一种矿用变频器滤波装置

荣相1,2, 史晗1,2, 蒋德智1,2, 眭先明1,2, 王越1,2

(1.中煤科工集团常州研究院有限公司, 江苏 常州 213015;2.天地(常州)自动化股份有限公司, 江苏 常州 213015)

摘要矿用变频器与电动机通过长线电缆连接,脉宽调制(PWM)脉冲在传输过程中存在电压反射现象,从而引起电动机端产生尖峰电压,严重影响变频驱动系统的运行可靠性。目前,矿用隔爆变频器一般采用串联输出电抗器的方式来抑制尖峰电压,但抑制效果有限;而采用RC滤波装置和LRC滤波装置抑制尖峰电压的方法主要针对380,660 V变频器,不能满足煤矿井下1 140 V变频器对尖峰电压的抑制要求。针对长线电缆远距离传输引起的尖峰现象,分析了实际应用中电动机负载、PWM上升时间及电缆长度对尖峰电压的影响:长线电缆终端反射系数对电动机负载的变化不敏感,在滤波参数的设计过程中可忽略电动机负载的影响;PWM上升时间越长,电缆长度越短,则电动机端尖峰电压越小。根据上述分析,结合电缆长度和装置功率损耗,提出了一种适用于煤矿井下1 140 V变频器的LRC滤波装置设计方案,在PWM脉冲信号传入长线电缆之前,利用该LRC滤波装置延长PWM上升时间,达到抑制尖峰电压和高du/dt的目的。仿真和试验结果验证了该滤波装置的有效性。

关键词1 140 V矿用变频器; 变频驱动; LRC滤波装置; 长线电缆; 尖峰电压; du/dt; 脉宽调制

0 引言

矿用变频技术的发展日益成熟,广泛应用于采、掘、运、通风等领域[1-2]。矿用环境下变频器与负载电动机通过长线电缆连接,脉宽调制(Pulse Width Modulation,PWM)脉冲在传输过程中存在电压反射现象,导致电动机端产生尖峰电压,加快了电动机绝缘老化速度,严重影响变频驱动系统整体运行可靠性,甚至造成停工停产[3-4]。目前,矿用隔爆变频器一般采用串联输出电抗器的方式来抑制尖峰电压,但抑制效果有限。

关于尖峰电压抑制方法的研究,刘聪[5]、王家校[6]分别利用RC滤波装置和LRC滤波装置抑制长线电缆引起的尖峰电压和高du/dt(u为电压,t为时间)。但上述研究主要针对380,660 V变频器,滤波装置不能满足井下1 140 V变频器对尖峰电压的抑制要求。为提升滤波装置对尖峰电压抑制性能,使其适用于1 140 V矿用隔爆变频器,应从优化滤波参数设计的角度考虑。

本文根据变频器的实际应用环境,分析电动机负载、PWM脉冲上升时间与电缆长度对尖峰电压的影响,针对1 140 V矿用变频器,采用LRC滤波方式,设计出一种满足不同电缆长度应用需求的LRC滤波装置,并给出了关键器件的选型方法。仿真和试验验证了本文所提滤波装置能够有效抑制电动机端尖峰电压和du/dt

1 尖峰电压分析

1.1 负载对尖峰电压的影响

根据电压反射理论,长线电缆终端反射系数为[7]

(1)

式中:ZL为电动机负载阻抗;ZC为电缆特性阻抗。

长线电缆等效电路如图1所示,其中Uin为长线电缆输入电压,R0为单位长度电缆的分布电阻,L0为单位长度电缆的电感,C0为单位长度电缆的电容。由图1可知,均匀无损耗电缆的特性阻抗Z0[8]

(2)

L0=μ0/(8π)+0.2ln(S/G)

(3)

(4)

