应用于煤矿等危险环境中的本质安全(简称本安)电路存在储能元件,电容电路在接通或电感电路在断开时极易出现火花放电现象,从而引爆周围可燃性气体,对矿工人身安全及设备正常运行造成严重威胁。因此,研究本安电路放电特性的影响因素具有重要意义[1-3]。
本安电路一般分为纯电感电路、纯电容电路、纯电阻电路及复合型电路,其中复合型电路应用较广泛,其放电特性较复杂[4-5]。本安电路放电特性的影响因素包括电路元件参数、开关触点的关断动作及速度、外在环境等[6]。针对电路元件参数对复合型本安电路放电特性的影响,目前已有部分学者进行了研究。孟庆海等[7]发现了最小建弧电压,建立了复合型电路发生容性点燃时的放电电流数学模型;徐直[8]对简单电路和复合型电路2种形式的本安电路放电特性进行了简单分析,但未进行数学分析;于月森等[9]对CL和LC 2种形式的复合型电路数学模型进行了推导,分析了电路处于非振荡状态时的放电特性,但仅考虑了电感和电容2种因素。在前文研究基础上,本文采用Matlab软件,从放电电流、功率及能量3个方面[10-11],分析了复合型本安电路处于非振荡状态时所有元件参数对放电特性的影响。
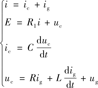
复合型本安电路放电原理[12]如图1所示。E为电源电压;i为电源电流;R1为充电电阻;R为电阻;C为电容;ic,uc分别为电容C的电流和电压;L为电感;G为IEC火花试验装置;ig,ug分别为火花间隙的电流和电压,即放电电流和电压。
图1 复合型本安电路放电原理
Fig.1 Discharge principle of compound intrinsically-safe circuit
根据图1可得

(1)
式中t为时间。
整理可得二阶非齐次微分方程:
(2)
式中:A=R/L+1/(R1C);B=(1+R/R1)/(LC);K=(ug+RE/R1)/(LC)。
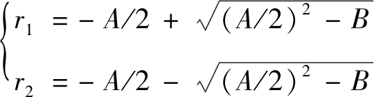
根据式(2)可得其齐次方程的特征根r1,r2:
(3)
即

(4)
当(A/2)2-B>0时,电路处于非振荡状态,式(2)的通解为uc=D1exp(r1t)+D2exp(r2t)+K/B,其中D1,D2为任意常数;当(A/2)2-B<0时,电路处于振荡状态,式(2)的通解为uc=exp(αt)[D3cos(βt)+D4sin(βt)]+K/B,其中
为任意常数。
在电路接通或断开时,放电过程会因电路参数、电路状态等因素的变化而变化,从而影响储能元件向火花间隙释放能量。在实际中,火花放电出现在电路处于非振荡状态时的概率较处于振荡状态时大得多,因此本文主要讨论电路处于非振荡状态时影响火花放电特性的因素。
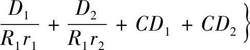
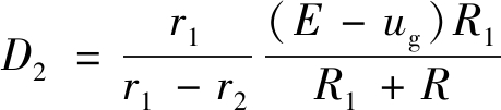
当电路处于非振荡状态时,D1、D2、放电电流ig、放电功率P、放电能量W表达式如式(5)—式(9)所示。
(5)
(6)
C[D1r1exp(r1t)+D2r2exp(r2t)]
(7)
(8)
(9)
当复合型本安电路发生通断时,由于存在电感、电容,可能会产生火花,从而引爆可燃性气体[13-14],所以应从电路本质上分析图1中各元件参数对电路放电特性的影响。考虑到复合型本安电路火花放电过程比较复杂,采用Matlab软件进行模拟仿真,分析每种因素变化对放电特性的影响。
在Ⅰ类复合型本安电路中,首先保证选择的电路元件参数满足非振荡条件,其次保证电路处于本安条件,最后在保持其他元件参数不变的情况下,依次改变电源电压、电感、电容、电阻,观察Matlab仿真结果,分析这些因素对火花放电电流、功率及能量的影响。
(1) 改变电源电压。设置电路参数C=6 μF,L=1 mH,R=40 Ω,R1=20 Ω,E=12~18 V。通过计算并查看文献[1]可知,最大短路电流为0.495 A,小于允许短路电流(1 A),电容小于电路允许电容(9 μF),满足电路本安要求。Matlab仿真结果如图2所示。可看出在相同电源电压下,随着时间延长,放电电流先增大后减小并逐渐趋于稳定,放电功率先增大后趋于稳定,放电能量逐渐增大;随着电源电压增大,放电电流和功率稳定值增大,同一时刻的放电能量增大。电源通过充电电阻R1向电容充电,电容容量从初始时的0逐渐增大为0.5CE2,而放电能量与电容容量密切相关,因此电源对火花放电的贡献不可忽略。
(a) 放电电流
(b) 放电功率
(c) 放电能量
图2 电源电压不同时放电特性仿真结果
