矿用LCL型三电平静止无功发生器控制策略

张传金1, 李雨潭1, 刘战2, 唐轶2, 张晓2

(1.江苏建筑职业技术学院 智能制造学院, 江苏 徐州 221116;2.中国矿业大学 电气与动力工程学院, 江苏 徐州 221116)

摘要为适应煤矿井下特殊环境,减小矿用静止无功发生器(SVG)的体积和质量,采用LCL滤波器和三电平逆变器作为矿用SVG的主电路拓扑,并针对LCL滤波器电流谐振问题和三电平逆变器中点电位不平衡问题,提出了一种基于串联双电流环有源阻尼控制和动态比例空间矢量调制的矿用LCL型三电平SVG控制策略。串联双电流环有源阻尼控制在网侧电流外环PI控制的基础上,通过增加滤波电容电流内环反馈控制使LCL滤波器具有阻尼特性,有效抑制了电流谐振;动态比例空间矢量调制在基本空间矢量中引入动态比例调整因子,对单位开关周期内平均中点电流进行实时控制,从而实现对中点电位平衡的控制。仿真和实验结果验证了该控制策略在LCL滤波器无阻尼电阻和直流母线电容较小情况下的可行性和良好效果。

关键词煤矿电网; 静止无功发生器; LCL滤波器; 三电平逆变器; 电流谐振; 中点电位平衡; 有源阻尼; 空间矢量调制

0 引言

随着煤矿井下生产自动化程度的提高,广泛使用的变频器、整流器等大量非线性负载导致煤矿电网存在谐波含量高、功率因数低等电能质量问题,严重时甚至会损坏设备,影响煤矿正常生产运行。静止无功发生器(Static Var Generator,SVG)作为改善配电网终端电能质量的重要装置,具有调节速度快、运行范围宽、输出谐波小等优点[1-3],因此被广泛应用于煤矿电网中以应对各类电能质量问题。由于煤矿井下的瓦斯、煤尘等物质易燃易爆,SVG在井下应用时必须满足严格的防爆和散热要求,同时因井下工作空间的局限性,还需要考虑SVG的体积、质量等制约因素。

除防爆外壳外,并网滤波器和直流母线电容是影响SVG体积和质量的显著因素。与L滤波器相比,LCL滤波器能以较小的电感量实现较理想的开关纹波滤除效果,显著缩减了滤波器的体积和质量[4]。另外,三电平拓扑逆变器相比于两电平拓扑逆变器在输出电压畸变率、功率器件开关损耗等方面更具优势,有助于进一步降低LCL滤波器的体积和质量[5]。因此本文采用LCL滤波器和三电平逆变器作为矿用SVG的主电路拓扑。然而对于LCL型三电平SVG,需要考虑LCL滤波器的电流谐振[6]和三电平逆变器的中点电位不平衡[7-8]等问题。通过增加阻尼电阻、直流母线电容可分别有效抑制电流谐振、改善中点电位不平衡,但这些硬件方法是以牺牲SVG体积和质量为代价[9]。为此有学者提出了控制方法来解决上述问题。针对LCL滤波器电流谐振问题,主要有“超前-滞后”环节陷波器法[10]、虚拟电阻法[11-12]、观测器法[13]等有源阻尼控制方法,上述方法通过在参考电流或参考电压中加入阻尼分量来实现阻尼控制,但当SVG运行状态变化时,需要重新调整阻尼分量,会对过渡过程中电流控制效果产生一定影响。针对三电平逆变器中点电位不平衡问题,主要有基于冗余矢量修正的空间矢量调制[14]、虚拟空间矢量调制[15]等调制方法,但基于冗余矢量修正的空间矢量调制未能消除中点电位低频振荡,虚拟空间矢量调制对于SVG运行状态变化而产生的中点电位偏移的抑制速度较慢。

本文提出了一种基于串联双电流环有源阻尼控制和动态比例空间矢量调制的矿用LCL型三电平SVG控制策略,可保证LCL滤波器具有良好的阻尼特性以有效抑制电流谐振,通过实时控制单位开关周期内平均中点电流来实现中点电位平衡,以较小的并网滤波器和直流母线电容获得良好的控制效果,从而实现提高SVG功率密度的目的。