式中:μ0为真空磁导率;S为导体中心距;G为导体几何均距;ε为绝缘材料相对介电常数;D为电缆绝缘外径;d为电缆绝缘内径。

图1 长线电缆等效电路
Fig.1 Equivalent circuit of long cable

考虑定子线圈之间、定子线圈对地和机壳及中性点对地寄生容阻参数,采用绕组归算法和频率归算法建立异步电动机高频等效模型[9],如图2所示,其中Uout为异步电动机相电压,Ru1为定子线圈对地电阻,C1f为定子线圈对机壳电容;R1为定子电阻,Ll为定子电感,Z1w为定子线圈之间的阻抗,Rm为定子铁耗等效电阻,Lm为励磁电感,R2为转子电阻,L2为转子电感;Re为等效负载的附加电阻,Re=R2(1-r)/r,r为转差率;Cg为中点对地电容。据此推导出长线电缆的负载阻抗,并结合式(1)—式(3),得到电缆终端反射系数与电动机负载率之间的关系曲线,如图3所示。

图2 异步电动机高频等效模型
Fig.2 High-frequency equivalent model of
asynchronous motor

图3 电缆终端反射系数与电动机负载率关系曲线
Fig.3 Relation curve between reflection coefficient of
cable terminal and motor load rate

由图3可知,长线电缆终端反射系数随电动机负载率增大而减小,但始终保持在0.900附近,变化幅度不超过0.005,可见反射系数对电动机负载率变化不敏感,可忽略电动机负载对尖峰电压的影响。

1.2 PWM上升时间与电缆长度对尖峰电压的影响

根据波的反射特性,结合彼德逊法可以得出尖峰电压的计算公式。文献[10-11]指出,尖峰电压与反射系数、PWM上升时间及电缆长度有关,其中反射系数与尖峰电压呈正比例关系。

取反射系数ΓL=0.9,则PWM上升时间、电缆长度与归一化线电压峰值关系如图4所示。

图4 PWM上升时间、电缆长度与归一化线电压峰值关系
Fig.4 Relationship of PWM rise time, cable length and
normalized line voltage spike

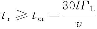
由图4可知:PWM上升时间一定,存在一临界电缆长度lor,当电缆长度l<lor时,电压峰值与电缆长度呈正比例关系,超过临界长度后电压峰值稳定在1.9,该电压作用于电动机绕组,导致定子线圈出现长期重复性的电晕及局部放电现象,加速绝缘老化;电缆长度一定,存在一临界上升时间tor,当PWM上升时间tr<tor时,电动机端产生尖峰电压。因此,可通过延长PWM上升时间、选择较短电缆来降低尖峰电压。

2 LRC滤波装置设计

在PWM脉冲信号传入长线电缆之前,利用LRC滤波装置延迟PWM上升时间,达到抑制尖峰电压和高du/dt的目的。

2.1 滤波参数设计

LRC滤波装置包括输出电抗器和RC吸收电路2个部分,结构如图5所示。

引入LRC二阶系统传递函数,根据滤波参数与PWM上升时间之间的定量关系,同时考虑装置功率损耗,综合设计LRC滤波参数。

LRC二阶系统的传递函数为

(5)

式中:LRC分别为滤波电感、电阻和电容;s为拉普拉斯算子。

图5 LRC滤波装置结构
Fig.5 LRC filter device structure

考虑到输出电抗器的制造成本、温升和压降等因素,取输出电抗器额定电流为变频器额定电流的1.2倍,基波电压跌落为1%,则滤波电感为

(6)

式中:ΔU为输出电抗器的电压降;f为变频器额定输出频率;Ic为变频器额定输出电流。

由傅里叶函数分析可知,为使PWM脉冲达到期望的上升时间,滤波器截止频率ω需满足式(7),以滤除PWM中高于最高频率1/(2tr)的分量[12]

(7)

设计要求电压超调量不得超过10%,即

(8)

式中v为PWM波在电缆中的传输速度。

结合式(7)可得

(9)

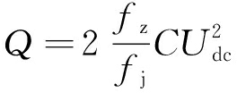
文献[13]指出,采用空间电压矢量脉宽调制(Space Vector Pulse Width Modulation,SVPWM)控制策略时,一个基波周期内LRC滤波装置功率损耗为

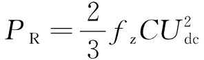
(10)

式中:fz为载波频率;fj为基波频率;Udc为直流母线电压。

根据式(7)—式(10),综合考虑PWM上升时间与装置功率损耗,确定滤波电容。

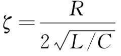
二阶滤波系统阻尼比为

(11)