Fig.2 Simulation results of discharge characteristics under different power supply voltage
(2) 改变电感。设置电路参数E=18 V,C=6 μF,R=40 Ω,R1=20 Ω,L=0.2~1 mH。经计算得最大短路电流为0.495 A,小于允许短路电流,电容小于电路允许电容,满足电路本安要求。Matlab仿真结果如图3所示。可看出在相同电感下,随着时间延长,放电电流、功率均先增大后减小并逐渐趋于稳定,前者曲线上升率、下降率均较大,放电能量则逐渐增大;随着电感增大,放电电流、功率、能量变化均较平缓,且在相同时刻变化较小。由于电感具有阻碍电流变化的作用,电感越大,电流在相同时间内变化越小,所以电流和电压的重叠面积越小,放电功率和能量越小。
(a) 放电电流
(b) 放电功率
(c) 放电能量
图3 电感不同时放电特性仿真结果
Fig.3 Simulation results of discharge characteristics under different inductance
(3) 改变电容。设置电路参数E=18 V,L=1 mH,R=40 Ω,R1=20 Ω,C=5~8 μF。经计算得最大短路电流为0.495 A,小于允许短路电流,电容小于电路允许电容,满足电路本安要求。Matlab仿真结果如图4所示。可看出在相同电容下,随着时间延长,放电电流和功率均先增大后减小并逐渐趋于稳定,但趋于稳定的时间不同,放电能量逐渐增大;在初始阶段(约0.07 ms内),三者不随电容的变化而变化,之后随电容增大而逐渐增大,这是因为电感不变,即阻碍电流变化的能力相同,而电容越大,则存储能量越大,释放的能量也越大。
(4) 改变电阻R。设置电路参数E=18 V,C=6 μF,L=1 mH,R1=20 Ω,R=50~80 Ω。经计算得最大短路电流为0.424 A,小于允许短路电流,电容小于电路允许电容,满足电路本安要求。Matlab仿真结果如图5所示。可看出初始阶段电流相同,随着时间延长,电阻越小,则放电电流、功率曲线峰值越大,且达到峰值所用时间越长;电阻越小,对放电电流、功率及能量的影响越大。
(a) 放电电流
(b) 放电功率
(c) 放电能量
图4 电容不同时放电特性仿真结果
Fig.4 Simulation results of discharge characteristics under different capacitance
(a) 放电电流
(b) 放电功率
(c) 放电能量
图5 电阻R不同时放电特性仿真结果
Fig.5 Simulation results of discharge characteristics under different resistance R
(5) 改变电阻R1。设置电路参数E=18 V,C=6 μF,L=1 mH,R=40 Ω,R1=15~45 Ω。经计算得最大短路电流为0.540 A,小于允许短路电流,电容小于电路允许电容,满足电路本安要求。Matlab仿真结果如图6所示。可看出对于不同的电阻R1,放电电流和功率分别在相同时刻达到峰值;放电电流、功率及能量均随R1增大而减小。由于电源通过充电电阻R1向电容C充电,电容在存储能量的同时放电,R1越小,自身消耗的能量越小,火花放电能量越大。
(a) 放电电流
(b) 放电功率
(c) 放电能量
图6 电阻R1不同时放电特性仿真结果
Fig.6 Simulation results of discharge characteristics under different resistance R1
(1) 分析并推导了复合型本安电路在非振荡状态下放电电流、功率、能量的数学模型,采用Matlab软件进行模拟仿真,结果表明在非振荡复合型本安电路中,电源电压、电感、电容、电阻R、电阻R1对放电特性均有影响。
(2) 随着电源电压增大,放电电流和功率稳定值增大,同一时刻的放电能量增大。随着电感增大,对电流的阻碍作用增大,放电功率和能量均逐渐减小,这有利于提高电路本安性能。在初始阶段,放电电流、功率和能量不随电容变化而变化,之后均随电容增大而逐渐增大。电阻R越小,对放电电流、功率及能量的影响越大。放电电流、功率及能量均随电阻R1增大而减小。
(3) 分析影响复合型本安电路放电特性的各种因素,有利于设计人员在设计电路时预估其本安性能,避免送检时反复修改资料,延误进度。
[1] GB 3836.4—2010 爆炸性环境 第4部分:由本质安全型“i”保护的设备[S].
