万红1,2, 任晓红1,2, 范晋瑜1,2, 俞啸1,2, 丁恩杰1,2
(1.中国矿业大学 物联网(感知矿山)研究中心,江苏 徐州 221008;2.中国矿业大学 信息与控制工程学院,江苏 徐州 221008)
摘要:针对传统三电平逆变器开路故障诊断方法存在计算复杂、准确率低等问题,提出了一种基于小波分析与粒子群优化支持向量机的三电平逆变器开路故障诊断方法(WT-PSO-SVM)。在分析三电平逆变器三相电流信号特征的基础上,利用三层小波对电流信号进行分解,提取各频带能量作为故障特征;小波变换提取到故障能量特征后,部分故障下所提取的能量十分接近,无法有效区分,进而引入正半周比例系数作为辅助特征;将归一化的能量和正半周比例系数作为特征向量输入支持向量机进行分类训练,同时利用粒子群算法优化支持向量机的参数以达到最好的分类效果,最终实现故障诊断。实验结果表明:WT-PSO-SVM方法可以有效识别三电平逆变器的开路故障,较其他故障诊断方法有更高的诊断精度和速度,在变负载和有噪声影响情况下仍有较高的故障识别准确率,准确率达到97.3%。
关键词:三电平逆变器;开路故障;故障诊断;正半周比例系数;小波变换;支持向量机;粒子群优化算法
随着工业的快速发展,变频器以其优异的性能在中高压、大功率设备上得到了广泛的应用[1-2]。三电平逆变器作为矿井提升机系统中的关键设备之一,发生故障后会严重影响矿井提升机的安全,带来不同程度的人员伤亡和财产损失。因此,及时发现并处理三电平逆变器故障可有效保障矿井提升机的安全,对矿山安全生产有着重要意义[3]。
在实际运行过程中,三电平逆变器故障多发生于功率开关器件——绝缘栅型双极晶体管(Insulated Gate Bipolar Transistor, IGBT)。三电平逆变器功率开关器件发生的最常见的故障为短路故障和开路故障[4]。短路故障可以通过保护电路实时检测到,一旦三电平逆变器功率开关模块发生短路,保护电路会断开IGBT,将短路故障转换为开路故障[5-6]。而开路故障会引起电流和电压的畸变,但不会产生过电流,也不会触发电路保护,必须通过一定的故障诊断技术进行检测[7],长期在畸变电流电压驱动下工作会造成电动机损伤,甚至导致严重事故[8],所以,三电平逆变器开路故障的检测与诊断是当前研究的热点问题。
目前,三电平逆变器开路故障诊断方法主要有基于解析模型的方法、基于信号处理的方法和基于知识的方法。
基于解析模型的方法通过计算电流阈值判断故障,主要有基于电流轨迹、电流矢量变换等方法。文献[9-10]提出了一种基于输出电流轨迹的三电平逆变器开路故障在线诊断方法,但三电平逆变器负载变化范围大,该方法对负载变化敏感,缺乏较好的适应性。文献[11]提出了一种基于信号对称重构预处理的多尺度自适应故障诊断方法,实现了微电网三电平逆变器在变负载情况下的任意开关故障的诊断,但是三电平逆变器的运行过程是一个复杂的非线性、时变的动态过程,基于电流矢量变换或者电流瞬时角度确定故障相位的解析模型难以完全模拟实际运行情况。文献[12]提出了基于电流矢量和瞬时角度平均值的快速故障检测方法,该方法对工况变化和噪声较为敏感,在有噪声影响的情况下故障诊断准确率较低。
基于信号处理的方法主要通过时域计算技术和频域计算技术提取电流或电压信号的时域或频域特征,进而利用特征学习实现故障诊断。文献[13]通过时域计算技术从电流特征中识别早期的故障,然后使用支持向量机分类器实现故障分类,该方法提取到了信号的时域特征,但却忽略了信号频域中包含的重要信息。文献[14]提出了基于傅里叶变换与支持向量机(FFT-RPCA-SVM)的故障诊断方法,利用傅里叶变换提取特征,利用相对主成分分析进行降维,利用支持向量机实现故障分类,但该方法只适应小样本的故障诊断,虽然利用傅里叶变换分析方法提取了信号频域特征,但却丢失了信号的时域特征,在信号突变的情况下故障识别率较低。
随着计算机计算能力的提升,智能算法被广泛应用在各个领域,针对故障诊断问题,国内外学者提出了贝叶斯、模糊推理、人工神经网络等基于知识的故障诊断方法。文献[15]利用神经网络,在不改变电流采样率的情况下对不同频率电流进行分析,实现了IGBT故障的准确诊断,神经网络具有强大的学习能力,但是存在收敛速度慢、易陷入局部最小值的问题。文献[16]提出了利用基于堆栈自编码器的深度神经网络进行特征提取,利用SOFTMAX进行分类的故障诊断方法。文献[17]提出了基于自适应神经模糊推理系统的开路故障检测方法,仅需要利用三电平逆变器输出电流就可以进行故障诊断,但该方法需要大量数据学习,且计算量较大,不能满足实时诊断的需求。
针对现有三电平逆变器开路故障诊断方法存在的以上问题,本文提出了一种基于小波分析和粒子群优化支持向量机(Wavelet Transform-Partical Swarm Optimization-Support Vector Machines,WT-PSO-SVM)的故障诊断方法。利用小波变换提取三相电流信号各频段能量,并计算正半周比例系数,采用粒子群寻优支持向量机参数以构建最优分类器,将归一化的能量值与正半周比例系数作为分类特征输入分类器进行故障分类。仿真实验结果证明:WT-PSO-SVM故障诊断方法能精确识别三电平逆变器的IGBT开路故障,较其他故障诊断方法有更高的诊断精度和速度。
以二极管钳位式(Neutral Point Clamped, NPC)三电平逆变器为例进行故障分析。NPC三电平逆变器由直流侧2个串联直流支撑电容和A,B,C三相桥臂组成,每相桥臂包括2个钳位二极管、4个功率开关、4个续流二极管。NPC三电平逆变器拓扑结构如图1所示。