1 LCL型三电平SVG数学模型

LCL型三电平SVG单相等效电路如图1所示。逆变器主电路采用NPC型三电平拓扑结构,每相桥臂由4个IGBT(T1—T4)和2个钳位二极管(D1,D2)组成,设T1,T2导通时桥臂状态为“P”,T2,T3导通时桥臂状态为“O”,T3,T4导通时桥臂状态为“N”。Udc为直流母线电压;ui为逆变器输出电压;uc为滤波电容电压;ug为电网电压;ii为逆变器侧电流;ig为网侧电流;Li和Ri分别为逆变器侧电感及其等效电阻;Lg和Rg分别为网侧电感及其等效电阻;C为滤波电容。

图1 LCL型三电平SVG单相等效电路

Fig.1 Single-phase equivalent circuit of LCL

three-level SVG

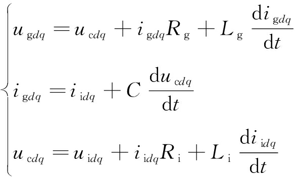
根据基尔霍夫电压、电流定律,可得三相静止坐标系下各电压、电流之间的关系式。为便于无功电流控制,通常将该关系式变换到按照电网电压定向的两相同步旋转dq坐标系下,得

(1)

式中:ugdqucdqigdqiidq,uidq分别为电网电压、滤波电容电压、网侧电流、逆变器侧电流、逆变器输出电压在两相同步旋转dq坐标系下的对应分量;t为时间。

LCL型三电平SVG直流侧等效电路如图2所示。Cz1和Cz2分别为上下直流母线电容;ic1ic2分别为流过Cz1和Cz2的电流;Uc1Uc2分别为Cz1和Cz2的电压;iNP为中点电流。

图2 LCL型三电平SVG直流侧等效电路

Fig.2 DC-side equivalent circuit of LCL three-level SVG

LCL型三电平SVG的中点电位vNP为上下直流母线电容电压的差值,即vNP=Uc1-Uc2。根据图2可得中点电位与中点电流之间的关系式:

(2)

式中:Cz=Cz1=Cz2vNP0为初始时刻中点电位。

2 LCL型三电平SVG控制策略

LCL型三电平SVG控制策略如图3所示。为直流母线参考电压;iload为电网负载电流;分别为dq轴网侧参考电流;igdigq分别为dq轴网侧实际电流;分别为dq轴滤波电容参考电流;icdicq分别为dq轴滤波电容实际电流;ugdugq分别为dq轴电网电压;ωg为电网角频率;分别为dq轴逆变器输出参考电压;iabc为逆变器侧三相电流。