为使滤波器输出端无超调量,取ζ≥1,则计算可得滤波电阻。

滤波参数的最优解与电缆长度相关。分别取电缆长度l为30,60,120 m,取电动机负载时的反射系数ΓL=0.9,LRC滤波装置传递函数的伯德图如图6所示。

(a) 幅值

(b) 相位

图6 LRC滤波装置传递函数的伯德图
Fig.6 Bode diagram of transfer function of
LRC filter device

由图6可知,电缆越长,LRC滤波装置对高频成分的滤波效果越明显。总体来看,LRC滤波装置的稳定性和动态性能良好,滤波参数设计合理有效。为提高LRC滤波装置的通用性,使其适配不同长度的电缆,并取得良好的滤波效果,取滤波参数L=0.1 mH,R=100 Ω,C=0.1 μF。

2.2 滤波器件选型

为保证现有生产资料一致性,便于现场改造,输出电抗器沿用先前变频器标准,本文主要考虑RC吸收电路的器件选型。

电容额定工作电压为

(12)

式中XLXC分别为电抗器、电容电抗。

根据电容、额定工作电流和电压,选用STC型直插式薄膜电容,其耐压可达DC 2 500 V。

电阻功率为

(13)

根据电阻、电压和功率,选用过载能力强的RXLG-300W-100RJ型低感化铝壳电阻。

3 仿真验证

为验证本文所提LRC滤波装置能够有效抑制尖峰电压和高du/dt,以及滤波参数设计的正确性和通用性,在Matlab/Simulink仿真环境下建立长线电缆变频驱动系统仿真模型,如图7所示。换流部分主要由整流器和逆变器组成,采用SVPWM控制策略生成PWM脉冲信号,经LRC滤波装置由长线电缆传输至电动机,从而实现变频调速控制。

图7 长线电缆变频驱动系统仿真模型
Fig.7 Simulation model of long cable frequency conversion driving system

仿真条件:变频器输入三相1 140 V交流电,基波频率为50 Hz,载波频率为2 kHz,电缆长度为60 m。

采用0.1,0.2,0.3 mH输出电抗器及LRC滤波装置时电动机端电压仿真波形如图8所示,尖峰电压和du/dt仿真数据见表1。

(a) 0.1 mH输出电抗器

(b) 0.2 mH输出电抗器

(c) 0.3 mH输出电抗器

(d) LRC输出滤波装置

图8 采用不同输出电抗器与LRC滤波装置时电动机端电压仿真波形
Fig.8 Simulation waves of motor terminal voltage under different output series reactor and LRC filter device

表1 采用不同输出电抗器与LRC滤波装置时尖峰电压和du/dt仿真数据
Table 1 Simulation data of spike voltage and du/dt under different output series reactor and LRC filter device

测试条件尖峰电压/Vdu/dt/(V·μs-1)0.1 mH输出电抗器2 2101 6300.2 mH输出电抗器2 0171 2210.3 mH输出电抗器1 9701 152LRC滤波装置1 750894.2

由图8可知,输出电抗器对尖峰电压和du/dt起到一定的抑制作用,且电感越大,效果越明显,但电感增大到0.3 mH时,电动机端仍产生较高的尖峰电压和du/dt,达不到预期效果。若电感继续增大,变频器带载能力下降,由此带来的成本、体积、散热等问题更为突出。结合表1可知,LRC滤波装置对尖峰电压和du/dt的抑制效果显著,且电压超调量未超过10%,符合设计要求。

选取30,60,100,150 m电缆进行仿真验证。不同电缆长度下电动机端电压仿真波形如图9所示,尖峰电压和du/dt仿真数据见表2。

(a) 30 m电缆

(b) 60 m电缆

(c) 100 m电缆

(d) 120 m电缆

图9 不同电缆长度下电动机端电压仿真波形
Fig.9 Simulation waves of motor terminal voltage at different cable lengths

表2 不同电缆长度下尖峰电压和du/dt仿真数据
Table 2 Simulation data of spike voltage and du/dt at different cable lengths

测试条件尖峰电压/Vdu/dt/(V·μs-1)30 m电缆1 690916.460 m电缆1 750894.2100 m电缆1 890820.5120 m电缆1 930784.3

