井下综采设备的健康状态评估和剩余寿命预测方法构建是实现煤矿智能化的必要保障[1]。采煤机是煤炭开采活动中不可或缺的最重要、基本的设备,加强对采煤机的状态监测,智能准确评估其健康状态,对保障煤炭生产安全具有重要作用。研究有效的采煤机健康状态智能评估方法是煤矿智能化的关键。采煤机运行环境复杂恶劣,仅采用传统评估方法如层次分析法[2]、模糊综合评判法[3]、隐马尔科夫模型[4-5]等判断采煤机健康状态,受人为因素影响较大、状态评估效率低,难以满足煤矿智能化需求。文献[6]研究了基于BP(Back Propagation)神经网络的采煤机传动故障诊断方法,但BP神经网络的收敛速度较慢。文献[7]研究了一种基于模糊综合评价的采煤机摇臂维修状态评估方法,但其指标权重确定依赖于专家打分,受人为因素影响较大,评估准确率低。文献[8]基于劣化度指标构建了采煤机实时评估模型,通过求解采煤机状态评估向量判断采煤机的健康状态,但其权重确定受人为因素影响较大,评估准确率不高。文献[9]基于遗传算法(Genetic Algorithm,GA)对采煤机进行故障诊断,但单一算法局部搜索能力差,计算过程复杂。
以上文献采用的传统评估方法存在由于评估指标权重确定受人为因素影响较大导致评估准确率不高、采用单一评估算法导致局部搜索能力弱和抗干扰能力差、寻找全局最优值能力不足等问题。针对以上问题,本文提出了一种结合主成分分析(Principal Component Analysis,PCA)与GA优化BP神经网络的采煤机健康状态智能评估方法。根据采煤机的结构和工作原理选择采煤机状态监测点位,获取与采煤机健康状态相关的各项状态参数,应用PCA对采煤机状态数据进行降维和特征提取,避免神经网络输入的复杂化;为弥补单一算法抗干扰能力差和寻找全局最优值能力不足的缺陷,通过GA优化BP神经网络构建智能评估算法,进而可准确、智能评估采煤机健康状态。实验结果证明了该智能评估方法的优越性。
智能评估是指应用人工智能算法和理论的自动化评估[10]。本文围绕煤矿智能化目标,建立了采煤机健康状态智能评估模型。首先将采煤机原始状态数据集进行标准化处理,对其进行PCA降维,然后将降维后的数据输入GA-BP评估模型进行训练,最后通过智能评估模型输出结果,实现自学习、自寻优和自主判断采煤机健康状态。采煤机智能评估流程如图1所示。
图1 采煤机健康状态智能评估流程
Fig.1 Intelligent evaluation process of health state of shearer
通过对采煤机关键零部件结构和采煤机工作原理进行分析,结合煤矿企业的实际情况和专家经验可知,采煤机牵引部、截割部等是极易发生故障的部件。所以,选择采煤机牵引部、截割部、液压调高系统等的状态监测参数作为采煤机状态监测的主要参数。主要监测参数综合选取遵循的原则如下:
(1) 可测性。可测性是采煤机健康状态评估的基础。采煤机的状态评估方法研究都是基于监测数据进行的,所以,各项参数应能被准确测量。
(2) 独立性。监测参数的选择要从某一个方面反映采煤机当前的健康水平,参数之间要尽量避免交叉或者包含现象,要避免重复性。
(3) 全面性。采煤机的所有监测参数应当全面反映采煤机的当前状态,监测参数应当具有广泛性和通用性。
在此基础上选取采煤机健康状态监测参数,并绘制健康状态监测参数表,见表1。
表1 采煤机健康状态监测参数
Table 1 Monitoring parameters of shearers' health state
采煤机部件监测参数符号牵引部牵引电动机转速C11牵引电动机温度C12牵引电动机电流C13牵引电动机振动C14截割部截割电动机电流C21截割电动机温度C22截割轴温度C23截割电动机振动C24液压调高系统调高泵电动机转速C31调高泵电动机电流C32调高泵工作压力C33调高泵电动机温度C34其他装置破碎电动机电流C41破碎电动机温度C42变频器温度C43
2.2.1 PCA原理
PCA原理是将原有数据的高维特征集中到低维上,得到原始状态数据的主成分[11]。对于状态参数来讲,PCA能够将分散在各个参数上的关键信息通过线性组合提取到几个综合参数上,而不会丢失数据本身的大部分关键信息,可在保证数据不失真的情况下减少数据维度和去除冗余数据。
2.2.2 基于PCA的采煤机状态数据降维步骤
假设有m项n维采煤机状态参数数据,可得到状态参数矩阵为X=(xij)m×n,其中,xij 表示采煤机每一条监测参数数据,i=1,2,…,m,j=1,2,…,n,本文中m=1 000,n=15。采用PCA处理采煤机状态参数矩阵的步骤如下:
步骤1:采煤机状态参数标准化处理。因为反映采煤机健康状态的参数如截割电动机电流、截割轴温度等数据类型的量纲不统一,所以,要将状态数据进行标准化处理,其计算方法如下:
P=
(1)
式中:P为标准化后的数据;P1—Pn为每一列数据的均值。
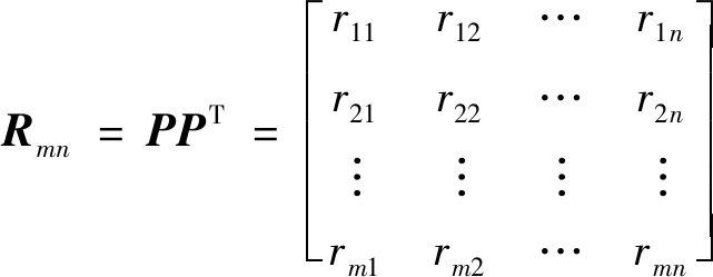
步骤2:状态数据间协方差矩阵计算。由采煤机状态参数标准化矩阵可得到协方差矩阵Rmn为
(2)
式中rij为参数xi与xj的协方差。