GB 3836.4-2010 Explosive atmospheres-part 4:equipment protection by intrinsic safety "i"[S].
[2] 朱前伟.火花点燃试验辅助装置设计[J].工矿自动化,2016,42(1):4-6.
ZHU Qianwei.Design of assist device for spark test[J].Industry and Mine Automation,2016,42(1):4-6.
[3] 孙士宏,陈思忠,刘琴.本质安全型电路的消火花电路分析[J].煤矿机电,2011(4):107-109.
SUN Shihong, CHEN Sizhong, LIU Qin. Analysis of elimination spark circuit of intrinsically safe circuit[J].Colliery Mechanical & Electrical Technology,2011(4):107-109.
[4] 赵永秀,刘树林,马一博.爆炸性试验电感电路分断放电特性分析与建模[J].煤炭学报,2015,40(7):1698-1704.
ZHAO Yongxiu,LIU Shulin,MA Yibo.Analysis and modeling of inductor-disconnected-discharged characteristics based on explosive test[J].Journal of China Coal Society,2015,40(7):1698-1704.
[5] 孟庆海,袁明华,王进己.电感性本质安全电路火花放电全过程仿真[J].北方工业大学学报,2017,29(5):50-54.
MENG Qinghai,YUAN Minghua,WANG Jinji. Simulation of spark discharge process in intrinsically safe inductive circuits[J].Journal of North China University of Technology,2017,29(5):50-54.
[6] 黄鹤松,陈曦,田成金,等.一种高性能矿用本质安全型电源设计[J].工矿自动化,2019,45(2):18-23.
HUANG Hesong,CHEN Xi,TIAN Chengjin,et al.Design of a high-performance mine-used intrinsically safe power supply[J]. Industry and Mine Automation,2019,45(2):18-23.
[7] 孟庆海,牟龙华.本质安全电感电容复合电路电弧放电特性的研究[J].煤炭学报,2004,29(4):510-512.
MENG Qinghai,MOU Longhua.Arc discharge characteristics of intrinsically safe compound circuits[J].Journal of China Coal Society,2004,29(4):510-512.
[8] 徐直.本质安全电路放电特性的研究[J].煤矿机械,2014,35(7):92-93.
XU Zhi.Research on discharge characteristics of intrinsically safe circuit[J].Coal Mine Machinery,2014,35(7):92-93.
[9] 于月森,戚文艳,胡义涛,等.复合电路的放电特性研究[J].煤矿安全,2013,44(9):54-57.
YU Yuesen,QI Wenyan,HU Yitao,et al.Study on discharge characteristics of compound circuits[J].Safety in Coal Mines, 2013,44(9):54-57.
[10] 孟庆海,王进己.本质安全电感电路电弧放电时间双正态分布[J].电工技术学报,2017,32(2):119-124.
MENG Qinghai,WANG Jinji.Dual normal distribution of arc discharge time for inductive intrinsically safe circuits[J].Transactions of China Electrotechnical Society,2017,32(2):119-124.
[11] 井莉楠.本质安全电路电弧放电特性与非爆炸检测方法的研究[D].焦作:河南理工大学,2007.
JING Linan.The research on characteristic of arc discharge of intrinsically safe circuits and non-explosion detecting method[D].Jiaozuo:Henan Polytechnic University,2007.
[12] 王立功,井莉楠.本质安全电路电弧放电点燃特性检测系统研究[J].河南理工大学学报(自然科学版),2009,28(1):94-99.
WANG Ligong,JING Linan.The research on kindling characteristic testing system of electrical arc discharge in intrinsic safety circuit[J].Journal of Henan Polytechnic University(Natural Science),2009,28(1):94-99.
[13] 刘树林,钟久明,樊文斌,等.电容电路短路火花放电特性及其建模研究[J].煤炭学报,2012,37(12):2123-2128.
LIU Shulin,ZHONG Jiuming,FAN Wenbin,et al.Short circuit discharge characteristics of the capacitive circuit and its mathematical model[J].Journal of China Coal Society,2012,37(12):2123-2128.
[14] 刘建华.爆炸性气体环境下本质安全电路放电理论及非爆炸评价方法的研究[D].徐州:中国矿业大学,2008.
LIU Jianhua.A study on discharge theory and non-explosion evaluating method of the intrinsically safe circuits for explosive atmospheres[D].Xuzhou:China University of Mining and Technology,2008.
SHI Yaping.Influence factors analysis of discharge characteristics of compound intrinsically-safe circuit[J].Industry and Mine Automation,2020,46(6):108-112.