图3 LCL型三电平SVG控制策略

Fig.3 Control strategy of LCL three-level SVG

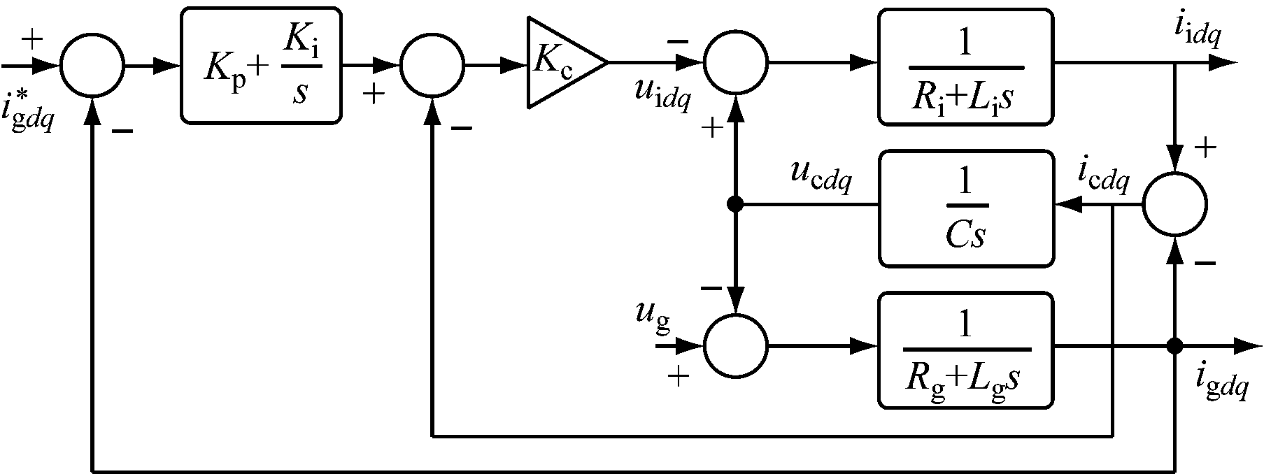
2.1 串联双电流环有源阻尼控制

串联双电流环有源阻尼控制策略如图4所示。KpKiKc分别为比例控制系数、积分控制系数、电容电流反馈控制系数;分别为网侧参考电流、滤波电容电流在两相同步旋转dq坐标系下的对应分量;s为拉普拉斯算子。电流外环采用比例积分控制器以实现对网侧电流的跟踪控制,电流内环通过滤波电容电流反馈来抑制电流谐振。

图4 串联双电流环有源阻尼控制策略

Fig.4 Active damping control strategy of series double current loop

根据图4可得开环传递函数Hopen、闭环传递函数Hclose

(3)

(4)

式中:α1=LiLgCα2=KcLgCα3=Li+Lgα4=KpKcα5=KiKc

在基于比例积分控制器的控制系统中,比例控制起到快速跟踪被控对象变化的作用,而积分控制用来消除稳态误差,因此整个系统的稳定性绝大部分取决于比例控制系数Kp,满足系统稳定要求的取值范围为Kp<1+Lg/Li,根据LCL滤波器选型参数和工程经验设定Kp=1,Ki=100。在控制系统中Kc作为电容电流反馈控制系数,主要影响谐振抑制效果,因此本文着重分析Kc的设计方法。在确定Kp=1,Ki=100的情况下,针对不同Kc分别绘制系统的闭环零极点图和开环伯德图,如图5所示。

(a) 闭环零极点图

(b) 开环伯德图

图5 LCL型三电平SVG控制系统特性

Fig.5 LCL three-level SVG control system characteristics

从图5(b)可看出,随着Kc增大,LCL滤波器的谐振峰不断减小,阻尼性能不断提升;但根据图5(a),Kc增大到一定程度后(Kc>40),如果继续增加Kc,系统稳定性将随之下降。因此,综合考虑谐振抑制效果和系统稳定性两方面因素,Kc合理的取值范围为[20,40]。

2.2 动态比例空间矢量调制

在合成比例固定的虚拟空间矢量中,引入动态比例调整因子形成新的动态比例空间矢量。第一扇区内的动态比例空间矢量如图6所示。

图6 第一扇区动态比例空间矢量分布

Fig.6 Distribution of dynamic proportional space vector in section 1

(5)

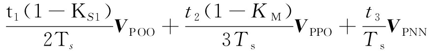
式中:VM1VS1VS2VL1VL2VZ分别为第一扇区内的动态比例中矢量、小矢量1、小矢量2、大矢量1、大矢量2、零矢量;KMKS1KS2分别为VM1VS1VS2的动态比例调整因子,取值为[-1,1];VPONVPPOVONNVPOOVPNNVPPNVOOO为基本空间矢量,其下标表示逆变器三相桥臂对应的状态。

参考电压矢量Vref可由距离其最近的3个动态比例矢量来合成,根据伏秒平衡原理可得

(6)

式中:t1t2t3分别为VS1VM1VL1的作用时间;Ts为开关周期。

将式(5)代入式(6),可得

Vref=

(7)

从式(7)可看出,Vref最终由VONNVPONVPOOVPPOVPNN组合而成。在上述不同基本空间矢量作用时间内,中点电流等于该基本空间矢量作用下使得某相桥臂处于“O”状态的对应相电流。例如:VPON作用时,b相桥臂为“O”状态,则iNP=ib(ib为逆变器侧b相电流);VPNN作用时,三相桥臂均不为“O”状态,则iNP=0。因此Vref输出开关周期内平均中点电流为

(8)

式中iaic分别为逆变器侧a,c相电流。

从式(8)可看出,通过改变动态比例调整因子KMKS1可直接改变平均中点电流KMKS1同时为0时,KMKS1不同时为0时,

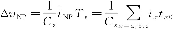
对式(2)进行离散化处理,可得单位开关周期内中点电位的变化值:

(9)