步骤3:计算状态数据间协方差矩阵R的特征值(λ1,λ2,…,λs)和相对应的特征向量eh=(eh1,eh2,…,ehs),其中h=1,2,…,s,s为特征向量总个数。在此基础上将特征值按降序进行排列。
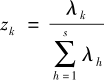
步骤4:确定提取后的每个个体主成分的贡献率和累计贡献率。其中,第k个主成分的贡献率zk、k个主成分的累计贡献率z分别为
(3)
(4)
其中k=1,2,…,s。
步骤5:确定输入评估算法的主成分个数。为保证足够的状态信息准确度,自然科学领域一般取累计主成分贡献率达到95%的信息作为算法输入[12]。
BP神经网络具备强大的自学习、自适应能力与非线性映射性,并且能够将学习内容自适应地记忆在网络的权重中[13],非常适合用于状态分类等问题。BP神经网络通常有输入、隐含、输出3层网络结构[14],如图2所示。
图2 BP神经网络基本结构
Fig.2 Basic structure of BP neural network
BP神经网络在使用过程中难免存在收敛速度较慢和容易陷入部分极小值等不足[15],极大影响了状态评估的速率和准确性,故需对其进行优化。GA通过遗传操作剔除适应度低的个体,同时保存适应度高的个体,从而对优秀个体进行筛选。GA优化BP神经网络过程通常有选择、交叉、变异等遗传操作[16]。考虑到GA对神经网络的全局最优值优化效果较好,本文采用GA对BP神经网络进行优化。GA优化BP神经网络流程如图3所示。
图3 GA优化BP神经网络流程
Fig.3 Process of GA optimized BP neural network
本文选取陕西某煤矿企业采煤机状态监测数据1 000条作为实验数据,其中“健康”数据为400条、“良好”数据为300条、“恶化”数据为200条、“故障”数据为100条。采煤机每个健康状态等级对应的状态描述见表2,标准化后的采煤机健康状态监测参数见表3。
表2 采煤机健康状态等级描述 Table 2 Description of shearers' health state grade
运行状态等级标签采煤机健康状态等级健康状态等级描述状态1健康采煤机处于完全正常状态,工作性能稳定,无需采取措施状态2良好采煤机处于良好状态,工作性能基本稳定,基本无需采取措施状态3恶化采煤机运行状态发生恶化,需要加强监测对应指标,尽快安排维护状态4故障采煤机健康状态指标失衡或已发生故障,不能正常工作,必须立刻停机维护
表3 标准化后的采煤机健康状态监测参数
Table 3 Monitoring parameters of shearers' health state after standardization treatment
序号C11C12C13C14C21C22C23C24C31C32C33C34C41C42C43状态10.97570.86970.79190.97260.96130.98120.90920.78100.96320.85370.96400.70680.82010.83630.7337120.63450.55350.64820.54150.54760.55610.57360.53140.49930.54780.54830.46580.61720.48770.5989330.77870.69030.72350.76570.76230.76390.60180.78330.76740.72390.77970.68250.63220.71050.6302240.71420.67520.63130.75710.60640.67480.78950.77660.73910.75870.62820.73210.76450.74180.6907250.98970.77810.71650.77280.80200.96680.81770.73360.93170.82890.81510.94700.93030.71570.7718160.78110.99060.96350.76780.97050.92060.72330.73150.73480.78670.82250.88870.85120.94190.8451170.42220.42620.58440.53760.36610.36410.55730.35090.40800.42320.38580.55640.70490.43490.4116480.76640.76100.79590.78920.77180.77880.73100.65870.69500.64340.73130.73160.70910.67220.74392︙︙︙︙︙︙︙︙︙︙︙︙︙︙︙︙︙9970.71250.62870.60280.67370.72070.68380.61800.72200.65400.63200.73940.71000.70490.73250.661429980.96030.81060.85260.80940.77320.92710.91380.82650.72350.87930.75390.72570.83210.92250.726419990.78010.99510.89370.80840.84440.78490.86680.96580.89780.90300.91030.70340.81220.90260.7463110000.77960.63170.62190.70160.75990.63220.73350.72870.72250.75140.71800.66860.69750.77020.79222