图1 NPC三电平逆变器拓扑结构
Fig.1 Topology of NPC three-level inverter
NPC三电平逆变器的12个IGBT中,单个IGBT发生故障比较多,2个IGBT同时发生故障有一定的概率,并且会造成严重的危害,3个或3个以上的IGBT同时发生故障的概率非常小[18],所以,本文只对单个IGBT和2个IGBT故障的情形进行研究。将三电平逆变器IGBT发生开路故障的情况共分为6类:① IGBT正常运行,没有发生故障,共有1种情况。② 只有1个IGBT发生故障,共有12种情况。③ 同一桥臂的不同半桥的2个IGBT同时发生故障,共有12种情况。④ 同一桥臂的相同半桥的2个IGBT同时发生故障,共有6种情况。⑤ 不同桥臂的相同半桥的2个IGBT发生故障,共有24种情况。⑥ 交叉连接(不同桥臂不同半桥)的2个IGBT故障,共有24种情况。将①—③定义为简单故障,⑤—⑥定义为复杂故障。同一桥臂相同半桥的2个IGBT故障与桥臂内侧单个IGBT故障输出端电流特征相同,无法直接根据输出端三相电流进行区分,必须安装电压互感器测量每一相桥臂的局部电压才能做出判断,成本较高,本文不对此故障类型进行诊断。本文所研究的NPC三电平逆变器开路故障见表1,共计73种故障状态。
通过Matlab的Simulink仿真模块建立NPC三电平逆变器电路仿真模型,提取不同故障下输出端的三相电流作为诊断信号,正常状态和部分IGBT开路故障情况下的三相电流Ia、Ib、Ic波形如图2所示。
图2(a)为正常运行状态下的输出电流波形,各相电流近似正弦波。图2(b)为Sa1发生开路故障时的电流波形,A相正半周电流幅值为正常电流幅值的一半左右,负半周不变。图2(c)为Sa1和Sa3同时发生开路故障时的电流波形,A相正半周电流幅值为正常电流幅值的一半左右,负半周电流幅值几乎为零。图2(d)为Sb1和Sc3同时发生开路故障时的电流波形,B相正半周电流幅值为正常电流幅值的一半左右,负半周电流波形几乎不变,C相正半周电流幅值不变,负半周电流幅值几乎为零。由以上分析可知,三电平逆变器IGBT开路故障会导致输出三相电流不同程度的畸变,且不同位置发生故障时的输出电流波形有较为明显的差别,可以对三电平逆变器输出三相电流进行分析,提取故障特征,从而完成故障诊断。
表1 三电平逆变器开路故障类型
Table 1 Open-circuit fault types of three-level inverter