式中tx0为使得x(x=a,b,c)相桥臂处于“O”状态的空间矢量的作用时间。

SVG稳态运行(参考电流保持不变)时,如果使得每个开关周期内都等于0,则ΔvNP始终为0,中点电位保持不变,避免了低频振荡问题;SVG运行状态发生改变(突加负载等)时,如果继续保持则中点电位会出现偏移,因此必须使ΔvNP≠0,即来消除暂态过程中的中点电位偏移。具体控制规律:当vNP>0时,选取由电网流向SVG方向的相电流对应的x相,增加使得x相桥臂处于“O”状态的空间矢量的作用时间;当vNP<0时,选取由SVG流向电网方向的相电流对应的x相,增加使得x相桥臂处于“O”状态的空间矢量的作用时间。

Vref确定的情况下,VS1VM1VL1的作用时间t1t2t3均为固定值,因此对和ΔvNP的控制转换为对动态比例调整因子K的控制。动态比例调整因子计算公式为

(10)

式中为中点电位允许偏差的最大值。

3 仿真分析

在Matlab/Simulink仿真软件中搭建LCL型三电平SVG仿真模型,仿真参数设置:SVG容量为50 kvar,电网电压为380 V,逆变器侧电感Li=0.45 mH,网侧电感Lg=0.15 mH,交流滤波电容C=20 μF,直流母线电容Cz1=Cz2=1 600 μF,开关频率为10 kHz。

SVG电流环控制中有无滤波电容电流反馈的仿真结果如图7所示。可看出加入滤波电容电流反馈的串联双电流环有源阻尼控制能有效抑制LCL滤波器产生的电流谐振。

(a) 无滤波电容电流反馈

(b) 有滤波电容电流反馈

图7 SVG网侧电流仿真波形

Fig.7 Simulation waveforms of SVG grid-side current

直流母线电容分别为800,1 600,3 200,8 000 μF情况下,采用空间矢量调制策略和动态比例空间矢量调制策略的仿真波形分别如图8、图9所示。可看出随着直流母线电容增加,2种调制策略控制下的中点电位波动均有一定改善;直流母线电容为800 μF时动态比例空间矢量调制下的中点电位振幅与直流母线电容为8 000 μF时空间矢量调制下的中点电位振幅基本相当,表明在获得同等控制效果的前提下,采用动态比例空间矢量调制可有效减小直流母线电容。

(a) 直流母线电容为800 μF

(b) 直流母线电容为1 600 μF

(c) 直流母线电容为3 200 μF

(d) 直流母线电容为8 000 μF

图8 空间矢量调制仿真波形

Fig.8 Simulation waveforms of space vector modulation

(a) 直流母线电容为800 μF

(b) 直流母线电容为1 600 μF

(c) 直流母线电容为3 200 μF

(d) 直流母线电容为8 000 μF

图9 动态比例空间矢量调制仿真波形

Fig.9 Simulation waveforms of dynamic proportional space vector modulation

4 实验验证

LCL型三电平SVG实验平台如图10所示。LCL滤波器采用铁芯电感和空心电感。控制电路采用DSP+FPGA双核心架构,以TMS320F28335为主控器件,利用XC6SLX9产生IGBT驱动信号及调节IGBT死区时间。实验平台主要元器件参数与仿真参数一致,设置IGBT死区时间为3 μs。

图10 LCL型三电平SVG实验平台

Fig.10 Experimental platform of LCL three-level SVG

为验证本文控制策略在SVG稳定运行及运行状态发生变化情况下,均能对LCL滤波器电流谐振和三电平逆变器中点电位不平衡起到较好的控制效果,进行动态加载实验。先使SVG运行在空载状态,SVG运行过程中瞬时加载,实验波形如图11所示。可看出在加载前中点电位基本没有波动,在加载瞬间中点电位产生较大偏移,经过约一个半工频周期的时间,加载后中点电位偏差逐渐减小并进入稳态;a相电网电流在加载前后及加载瞬间均保持正弦变化规律,无电流谐振现象发生;加载后,a相电网电压和电网电流保持同相位,表明无功补偿效果良好。

(a) 感性无功补偿

(b) 容性无功补偿

图11 LCL型三电平SVG实验波形

Fig.11 Experimental waveforms of LCL three-level SVG

经实验平台测试,在保证良好控制效果的前提下,采用本文控制策略可省去LCL滤波器阻尼电阻并减小直流母线电容,从而减小SVG的体积和质量。实物对比如图12所示,具体参数见表1。