将牵引电动机转速等15维标准化后的采煤机健康状态监测参数导入PCA模型中进行主成分分析。通过个体贡献率、累计贡献率计算,得到采煤机状态数据的PCA降维结果,可知前5个主成分的累计贡献率达到98.09%,超过给定的贡献度阈值95%,所以,选择前5个PCA结果值作为输入特征参数,具体信息见表4。因此,可得到经PCA降维后的前5个主成分PCA1—PCA5的训练数据,每一个训练样本包括5个主成分和对应的健康状态标签。
表4 前5个主成分变量的个体贡献率和累计贡献率
Table 4 Individual contribution rate and accumulative contribution rate of the first five principal component variables
主成分个体贡献率/%累计贡献率/%PCA165.1465.14PCA213.1378.27PCA37.0685.33PCA46.7592.08PCA56.0198.09
将实验数据中的90%作为训练集,10%作为测试集,通过GA-BP神经网络设置各项参数,采用Matlab软件进行仿真实验。评估模型的输入为采煤机状态监测参数经PCA降维得到的5维主成分,将神经网络输入层节点数设为5,输出为采煤机的整机状态值,则输出层节点数设置为1,隐含层节点的个数通过实验来确定。计算GA-BP神经网络的隐含层节点数的公式为
(5)
式中:a为隐含层节点数;b为输入层节点数;l为输出层节点数;α为常数。
将b=5,l=1代入式(5),经过多次实验发现,隐含层个数设置为5时评估效率最佳。所以,神经网络各项参数设置如下:最大训练次数为300,隐含层神经元数量为5,学习率为0.1。遗传算法的各项参数初步设置如下:进化代数为40次,种群范围为10,交叉概率为0.5,变异概率为0.2。在GA优化BP的过程中,种群遗传过程中每代的适应度如图4所示。
图4 种群遗传过程适应度和进化代数曲线
Fig.4 Fitness and evolution times curves of population genetic process
由图4可看出,当进化代数超过20时,种群的平均适应度基本等于最优个体的适应度,种群完成进化。通过程序运行得到GA优化BP后的初始最优权重和阈值,见表5。其中,Wij为输入层与隐含层间的权值,B1j为隐含层阈值,U2j为隐含层与输出层的阈值,B2j为输出层阈值。
表5 GA优化BP后的最优初始权重与阈值
Table 5 Optimal initial weights and thresholds after BP optimized by GA
权重与阈值隐含层12345W1j-1.33132.0611-2.69491.39652W2j-1.05492.1941-1.0922-1.5452-1W3j-0.8661-1.89410.38582.0603-0W4j0.09511.32361.3132-2.6661-0W5j2.34710.3062-0.60272.91541B1j2.70700.6362-1.54660.43001U2j0.3311-0.66581.23191.6729-1B2j2.7007————
在此基础上将采煤机原始状态数据集和PCA降维后的数据集分别代入BP模型、GA-BP模型、PCA-GA-BP模型中,测试集的采煤机健康状态预测结果分别如图5—图7所示。
图5 基于BP神经网络的采煤机健康状态预测结果
Fig.5 Prediction results of shearers' health state based on BP neural network
图6 基于GA-BP神经网络的采煤机健康状态预测结果
Fig.6 Prediction results of shearers' health state based on GA-BP neural network
图7 基于PCA-GA-BP算法的采煤机健康状态预测结果
Fig.7 Prediction results of shearers' health state based on PCA-GA-BP algorithm
由图5—图7可看出,当采用单一BP神经网络时,状态预测结果与真实的采煤机健康状态相差较大;采用GA优化BP神经网络后的状态评估准确率明显提升,但此方法输入参数较多,训练耗时比较长;而采用PCA降维后的数据作为输入,PCA-GA-BP模型的预测精度显著提升,测试集中采煤机的健康状态绝大部分能够正确识别。
为保证神经网络训练集和测试集划分的科学性和预测结果的准确性,将1 000个数据样本的训练集和测试集按9∶1的比例进行划分,对结果进行十折交叉验证。将数据样本分为10份,轮流选择其中9份作为训练集,其余1份为测试集,通过10次实验分别对3种算法的评估准确率进行验证,实验结果对比如图8所示。
图8 3种算法的评估准确率对比