(a)正常状态

(b)Sa1发生开路故障

(c)Sa1和Sa3发生开路故障

(d)Sb1和Sc3发生开路故障
图2 不同情形下的三相电流波形
Fig.2 Three-phase current curves under different conditions
WT-PSO-SVM故障诊断方法主要包括故障特征提取、故障分类训练和参数优化3个过程。故障诊断流程如图3所示。三电平逆变器发生故障时的三相电流波形会产生畸变,不同开路故障波形有较大差异,经小波分解后在高、中、低各频带的投影也有很好的区分度,故可以提取电流各频带能量作为故障特征。对能量特征进行归一化处理,计算电流正半周比例系数,组成特征向量作为PSO-SVM的输入进行训练,训练完成的PSO-SVM分类器用于故障的分类。

图3 故障诊断流程
Fig.3 Process of fault diagnosis
Step1:对三相电流信号进行三层小波分解,得到4个频带的小波分解系数并进行重构,得到重构信号Sn。计算电流信号的能量值。设第n个(n=0,1,2,3)重构信号Sn的能量为En,则有
(1)
式中:j为小波分解层数;Xn为Sn的幅值。
Step2:以能量为元素构造特征向量,特征向量T为
(2)
通常小波分解提取的能量En数值较大,代入分类器进行训练得到的效果不好,所以需要进行归一化处理,归一化的能量
为
(3)
式中![]()
归一化的能量特征向量T′为
(4)
Step3:小波变换提取到故障能量特征后,部分故障下所提取的能量十分接近,而其正负半周电流幅值有明显差异,因此,引入表征正负半周电流幅值的正半周电流比例系数作为辅助特征。正半周比例系数定义为一个周期内电流正半周平均值与整个周期内正负半周平均值的绝对值之比,记为Kmean。
(5)
式中:I为电流值;mean(·)表示求平均值;abs(·)表示求绝对值。
Step4:小波变换提取电流能量归一化特征与正半周系数作为SVM输入,采用高斯核函数计算不同特征样本间的距离,依据间隔最大化原则寻找分类超平面实现样本分类,完成SVM分类器构建。
Step5:为了提高故障诊断方法的泛化能力,利用粒子群算法对SVM的核函数参数g和惩罚系数C进行优化。随机初始化粒子的初始位置与速度,设定最大迭代次数为200次,利用交叉验证的方法计算适应度值并更新粒子速度和位置,达到迭代次数后将最佳适应度值的参数作为PSO-SVM核函数参数g和惩罚系数C,最终实现故障诊断,并利用测试集样本验证故障诊断方法的准确性。
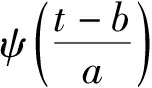
基于小波变换对信号进行分解,提取信号的时频域信息,将信号分解为细节部分和逼近部分[19],可以在保证故障信息完整性的同时最小化特征维度。信号f(t)的小波变换Wf(a,b)可以表示为
(6)
式中:a为尺度参数;b为位移参数;t为小波基;ψ(t)是一个基本小波,
为ψ(t)经过伸缩及平移之后得到的一个小波序列。
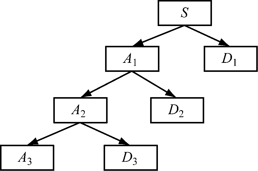
通过小波分解将时域信号分解到不同的频带上,三层小波分析树形分解如图4所示,对信号进行三层小波分解可以得到4个频带的小波分解系数,总重构信号S可表示为
S=A3+D3+D2+D1
(7)
式中:A3为信号的近似分量;D3,D2,D1为信号的细节分量。