(a) 采用本文控制策略前

(b) 采用本文控制策略后

图12 LCL型三电平SVG实物

Fig.12 Physical object of LCL three-level SVG

表1 SVG体积和质量对比

Table 1 Comparison of volume and quality of SVG

SVG质量/kg滤波器直流母线电容整机整机体积(长×宽×高)/(mm×mm×mm)图12(a)15640500×400×200图12(b)13435410×400×190

5 结语

提出了一种基于串联双电流环有源阻尼控制和动态比例空间矢量调制的LCL型三电平SVG控制策略。串联双电流环有源阻尼控制在网侧电流外环PI控制的基础上,通过增加滤波电容电流内环反馈控制使LCL滤波器具有阻尼特性,有效抑制了电流谐振;动态比例空间矢量调制通过引入动态比例调整因子,增加了SVG对于单位开关周期内平均中点电流的控制能力,解决了SVG稳态运行和暂态变化过程中存在的中点电位低频振荡和中点电位偏移问题。仿真和实验结果表明,该策略可在滤波器无阻尼电阻的情况下抑制电流谐振,在减小直流母线电容的情况下保证中点电位平衡,采用该策略的SVG可有效减小体积和质量。

参考文献(References):

[1] 池帮秀,张茂松,王群京,等.基于T型三电平变换器的SVG仿真研究[J].电测与仪表,2018,55(11):19-24.

CHI Bangxiu,ZHANG Maosong,WANG Qunjing,et al.Simulation research of SVG based on three-level T-type inverter[J].Electrical Measurement & Instrumentation,2018,55(11):19-24.

[2] 张茂松,王群京,李国丽,等.中点钳位式三电平D-STATCOM的鲁棒电流和中点电位控制策略研究[J].中国电机工程学报,2016,36(14):3868-3878.

ZHANG Maosong,WANG Qunjing,LI Guoli,et al.Study on robust current and neutral-point potential control for the D-STATCOM based on NPC three-level inverter[J].Proceedings of the CSEE,2016,36(14):3868-3878.

[3] 江金鱼,熊博.三电平STATCOM系统控制策略与实验研究[J].电力电子技术,2015,49(8):45-47.

JIANG Jinyu,XIONG Bo.Research on control method and the experiment for STATCOM based on diode clamp three-level[J].Power Electronics,2015,49(8):45-47.

[4] JOVCIC D,ZHANG Lu,HAJIAN M.LCL VSC converter for high-power application[J].IEEE Transactions on Power Delivery,2013,28(1):137-144.

[5] 许晓笛,李子欣,楚遵方,等.三相四线三电平APF并联运行有源阻尼方法[J].电工电能新技术,2017,36(7):12-19.

XU Xiaodi,LI Zixin,CHU Zunfang,et al.Active damping method of three-phase four-wire three-level multi-APF system[J].Advanced Technology of Electrical Engineering and Energy,2017,36(7):12-19.

[6] 杨家强,杨磊,曾争,等.基于降阶广义积分器的LCL型有源电力滤波器电流控制方法研究[J].中国电机工程学报,2017,37(7):2057-2068.

YANG Jiaqiang,YANG Lei,ZENG Zheng,et al.A current control method for LCL active power filters based on the reduced order generalized integrator[J].Proceedings of the CSEE,2017,37(7):2057-2068.

[7] NARENDRABABU A,AGARWAL P.Hybrid modulation strategy for eliminating low-frequency NP voltage oscillations in NPC using redistribution of NTV duty ratios[J].IET Power Electronics,2017,10(12):1504-1517.

[8] 罗锐,何英杰,陈晖,等.三电平变流器中点电位平衡及低开关损耗SVPWM策略[J].电工技术学报,2018,33(14):3245-3254.

LUO Rui,HE Yingjie,CHEN Hui,et al.SVPWM scheme for three-level converters with neutral-point potential balancing and switching loss reduction[J].Transactions of China Electrotechnical Society,2018,33(14):3245-3254.

[9] 周乐明,罗安,陈燕东,等.LCL型并网逆变器的鲁棒并网电流反馈有源阻尼控制方法[J].中国电机工程学报,2016,36(10):2742-2752.

ZHOU Leming,LUO An,CHEN Yandong,et al.A robust grid-current-feedback-active-damping method for LCL-type grid-connected inverters[J].Proceedings of the CSEE,2016,36(10):2742-2752.