Fig.8 Comparison of evaluation accuracy of three algorithms
由图8可看出,基于PCA-GA-BP的采煤机健康状态评估方法的平均准确率达97.08%,明显高于BP神经网络89.05%的平均准确率和GA-BP神经网络92.87%的平均准确率。
3种算法的采煤机健康状态评估结果对比见表6。
表6 3种算法的采煤机健康状态评估结果对比
Table 6 Comparison of evaluation results of three algorithms of shearers' health state
评估算法输入层节点数训练时间/s均方误差(MSE)平均准确率/%BP157.121.12×10-289.05GA-BP1517.964.09×10-392.87PCA-GA-BP511.381.21×10-397.08
由表6可看出,采用PCA-GA-BP的采煤机健康状态智能评估方法由于数据输入维度较小,在保证均方误差较小的前提下,仅需要较短的模型训练和状态评估时间,准确率也相对提高,可准确、智能评估采煤机健康状态。
(1) 提出了一种基于PCA-GA-BP神经网络的采煤机健康状态智能评估方法,有效解决了目前采煤机健康状态评估中存在的评估准确率不高、评估效率低的难题。采用PCA对采煤机状态数据集进行降维与特征提取,提取的前5个主成分贡献率达98.05%,进而减少了BP神经网络的输入层数;通过GA对BP神经网络评估过程进行全局最优值优化, 弥补了BP神经网络评估的不足,最后得到评估准确率达97.08%。该方法能准确有效地实现采煤机健康状态的智能评估,减少了评估工作量,为准确掌握采煤机当前状态、合理进行维护提供了有效解决方案。
(2) 该方法未考虑当采煤机状态数据量过大时的适用性,后期工作中可以考虑采用深度学习方法对采煤机健康状态进行评估。
[1] 王国法,刘峰,孟祥军,等.煤矿智能化(初级阶段)研究与实践[J].煤炭科学技术,2019,47(8):1-36.
WANG Guofa, LIU Feng, MENG Xiangjun, et al. Research and practice of coal mine intelligentization (primary stage) [J]. Coal Science and Technology,2019,47(8):1-36.
[2] 钱旭,刘枫.基于模糊层次分析法的WIA-PA健康评估方法[J].工矿自动化,2011,37(10):63-66.
QIAN Xu, LIU Feng. Method of WIA-PA health evaluation based on FAHP[J].Industry and Mine Automation,2011,37(10):63-66.
[3] 吴俊杰,陈程,程林,等.基于模糊综合评价法的智能变电站二次设备状态评价研究[J].电测与仪表,2018,55(8):72-76.
WU Junjie, CHEN Cheng, CHENG Lin, et al.Study on state evaluation of secondary equipment in intelligent substation based on fuzzy comprehensive evaluation method[J]. Electrical Measurement & Instrumentation, 2018,55(8):72-76.
[4] 徐宇亮,孙际哲,陈西宏,等.电子设备健康状态评估与故障预测方法[J].系统工程与电子技术,2012,34(5):1068-1072.
XU Yuliang,SUN Jizhe,CHEN Xihong,et al. Method of health performance evaluation and fault prognostics for electronic equipment[J]. Systems Engineering and Electronics,2012, 34(5): 1068-1072.
[5] TOBON-MEJIA D A, MEDJAHER K, ZERHOUNI N,et al. A data-driven failure prognostics method based on mixture of gaussians hidden markov models[J]. IEEE Transactions on Reliability, 2012, 61(2):491-503.
[6] 郭媛媛.基于BP神经网络的采煤机传动机构故障诊断系统研究[J].机械管理开发,2019,34(8):145-147.
GUO Yuanyuan.Research on fault diagnosis system of shearer transmission mechanism based on BP neural network[J].Mechanical Management and Development,2019,34(8):145-147.