图4 三层小波分析树形分解
Fig.4 Tree decomposition of three-layer wavelet analysis
通过小波变换提取的特征具有非线性、高维的特点,故采用SVM作为分类器进行故障分类。
对于分类问题,SVM依据间隔最大化原则,寻找分类超平面对样本进行分类。由z个样本组成的样本集M={xi,yi|i=1,2,…,z},xi∈R,yi∈R,R表示实数集,将样本空间映射到更高维空间,令φ(x)表示x映射到高维空间后的特征向量,划分超平面对应的算法f(x)为
f(x)=wTφ(x)+l
(8)
式中:w为超平面的法向量;l为超平面截距。
分类间隔d为
(9)
SVM根据间隔最大化原则求解分类超平面,即
s.t.yi(wTφ(xi)+l)≥1,i=1,2,…,z
(10)
为了使分类间隔最大,需要最小化
划分最大间隔的超平面问题可以转换为一个凸优化二次规划问题来求解,即
s.t.yi(wTφ(xi)+l)≥1
(11)
凸优化二次规划问题可以采用拉格朗日乘子法求解,拉格朗日函数为
(12)
式中α为拉格朗日系数。
凸优化二次规划问题就转化为关于α的问题:
αi≥0,i=1,2,…,z
(13)
通过求解α可以得到划分超平面算法中的参数w,l。求解α会涉及计算样本xi和xj映射到特征空间之后的内积φT(xi)φ(xj),特征空间的维数高,直接计算比较困难,故在此引入SVM的核函数k(xi,xj):
(14)
式中σ为高斯核的带宽,σ>0。
φT(xi)φ(xj)可表示为xi,xj在原始样本空间中通过引入k(xi,xj)所计算得到的函数值。
k(xi,xj)=<φ(xi),φ(xj)>=φT(xi)φ(xj)
(15)
最终f(x)可表示为
(16)
SVM分类准确率、泛化能力与核函数参数g和惩罚系数C有一定关系,随着C增大,SVM容易出现过拟合问题,而C过小则容易出现欠拟合问题;随着g减小,SVM的性能会提升,但过小,SVM会变为线性模型。利用PSO对SVM的参数进行优化可以在不增加训练样本的情况下提高分类的准确率和泛化能力,PSO-SVM算法步骤如下:
Step1:初始化PSO运行参数,在允许范围内随机产生m个粒子的初始位置和速度,利用样本训练SVM分类器,并采用交叉验证的方法计算适应度值,设置每个粒子最优位置(P)为粒子当前位置,计算个体极值与全局极值,整个粒子群最优位置(G)为个体极值最好的粒子的位置。
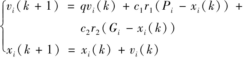
Step2:用式(17)更新每个粒子的速度vi(k+1)和位置xi(k+1)。

(17)
式中:q为惯性因子;c1,c2为学习因子;r1,r2为[0,1]的均匀随机数;k为当前迭代次数;vi(k)和xi(k)为当前第i个粒子的速度和位置,i=1,2,…,m。
Step3:更新P与G,P更新为适应度值高于当前个体极值的位置,G更新为所有粒子中极值最好的个体位置,且比当前全局极值的粒子的位置好,同时更新个体极值与全局极值。
Step4:达到预设的最大迭代次数或达到预期效果就终止迭代,否则返回Step2。
Step5:得到最佳的参数组合,完成PSO-SVM分类方法构建。
通过Matlab的Simulink仿真模块搭建了NPC三电平逆变器的故障仿真模型,采样频率为10 kHz,采样时间为0.1 s,每组采样1 000个数据点。为保证实验的准确性,进行9种工况下的采样,直流侧电压U、负载电阻R、负载电感L分别设置如下:①U=280 V,R=1 Ω,L=0.01 H;②U=400 V,R=1 Ω,L=0.01 H;③U=720 V,R=1 Ω,L=0.01 H;④U=280 V,R=5 Ω,L=0.01 H;⑤U=400 V,R=5 Ω,L=0.01 H;⑥U=720 V,R=5 Ω,L=0.01 H;⑦U=280 V,R=1 Ω,L=0.05 H;⑧U=400 V,R=1 Ω,L=0.05 H;⑨U=720 V,R=1 Ω,L=0.05 H。每种工况下采集5组电流信号,73种故障状态下共采集3 285个电流信号作为实验样本Case1,加入10%的高斯白噪声作为实验样本Case2。加入10%高斯白噪声后,Sa2故障时A相电流波形如图5所示。