由图9及表2可知,随着电缆长度增加,电动机端尖峰电压增大,这是由于PWM脉冲在长线电缆中传输时间增加,高频振荡周期变长,反射叠加所致。仿真结果表明,本文设计的LRC滤波装置可以满足不同电缆长度对尖峰电压和du/dt的抑制需求。

4 试验验证

搭建长线电缆变频驱动试验系统,验证LRC滤波装置的实际应用效果。试验条件:矿用1 140 V/315 kW变频器,逆变侧IGBT开关器件型号为FF400R33KF2C;根据井下主胶带现场应用需求,选用长度为20,60 m的MYP-0.66/1.14 kV 3×95+1×25型矿用电缆。试验持续2 h,试验波形如图10所示。

试验与仿真结果保持了很好的一致性。当电缆长度为20 m时,尖峰电压为1 520 V,du/dt=370 V·μs-1;电缆长度为60 m时,尖峰电压为1 650 V,du/dt=333.3 V·μs-1。尖峰电压和du/dt得到有效抑制,保障了1 140 V矿用变频驱动系统安全、高效、稳定运行。

(a) 20 m电缆长度

(b) 60 m电缆长度

图10 加LRC滤波装置时的试验波形
Fig.10 Experimental waveform with LRC filter

5 结语

针对长线电缆远距离传输引起的尖峰电压现象,分析了实际应用中电动机负载、PWM上升时间及电缆长度对尖峰电压的影响。分析表明:长线电缆终端反射系数对电动机负载的变化不敏感,在滤波参数的设计过程中可忽略电动机负载的影响;PWM上升时间越长,电缆长度越短,则电动机端尖峰电压越小。结合电缆长度和装置功率损耗,设计了1 140 V矿用变频器LRC滤波装置,以满足不同长度电缆对尖峰电压的抑制需求。仿真和试验结果表明,设计的LRC滤波装置能够有效抑制尖峰电压和du/dt,为矿用1 140 V变频驱动系统提供了安全保障。

参考文献(References):

[1] 梁剑超.浅议矿用变频器发展历程及趋势[J].机电工程技术,2018,47(10):156-158.

LIANG Jianchao.A brief discussion on the development course and trend of the mine frequency converter[J].Mechanical & Electrical Engineering Technology,2018,47(10):156-158.

[2] 朱永平,徐晓建.浅谈矿用变频器发展趋势[J].工矿自动化,2017,43(10):18-23.

ZHU Yongping,XU Xiaojian.Development trend of mine frequency converter[J].Industry and Mine Automation,2017,43(10):18-23.

[3] 潘星,黄旭东,卢嘉华,等.电压尖峰造成电动机故障实例分析[J].电气传动,2010,40(10):32-35.

PAN Xing,HUANG Xudong,LU Jiahua,et al.Case study of motor fault caused by voltage pinnacle[J].Electric Drive,2010,40(10):32-35.

[4] 张珍.变频系统长线电缆的研究及过电压抑制[D].大连:大连理工大学,2009.

ZHANG Zhen.The study of long-cable and over-voltage suppression for frequency converter system[D].Dalian:Dalian University of Technology,2009.

[5] 刘聪.采煤机变频调速系统长输出电缆的特性研究[D].北京:煤炭科学研究总院,2014.

LIU Cong.Research on characteristics of long output cable of coal mining machine variable frequency speed control system [D].Beijing:China Coal Research Institute,2014.

[6] 王家校.基于Matlab的变频器输出RLC dv/dt滤波器仿真[J].机电工程,2014,31(2):249-252.

WANG Jiaxiao.Simulation and design of inverter output RLC dv/dt filter based on Matlab[J].Journal of Mechanical & Electrical Engineering,2014,31(2):249-252.

[7] 张纬钹.过电压防护及绝缘配合[M].北京:清华大学出版社,2002.

ZHANG Weibo.Overvoltage protection and insulation coordination[M].Beijing:Tsinghua University Press,2002.

[8] 田德宝.变频长距离供电波反射问题的研究[D].北京:中国石油大学,2011.

TIAN Debao.Research on wave reflection of long distance converter-fed power supply[D].Beijing:China University of Petroleum,2011.

[9] 陈涛,刘海涛,武彬,等.变频器输出电压du/dt对电机的影响及其滤波器的设计[J].大功率变流技术,2012(1):34-38.

