乌东煤矿0.040.281.490.171.993.133.042.96碱沟煤矿0.030.130.860.071.090.830.852.35

4 结语

结合厚煤层分层开采综放工作面瓦斯涌出特点,分析了综放工作面瓦斯涌出来源,研究了厚煤层分层开采综放工作面瓦斯涌出量预测方法,结合实际情况推导了瓦斯涌出量计算公式。现场测试结果表明,该方法预测值与实测值的误差小于5%,满足实际生产需求,为同类条件下综放工作面瓦斯涌出量预测提供了可靠依据。

参考文献(References):

[1] 吴世跃,张菊亮,韩婷婷,等.关于《矿井瓦斯涌出量预测方法》行业标准修订建议[J].中国煤炭,2012,38(9):117-120.

WU Shiyue,ZHANG Juliang,HAN Tingting,et al.Revision suggestions on "Prediction Methods of Mine Gas Emission Rate" industry standard[J].China Coal,2012,38(9):117-120.

[2] 何清.工作面瓦斯涌出量预测研究现状及发展趋势[J].矿业安全与环保,2016,43(4):98-101.

HE Qing.Present research situation on gas emission prediction of working face and its developing trend[J].Mining Safety & Environmental Protection,2016,43(4):98-101.

[3] 杨锦峰,孙炳兴,李毅.急倾斜特厚煤层综放开采煤体运移规律及回采率研究[J].煤炭工程,2017,49(增刊2):152-154.

YANG Jinfeng,SUN Bingxing,LI Yi.Study on coal mass migration law and recovery rate of fully mechanized top coal-caving in extra-thick steep coal seam[J].Coal Engineering,2017,49(S2):152-154.

[4] 陈延芳.提高综采放顶煤工作面回采率的探讨[J].煤,2014,23(7):81-82.

CHEN Yanfang.Disscussion on improving recovery rate of fully mechanized top coal-caving face[J].Coal, 2014,23(7):81-82.

[5] 马建宏,陈懿博,庞泽明.综放工作面瓦斯涌出量预测方法及工程实践[J].中国安全生产科学技术,2014,10(10):143-147.

MA Jianhong,CHEN Yibo,PANG Zeming.Prediction method and engineering practice of gas emission in fully mechanized top coal caving face[J].Journal of Safety Science and Technology,2014,10(10):143-147.

[6] 蒋中承,陈开岩.综放工作面瓦斯涌出量预测统计模型及应用[J].煤矿安全,2011,42(1):82-85.

JIANG Zhongcheng,CHEN Kaiyan. The statistical prediction model of the gas emission for the fully mechanized caving face and its applications[J].Safety in Coal Mines,2011,42(1):82-85.

[7] 姜文忠,霍中刚,秦玉金.矿井瓦斯涌出量预测技术[J].煤炭科学技术,2008,36(6):1-4.

JIANG Wenzhong,HUO Zhonggang,QIN Yujin.Predicted technology of mine gas emission[J].Coal Science and Technology,2008,36(6):1-4.

[8] 黄贺江.回采工作面推进过程中的瓦斯涌出预测分析[J].工矿自动化,2017,43(8):90-93.

HUANG Hejiang.Prediction and analysis of gas emission in advancing process of stope working face[J].Industry and Mine Automation,2017,43(8):90-93.

[9] 王生全,冯海,范琪.陈家山煤矿采面瓦斯涌出量影响因素及建模预测[J].中国煤炭地质,2011,23(7):28-32.

WANG Shengquan,FENG Hai,FAN Qi.Coal face gas emission rate influencing factors and modeling prediction in Chenjiashan Coalmine[J].Coal Geology of China,2011,23(7):28-32.

[10] 王招,王锦,朱建功.阳泉五矿综放面瓦斯涌出的影响因素分析[J].煤,2000,9(5):23-26.

WANG Zhao,WANG Jin,ZHU Jiangong.The analyses of the gas bursting out factors of the Yangquan Fifth Mine[J].Coal,2000,9(5):23-26.

[11] 王魁军,程五一,高坤.矿井瓦斯涌出理论及预测技术[M].北京:煤炭工业出版社,2009.

WANG Kuijun,CHENG Wuyi,GAO Kun.Mine gas emission theory and prediction thechnology[M].Beijing:Coal Industry Press,2009.

Prediction of gas emission rate on fully-mechanized caving face with layered mining of thick coal seam

WANG Xiaopeng1,2

(1.State Key Laboratory of the Gas Disaster Detecting, Preventing and Emergency Controlling,Chongqing 400037, China; 2.CCTEG Chongqing Research Institute, Chongqing 400037, China)

Abstract:Due to the difference between fully-mechanized caving face and single stoping process face, there would be a big error in predicting gas emission rate on fully mechanized caving face by use of AQ 1018-2006 The Predicted Method of Mine Gas Emission Rate. Meanwhile, there is a lack of research on prediction of gas emission rate on fully-mechanized caving face with layered mining of thick coal seam at present, which results in weak technology base for gas control. For the above problems, a prediction method of gas emission rate on fully-mechanized caving face with layered mining of thick coal seam was proposed. By analyzing gas emission characteristics of the fully-mechanized caving face, gas emission sources were determined including gas from coal cutting, coal caving, goaf and adjacent layers. Corresponding calculation formulas of gas emission rate were obtained according to different gas emission sources, so as to get a calculation formula of gas emission rate on fully-mechanized coal-caving face with layered mining of thick coal seam. The method has been used to predict gas emission rate on fully-mechanized caving faces of Wudong Coal Mine and Jian'gou Coal Mine separately, and the results show that the error between the predicted result and the measured value is less than 5% to meet actual production needs.

Key words:fully-mechanized coal mining face; fully-mechanized caving face; gas emission; prediction of gas emission rate; layered mining of thick coal seam; coal left over from the goaf

中图分类号:TD712

文献标志码:A

文章编号1671-251X(2020)06-0072-04

DOI:10.13272/j.issn.1671-251x.2019090079

收稿日期:2019-09-23;修回日期:2020-05-29;责任编辑:李明。

基金项目:国家科技重大专项项目(2016ZX05067-004-004)。

作者简介:王小朋(1982-),男,山西运城人,副研究员,硕士,现主要从事瓦斯治理方面的研究工作,E-mail:18623001556@163.com。

引用格式:王小朋.厚煤层分层开采综放工作面瓦斯涌出量预测[J].工矿自动化,2020,46(6):72-75.

WANG Xiaopeng.Prediction of gas emission rate on fully-mechanized caving face with layered mining of thick coal seam[J].Industry and Mine Automation,2020,46(6):72-75.