(a)原始电流波形

(b)噪声信号

(c)加入10%高斯白噪声的电流波形
图5 加入10%高斯白噪声、Sa2故障时的A相电流波形
Fig.5 A phase current curves with 10% gaussian white noise and Sa2fault
对采集的73种故障的三相电流数据进行db3三层小波分解,Sa2发生故障时A相电流信号小波分解结果如图6所示,其中f(t)为原始电流信号,A3为小波分解后的近似分量,D1、D2、D3为细节分量。从图6可看出,小波分解出的近似分量很好地保留了信号的波形特征。
对分解后的信号进行重构,提取各频带的能量并进行归一化处理,表2为部分A相电流小波分析提取的能量特征。由表2可看出, 部分故障之间的能量区分度较大,但是也存在部分故障所提取的能量十分接近的情况,如Sa2和Sa3发生故障时,能量特征十分接近,单一地使用能量特征进行故障诊断容易造成误判。
表2 部分A相电流小波分析提取的能量特征
Table 2 Energy characteristics of partial A phase current extracted by wavelet analysis


(a)加入10%高斯白噪声的电流波形

(b)小波变换后信号近似系数A3

(c)小波变换后信号细节系数D3

(d)小波变换后信号细节系数D2

(e)小波变换后信号细节系数D1
图6 Sa2故障时A相电流信号小波分解结果
Fig.6 Wavelet decomposition result of A phase current signal with Sa2fault
Sa2、Sa3故障时的电流波形如图7、图8所示。从图7、图8可看出,Sa2故障时,A相电流正半周幅值和正常状态相同,负半周幅值趋近于0;Sa3故障时则相反,A相电流正半周幅值与正常状态相同,负半周幅值趋近于0,2种故障正负半周幅值有明显差异。不同故障间的正负半周幅值有明显差异,所以,文中引入正半周比例系数作为故障识别的辅助特征。

(a)Sa2故障时A相电流波形

(b)Sa2故障时B相电流波形

(c)Sa2故障时C相电流波形
图7 Sa2故障时的电流波形
Fig.7 Current curves with Sa2fault

(a)Sa3故障时A相电流波形

(b)Sa3故障时B相电流波形

(c)Sa3故障时C相电流波形
图8 Sa3故障时的电流波形
Fig.8 Current curves with Sa3fault
计算得到的部分三相电流正半周比例系数见表3。由表3可看出,Sa2和Sa3三相电流的正半周比例系数有较大差异,利用正半周比例系数可以较好地区分2种故障。
表3 部分三相电流正半周比例系数
Table 3 Positive half cycle proportional coefficients of partial A phase current

将三相电流能量特征和正半周比例系数组成的故障诊断特征输入SVM分类器,并利用PSO算法进行参数寻优。训练完成的SVM分类器可用于三电平逆变器开路故障特征样本的分类。
利用Simulink三电平逆变器仿真模型导出9种工况下的3 285个电流信号进行实验。原始电流信号为Case1,加入10%的高斯白噪声信号为Case2。采用前6种工况的数据(2 190个样本数据)作为训练集进行训练,后3种工况(1 095个样本数据)作为测试集测试故障诊断方法的准确性。
WT-PSO-SVM方法采用db3三层小波分解提取三相电流信号能量,归一化能量和三相电流的正半周比例系数共15个特征作为SVM的输入。SVM采用RBF核函数,PSO算法初始化种群数目为200,迭代次数为200,进行特征分类学习。WT-PSO-SVM方法在Case2上的PSO优化SVM适应度曲线如图9所示,在迭代了17次之后,最佳适应度能够保持最高,计算得出适应度最高时的惩罚系数C=6.2,核函数参数g=62.4。