[10] PENA-ALZOLA R,LISERRE M,BLAABJERG F,et al.A self-commissioning notch filter for active damping in a three-phase LCL-filter-based grid-tie converter[J].IEEE Transactions on Power Electronics,2014,29(12):6754-6761.

[11] WANG Xiongfei,BLAABJERG F,LOH P C.Grid-current-feedback active damping for LCL resonance in grid-connected voltage-source converters[J].IEEE Transactions on Power Electronics,2015,31(1):213-223.

[12] 王浩宇,宋文祥,曹大鹏,等.基于LCL滤波的三相电压型PWM整流器研究[J].电气传动,2015,45(3):16-20.

WANG Haoyu,SONG Wenxiang,CAO Dapeng,et al.Research of three-phase voltage source PWM rectifier based on LCL filter[J].Electric Drive,2015,45(3):16-20.

[13] 李宾,姚文熙,杭丽君,等.基于状态观测器的LCL滤波器型并网逆变器状态反馈最优化设计[J].电工技术学报,2014,29(6):80-90.

LI Bin,YAO Wenxi,HANG Lijun,et al.Optimized design of state variable feedback of grid-connected inverter with LCL-filter based on state observer[J].Transactions of China Electrotechnical Society,2014,29(6):80-90.

[14] 宋文祥,陈国呈,束满堂,等.中点箝位式三电平逆变器空间矢量调制及其中点控制研究[J].中国电机工程学报,2006,26(5):105-109.

SONG Wenxiang,CHEN Guocheng,SHU Mantang,et al.Research on SVPWM method and its neutral-point-potential control for three-level neutral-point-clamped (NPC) inverter[J].Proceedings of the CSEE,2006,26(5):105-109.

[15] VU H C,NGUYEN T D,CHUN T W,et al.New virtual space vector modulation scheme to eliminate common-mode voltage with balanced neutral-point voltage for three-level NPC inverters[C]//IEEE 3rd International Future Energy Electronics Conference and ECCE Asia,Kaohsiung,2017:313-318.

Control strategy of mine-used LCL three-level static var generator

ZHANG Chuanjin1, LI Yutan1, LIU Zhan2, TANG Yi2, ZHANG Xiao2

(1.School of Intelligent Manufacturing, Jiangsu Vocational Institute of Architectural Technology, Xuzhou 221116, China; 2.School of Electrical and Power Engineering, China University of Mining and Technology, Xuzhou 221116, China)

AbstractIn order to adapt to special environment of coal mine and reduce volume and quality of mine-used static var generator(SVG), LCL filter and three-level inverter were used as main circuit topology of mine-used SVG. For problems of current resonance of LCL filter and potential imbalancein three-level inverter, a control strategy of mine-used LCL three-level SVG based on series double current loop active damping control and dynamic proportional space vector modulation was proposed. On the basis of PI control of grid-side current outer loop, LCL filter has damping characteristics by adding feedback control of filter capacitor current inner loop, which can effectively suppress current resonance. Dynamic proportional space vector modulation introduces dynamic proportional adjustment factor into basic space vector to control average neutral-point current in unit switching cycle in realtime, so as to achieve balance control of three-level neutral-point potential. The simulation and experimental results verify the feasibility and good effect of the control strategy under condition of LCL filter without damping resistance and small DC busbar capacitance.

Key words:coal mine power grid; static var generator; LCL filter; three-level inverter; current resonance; neutral-point potential balancing; active damping; space vector modulation

中图分类号:TD611

文献标志码:A

收稿日期:2020-01-28;修回日期:2020-04-18;责任编辑:盛男。

基金项目:国家自然科学基金资助项目(51907083);江苏省高等学校自然科学研究面上项目(18KJB470009)。

作者简介:张传金(1986-),男,江苏徐州人,讲师,博士,主要研究方向为电力电子技术在电力系统中的应用,E-mail:chuanjin2359@163.com。

引用格式:张传金,李雨潭,刘战,等.矿用LCL型三电平静止无功发生器控制策略[J].工矿自动化,2020,46(5):87-93.

ZHANG Chuanjin,LI Yutan,LIU Zhan,et al.Control strategy of mine-used LCL three-level static var generator[J].Industry and Mine Automation,2020,46(5):87-93.

文章编号1671-251X(2020)05-0087-07

DOI:10.13272/j.issn.1671-251x.2020010065