[7] 陈相丞. 采煤机摇臂系统维修状态评估方法研究[D].徐州:中国矿业大学,2018.
CHEN Xiangcheng.Study on maintenance state evaluation methods of rocker arm system of shearer[D].Xuzhou: China University of Mining and Technology,2018.
[8] 何宗政,雷一楠,曹现刚,等.基于劣化度的采煤机健康状态评价方法研究[J].煤矿机械,2019,40(12):54-57.
HE Zongzheng, LEI Yinan, CAO Xiangang, et al. Research on evaluation method of shearer health status based on deterioration degree[J]. Coal Mine Machinery,2019,40(12):54-57.
[9] 刘训非.基于改进遗传算法的刨煤机故障诊断研究[J].煤矿机械,2013,34(12):259-261.
LIU Xunfei.Study on fault diagnosis of coal planer based on improved genetic algorithm [J]. Coal Mine Machinery,2013,34(12):259- 261.
[10] 段尊雷,任光,张均东,等.船舶机舱协作式模拟训练智能评估[J].交通运输工程学报,2016,16(6):82-90.
DUAN Zunlei,REN Guang, ZHANG Jundong,et al. Intelligent assessment of cooperative simulation training in ship engine room[J].Journal of Traffic and Transportation Engineering,2016,16(6):82-90.
[11] 过江,张碧肖.基于PCA与BP神经网络的充填管道失效风险评估[J].黄金科学技术,2015,23(5):66-71.
GUO Jiang,ZHANG Bixiao.Invalidation risk evaluation of backfill pipe based on PCA and BP neural network[J].Gold Science and Technology,2015,23(5):66-71.
[12] 刘刚,刘闯,夏向阳,等.基于PCA-SVDD方法的钻头异常钻进识别[J].振动与冲击,2015,34(13):158-162.
LIU Gang, LIU Chuang, XIA Xiangyang, et al. Drill bit abnormal drilling condition recognition based on PCA-SVDD[J].Journal of Vibration and Shock,2015,34(13):158-162.
[13] 王飞. 基于深度学习的人脸识别算法研究[D].兰州:兰州交通大学,2017.
WANG Fei. Research on face recognition algorithm based on deep learning [D].Lanzhou: Lanzhou Jiaotong University, 2017.
[14] 何华锋,何耀民,徐永壮.基于改进型BP神经网络的导引头测高性能评估[J].系统工程与电子技术,2019,41(7):1544-1550.
HE Huafeng, HE Yaomin, XU Yongzhuang. High performance evaluation of seeker measurement based on improved BP neural network[J].Systems Engineering and Electronics, 2019,41(7):1544-1550.
[15] 高玉明,张仁津.基于遗传算法和BP神经网络的房价预测分析[J].计算机工程,2014,40(4):187-191.
GAO Yuming, ZHANG Renjin. Analysis of house price prediction based on genetic algorithm and BP neural network [J]. Computer Engineering, 2014,40(4):187-191.
[16] 邓伟锋,李振璧.基于GA优化BP神经网络的微电网蓄电池健康状态评估[J].电测与仪表,2018,55(21):56-60.
DENG Weifeng, LI Zhenbi. Estimation of SOH for micro-grid battery based on GA optimized BP neural network[J].Electrical Measurement & Instrumentation,2018,55(21):56-60.
[17] 张祎果.基于状态监测技术的配电设备运行风险评估[D].北京:华北电力大学,2016.
ZHANG Yiguo. The research on risk assessment of distribution equipment based on condition monitoring [D]. Beijing: North China Electric Power University,2016.
[18] 李晋,朱强强,范旭峰,等.大型机电设备健康状态评估方法研究[J].工矿自动化,2015,41(1):6-9.
LI Jin, ZHU Qiangqiang,FAN Xufeng, et al. Research of health status evaluation method for large electromechanical equipment[J].Industry and Mine Automation,2015,41(1):6-9.
[19] 马宏伟,吴少杰,曹现刚,等.煤矿综采设备运行状态大数据清洗建模[J].工矿自动化,2018,44(11):80-83.
MA Hongwei,WU Shaojie,CAO Xiangang,et al.Big data cleaning modeling of operation status of coal mine fully-mechanized coal mining equipment[J].Industry and Mine Automation,2018,44(11):80-83.
CAO Xiangang,LI Yanchuan,LEI Zhuo,et al.Research on intelligent evaluation method of health state of shearer[J].Industry and Mine Automation,2020,46(6):41-47.