图9 PSO优化SVM适应度曲线
Fig.9 Fitness curves of SVM optimized by PSO
分别提取Case1与Case2的归一化能量和正半周比例系数输入训练完成的SVM分类器用于故障识别,WT-PSO-SVM算法在Case1与Case2测试集的故障识别准确率分别为97.8%和97.3%。由于实验样本较多,无法完全展现所有样本的测试情况,选取Case2测试集中4组(292个)样本进行展示。部分样本测试分类结果如图10所示,故障类别标签按照表1中顺序从1~73进行标注。从图10可看出,正确分类样本为284个,错误分类样本为8个,分类准确率为97.3%。

图10 Case2部分测试样本分类结果
Fig.10 Classification results of partial Case2 test samples
进一步进行不同故障诊断方法对比实验,不同故障诊断方法的准确率比较如图11所示。
利用快速傅里叶变换(Fast Fourier Transform, FFT)对三电平逆变器三相电流信号进行频谱分析,信号的幅度谱表示对应频率的能量,而相位谱表示对应频率的相位特征。信号经傅里叶变换,不同故障在直流分量、3次谐波、5次谐波的幅值和相位上有较大的区分度,故将此3个分量的幅值相位和正半周比例系数共21个特征作为BP神经网络(Back Propagation Neural Network, BPNN)的输入,进行分类训练。BP神经网络激活函数为Sigmoid函数,随机初始化权重和偏置;特征向量为21维,BP神经网络的输入层为21个神经元;隐含层为单层,20个神经元;输出层为73个神经元。基于傅里叶变换与BP神经网络的故障诊断方法(FFT-BPNN)在Case1与Case2测试集的故障识别准确率分别为94.4%和89.4%。