CHEN Tao,LIU Haitao,WU Bin,et al.The influence of inverter's output voltage du/dt on the motor and its filter design[J].High Power Converter Technology,2012(1):34-38.

[10] 姜艳姝.现代变频调速系统负面效应研究及其对策[D].哈尔滨:哈尔滨理工大学,2007.

JIANG Yanshu.Research on adverse effects of modern PWM adjustable speed drive system and the associated countermeasures[D].Harbin:Harbin University of Science and Technology,2007.

[11] 高强,徐殿国.PWM逆变器输出端共模与差模电压dv/dt滤波器设计[J].电工技术学报,2007,22(1):79-84.

GAO Qiang,XU Dianguo.Design of common-mode and differential-mode voltage dv/dt filter at PWM inverter output terminals[J].Transactions of China Electrotechnical Society,2007,22(1):79-84.

[12] 高晨.变频器在长电缆应用环境下引起电机端子过电压的研究和仿真及dv/dt滤波器的设计[D].上海:上海交通大学,2015.

GAO Chen.Research and simulation for the over-voltage on motor terminal of variable-frequency drive caused by long cable application and design for dv/dt filter[D].Shanghai:Shanghai Jiaotong University,2015.

[13] 黄少雄.逆变器输出端长线滤波器的研究[D].合肥:合肥工业大学,2015.

HUANG Shaoxiong.Research on the filter of long cable transmission at the output end of inverter[D].Hefei:Hefei University of Technology,2015.

A mine-used frequency converter filter device

RONG Xiang1,2, SHI Han1,2, JIANG Dezhi1,2, SUI Xianming1,2, WANG Yue1,2

(1.CCTEG Changzhou Research Institute, Changzhou 213015, China;2.Tiandi(Changzhou) Automation Co., Ltd., Changzhou 213015, China)

Abstract:The mine-used frequency converter is connected with motor through a long cable, and there is phenomenon of voltage reflection in transmission process of pulse width modulation(PWM) pulse, which causes spike voltage at the motor end and seriously affects operation reliability of frequency conversion driving system. At present, mine-used flame-proof frequency converter usually adopts series output reactor to suppress spike voltage, but suppression effect is limited. And the methods of suppressing spike voltage by using RC filter device and LRC filter device mainly aim at 380 V and 660 V frequency converter, which cannot meet requirement of suppressing spike voltage by 1 140 V frequency converter in underground coal mine. In view of the spike phenomenon caused by long-distance transmission of long cable, the effects of motor load, PWM rising time and cable length on the spike voltage in practical application were analyzed. The reflection coefficient of long cable terminal is not sensitive to change of motor load, and influence of motor load can be ignored in design process of filter parameters. The longer the rising time of PWM and the shorter the cable length, the smaller the spike voltage at the end of the motor.According to the above analysis, combined with cable length and device power loss, a design scheme of LRC filter device suitable for 1 140 V frequency converter in underground coal mine was proposed. Before PWM pulse signal is introduced into the long cable, the LRC filter device is used to delay PWM rising time, so as to achieve the purpose of suppressing spike voltage and high du/dt. Simulation and experimental results verify effectiveness of the filter device.

Key words:1 140 V mine-used frequency converter; frequency conversion drive; LRC filter device; long cable; spike voltage; du/dt; pulse width modulation

中图分类号:TD608

文献标志码:A

收稿日期:2019-09-01;修回日期:2020-04-17;责任编辑:王晖,郑海霞。

基金项目:天地科技股份有限公司科技创新创业资金专项资助项目(2018-TD-QN016)。

作者简介:荣相(1977-),男,安徽枞阳人,副研究员,主要研究方向为煤矿供配电与自动化,E-mail:tdczrx@126.com。

引用格式:荣相,史晗,蒋德智,等.一种矿用变频器滤波装置[J].工矿自动化,2020,46(5):76-81.

RONG Xiang,SHI Han,JIANG Dezhi,et al. A mine-used frequency converter filter device[J].Industry and Mine Automation,2020,46(5):76-81.

文章编号1671-251X(2020)05-0076-06

DOI:10.13272/j.issn.1671-251x.17504