图11 不同故障诊断方法的准确率比较
Fig.11 Comparison of accuracy of different fault diagnosis methods
将经傅里叶变换提取的直流分量、3次谐波、5次谐波的幅值、相位和正半周比例系数作为SVM的输入进行分类学习。基于傅里叶变换与支持向量机的故障诊断方法(FFT-SVM)在Case1与Case2测试集的故障识别准确率分别为95.3%和89.6%。
将三层小波提取的能量与正半周比例系数共15个特征作为BP神经网络的输入。BP神经网络激活函数为Sigmoid函数,随机初始化权重和偏置;特征向量为15维,BP神经网络的输入层为15个神经元;隐含层为单层,20个神经元;输出层为73个神经元。基于小波变换与BP神经网络的故障诊断方法(WT-BPNN)在Case1与Case2测试集的故障识别准确率分别为95.8%和94.9%。
从图10、图11可看出,FFT-BPNN与FFT-SVM方法准确率较低,且在有噪声情况下的准确率波动较大。WT-BPNN方法可以有效实现三电平逆变器故障的诊断。WT-PSO-SVM方法诊断正确率最高达到97.8%,且在10%高斯白噪声情况下依然可以准确识别故障。
(1)提出了基于小波分析和粒子群优化支持向量机(WT-PSO-SVM)的故障诊断方法。对NPC三电平逆变器拓扑结构进行了分析,将三电平逆变器开路故障按照故障元件位置分为6类,通过仿真实验对三电平逆变器输出端三相电流波形进行初步分析,并利用db3三层小波对三相电流信号进行小波分解,得到4个频带的小波分解系数并进行重构,提取重构后各频带的能量值。由于提取能量较大会对SVM特征学习造成困难,故对各频带的能量进行归一化处理,同时引入正半周比例系数输入SVM。利用PSO算法优化SVM参数,以提高泛化能力,用PSO-SVM故障诊断方法实现故障的分类。
(2)利用三电平逆变器输出端三相电流作为原始电流数据样本,在原始电流数据样本下和加入10%高斯白噪声的数据样本下进行不同诊断方法对比实验,实验结果表明:WT-PSO-SVM故障诊断方法可准确识别与定位三电平逆变器的开路故障,与傅里叶变换方法和BP神经网络算法相比,在变负载和有噪声影响的情况下仍有较高的准确率,准确率达97.3%。
参考文献(References):
[1] 邱世广, 李思光.一种三电平NPC逆变器四桥臂故障容错拓扑[J].工矿自动化,2016,42(10):70-73.
QIU Shiguang, LI Siguang.A fault-tolerance topology of three level four leg NPC inverter[J].Industry and Mine Automation,2016,42(10):70-73.
[2] 吴鑫, 焦京海, 李强.三电平SVPWM逆变器矢量控制系统的故障仿真[J].北京交通大学学报, 2017, 41(1):78-84.
WU Xin, JIAO Jinghai, LI Qiang.Fault simulation on vector control system of three-level SVPWM inverter[J].Journal of Beijing Jiaotong University, 2017,41(1):78-84.
[3] 邱世广, 李梅.一种三电平NPC逆变器IGBT开路判别方法[J].工矿自动化, 2014,40(9):99-102.
QIU Shiguang, LI Mei.A distinguish method of open-circuit IGBT of three-level NPC inverter[J].Industry and Mine Automation,2014,40(9):99-102.
[4] 孙博宇.地铁牵引逆变器的故障诊断研究[D].南京:东南大学,2017:1-63.
SUN Boyu.Research on fault diagnosis of metro traction inverter[D].Nanjing: Southeast University,2017:1-63.
[5] 余运俊, 裴石磊, 万晓凤, 等.NPC三电平光伏逆变器开路故障诊断[J].电子测量与仪器学报, 2018,32(5):41-49.
YU Yunjun, PEI Shilei, WAN Xiaofeng, et al.Open-circuit fault diagnosis of NPC three-level photovoltaic inverter[J].Journal of Electronic Measurement and Instrumentation,2018,32(5):41-49.
[6] CAI Baoping, ZHAO Yubin, LIU Hanlin, et al.A data-driven fault diagnosis methodology in three-phase inverters for PMSM drive systems[J].IEEE Transactions on Power Electronics, 2016,32(7):5590-5600.
[7] 陶洪峰, 周超超, 杨慧中.三电平逆变器的决策树SVM故障诊断[J].电子测量与仪器学报,2017,31(2):238-244.
TAO Hongfeng,ZHOU Chaochao,YANG Huizhong.Fault diagnosis of three-level inverter based on decision tree SVM[J].Journal of Electronic Measurement and Instrumentation,2017,31(2): 238-244.
[8] 袁国森, 张彼德, 李明昆, 等.基于极值比值法和神经网络的逆变器故障诊断[J].电测与仪表, 2016, 53(14):34-38.
YUAN Guosen, ZHANG Bide, LI Mingkun, et al.Fault diagnosis for inverter based on extremum value ratio and probabilistic neural network[J].Electrical Measurement & Instrumentation,2016,53(14):34-38.
[9] WU Xun, CHEN Tefang, CHENG Shu, et al.An online diagnostic method based on output current locus for open-circuit faults of inverters[J].Transactions of China Electrotechnical Society, 2017, 32(S2):87-95.
[10] WU Xun, TIAN Rui, CHENG Shu, et al.A non-intrusive diagnostic method for open-circuit faults of locomotive inverters based on output current trajectory[J].IEEE Transactions on Power Electronics,2017,33(5):4328-4341.
[11] WANG Zhanshan, HUANG Zhanjun, SONG Chonghui,et al.Multiscale adaptive fault diagnosis based on signal symmetry reconstitution preprocessing for microgird inverter switch under changing load condition[J].IEEE Transactions on Smart Grid,2018,9(2):797-806.
[12] CHEN Yong, LIU Zhilong, CHEN Zhangyong.Fast diagnosis and location method for open-circuit fault in inverter based on current vector character analysis[J].Transactions of China Electrotechnical Society, 2018,33(4):883-891.
[13] INDRAYUDH B, PRITHWIRAJ P, CHIRANJIB K.Performance of a classifier based on time domain features for incipient fault detection in inverter drives[J].IEEE Transactions on Industrial Informatics, 2019,15(1):3-14.
[14] WANG Tianzhen, QI Jie, XU Hao, et al.Fault diagnosis method based on FFT-RPCA-SVM for cascaded-multilevel inverter[J].ISA Transactions, 2016,60:156-163.
[15] DHUMALE R B, LOKHANDE S D.Neural network fault diagnosis of voltage source inverter under variable load conditions at different frequencies[J].Measurement, 2016,91:565-575.
[16] 徐继伟, 宋保业, 公茂法.基于深度神经网络的多电平逆变器故障诊断[J].电测与仪表, 2019,56(2):123-128.
XU Jiwei, SONG Baoye, GONG Maofa.Fault diagnosis of multilevel inverter based on deep neural network[J].Electrical Measurement & Instrumentation, 2019,56(2):123-128.
[17] KAMEL T, BILETSKIY Y, CHANG L C.Fault diagnosis and on-line monitoring for grid-connected single-phase inverters[J].Electric Power Systems Research, 2015,126:68-77.
[18] 万晓凤, 胡海林, 余运俊, 等.基于独立量分析的NPC光伏逆变器故障诊断[J].电子测量与仪器学报, 2016,30(12):1915-1924.
WAN Xiaofeng, HU Hailin, YU Yunjun, et al.Fault diagnosis of NPC photovoltaic inverter based on independent component analysis[J].Journal of Electronic Measurement and Instrumentation, 2016, 30(12):1915-1924.
[19] 刘自然, 胡毅伟, 石璞, 等.基于改进经验小波变换的滚动轴承故障特征提取方法研究[J].中国测试, 2019,45(10):10-15.
LIU Ziran, HU Yiwei, SHI Pu, et al.Fault feature extraction method of rolling bearing based on enhanced empirical wavelet transform[J].China Measurement & Test, 2019,45(10):10-15.
WAN Hong1,2, REN Xiaohong1,2, FAN Jinyu1,2, YU Xiao1,2, DING Enjie1,2
(1.IoT(Perception Mine)Research Center, China University of Mining and Technology, Xuzhou 221008, China;2.School of Information and Control Engineering, China University of Mining and Technology, Xuzhou 221008, China)
Abstract:In view of problems of complicated calculation and low accuracy existed in traditional open-circuit fault diagnosis methods of three-level inverter, an open-circuit fault diagnosis method of three-level inverter based on wavelet analysis and particle swarm optimization support vector machine(WT-PSO-SVM)was proposed.On the basis of analyzing the characteristics of the three-phase current signal of the three-level inverter, the current signal is decomposed by using the three-layer wavelet, and the energy of each frequency band is extracted as the fault feature.After the energy was extracted by wavelet transform, the extracted energy under partial faults is very close and cannot be distinguished effectively, and then the positive half-cycle proportional coefficient is introduced as auxiliary feature.The normalized energy and the positive half-cycle proportional coefficient are used as feature vectors to input support vector machines for classification training, and the parameters of support vector machine are optimized by particle swarm optimization algorithm to achieve the best classification effect, so as to realize fault diagnosis.The experimental results show that the WT-PSO-SVM method can effectively identify open-circuit faults of the three-level inverter, which has higher diagnostic accuracy and speed than other fault diagnosis methods, and still has a higher fault identification accuracy of 97.3% in the case of variable load and noise.
Key words:three-level inverter; open-circuit fault; fault diagnosis; positive half-cycle proportionality coefficient; wavelet transform; support vector machine; particle swarm optimization algorithm
中图分类号:TD608
文献标志码:A
文章编号:1671-251X(2020)04-0066-09
DOI:10.13272/j.issn.1671-251x.2019070045
收稿日期:2019-07-17;修回日期:2020-02-10;责任编辑:张强。
基金项目:国家重点研发计划项目(2017YFC0804404,2017YFC0804400,2017YFC0804401)。
作者简介:万红(1995-),女,江苏徐州人,硕士研究生,主要研究方向为设备故障诊断,E-mail:chen1995wh@126.com。
通信作者:俞啸(1989-),男,山东济宁人,讲师,博士,主要从事人工智能、信号处理和故障诊断方面的研究工作,E-mail:yxcumt2006@163.com。
引用格式:万红,任晓红,范晋瑜,等.三电平逆变器开路故障诊断研究[J].工矿自动化,2020,46(4):66-74.
WAN Hong,REN Xiaohong,FAN Jinyu,et al.Research on open-circuit fault diagnosis of three-level inverter[J].Industry and Mine Automation,2020,46(4):66-74.