乔振朋1, 王赛丽2, 郭果1, 杨征1, 刘涛1, 余开伟1
(1.国网河南省电力公司检修公司,河南 郑州 450007; 2.安阳工学院 电子信息与电气工程学院,河南 安阳 455000)
摘要:针对线圈间距是衡量无线电能传输距离的关键指标,研究了线圈间距对谐振式无线电能传输系统性能的影响。建立了四线圈磁耦合谐振式无线电能传输系统模型和PCB平面螺旋线圈模型,通过Matlab仿真分析源线圈、发射线圈、接收线圈和负载线圈之间的距离对系统传输效率和输出电压的影响,并搭建实验平台对仿真结果进行了验证。结果表明,线圈间距对系统传输效率有显著影响,系统输出的负载电压随着发射线圈和接收线圈间距d23、源线圈和发射线圈间距d12的增大呈现先增大后减小的规律,选择合适的d23和d12可使系统输出电压达到最大值,而源线圈和发射线圈间距d34的增加则使得输出电压逐渐减小。因此,在系统设计中应尽可能使接收线圈和负载线圈靠近。
关键词:磁耦合谐振式无线电能传输;线圈间距;平面螺旋线圈;传输效率;输出电压
无线电能传输(Wireless Power Transmission,WPT)是利用电磁场耦合进行能量传输的技术。它克服了使用电缆进行电能传输带来的不安全因素,如电火花和线路老化等。WPT技术在电动汽车、便携式移动设备、电子测量和煤炭开采等领域有着广阔的应用前景[1-4]。自从2007年麻省理工学院Marin Soljacic教授利用磁耦合谐振实现中等距离的无线电能传输以来[5],国内外掀起了磁耦合谐振式WPT技术的研究热潮[6-10]。目前,该领域的研究重点是如何提高磁耦合谐振WPT的效率和功率,以及如何实现传输系统的小型化等问题[11-13]。磁耦合谐振式WPT系统一般采用平面螺旋线圈和管状螺旋线圈。采用印刷电路板(Printed Circuit Board,PCB)制作的平面螺旋线圈具有制作简便、参数可控度高等优点,因而应用较多。同时,为了减小负载变化对系统传输效率和功率的影响,常采用四线圈拓扑结构[14-15]。
系统频率、负载大小、传输距离和谐振线圈参数等都是影响系统传输性能的重要因素。系统频率对传输功率和效率的影响已经得到大量研究,文献[16]对负载大小、谐振线圈参数进行了优化。线圈间距是无线电能传输的有效距离,是衡量无线电能传输距离的关键指标,研究线圈间距对谐振式无线电能传输系统性能的影响具有重要意义。因此,本文基于电路理论建立了采用PCB平面螺旋线圈的磁耦合谐振式WPT系统的四线圈模型,利用Matlab仿真分析和实验分析了线圈间距对系统性能的影响。
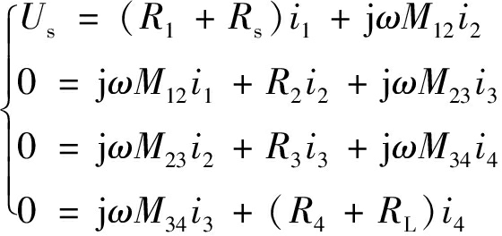
四线圈磁耦合谐振式WPT系统一般由源线圈、发射线圈、接收线圈和负载线圈构成,其等效电路如图1所示。其中,US,RS为电源电压和内阻;R1—R4,L1—L4,C1—C4分别为源线圈、发射线圈、接收线圈和负载线圈的电阻、电感和电容(包括外加电容和分布电容);M12,M23,M34为线圈之间的互感;RL为负载电阻。

图1 四线圈磁耦合谐振式WPT系统等效电路
Fig.1 Equivalent circuit of four-coil magnetically coupled resonant wireless power transfer system
当4个线圈的谐振频率均为电源发射频率时,系统处于谐振状态,线圈的电感L和电容C满足如下关系:
(1)
式中ω为角频率。
由等效电路可列出基尔霍夫电压方程组:

(2)
式中i1,i2,i3,i4分别为源线圈回路、发射线圈回路、接收线圈回路和负载线圈回路中的电流。
解式(2)可得负载上的输出电压UL和输出功率PL分别为
(3)
PL=
(4)
(5)
系统的传输效率为
η=
(6)
匝数为N的PCB平面螺旋线圈如图2所示。其中,dout为外直径,din为内直径,S为线间距,h为PCB版厚度,W,t分别为绕制线圈所用铜扁线的宽度和厚度。

(a)俯视图

(b)截面图
图2 平面螺旋线圈
Fig.2 Planar spiral coil
平面螺旋线圈之间的互感可等效为N个在同一平面的同心圆依次耦合的叠加,则两线圈之间的互感M为
(7)
(8)
式中:i,j为线圈编号,取值范围为1~4,i≠j;Ni,Nj为线圈匝数;μ0为真空磁导率;ri,rj为线圈半径;K(k),E(k)分别为具有模数k的第1类和第2类椭圆积分;D为线圈之间的距离。
线圈等效电阻为
(9)
式中:l为线圈金属导体的总长度,
为电导率;δ为趋肤深度,
为系统频率。
在四线圈磁耦合谐振式WPT系统中,4个线圈之间的距离对整个系统的性能具有十分重要的影响。在理论模型的基础上,采用Matlab仿真详细分析线圈之间的距离对传输效率和输出电压的影响。设定仿真参数如下:电源频率为13.56 MHz,电源电压为1.5 V,电源内阻为0.1 Ω,负载电阻为3 Ω。4个线圈均设定成平面螺旋线圈,各线圈参数见表1。
表1 线圈参数
Table 1 Coil parameters

设源线圈和发射线圈间距d34分别为4,5,6 cm,系统传输效率η和负载电压U随发射线圈和接收线圈间距d23的变化曲线如图3所示。
由图3(a)可知,随着发射线圈和接收线圈之间距离的增加,系统传输效率先增加后减小,且在d34分别为4,5,6 cm时,效率的变化趋势一致。这说明发射线圈和接收线圈之间存在一个使系统传输效率最大的最佳距离。由图3(b)可看出,随着发射线圈和接收线圈之间距离的增大,系统负载电压先增大后减小。这是因为系统从过耦合进入临界耦合状态,所以,负载接收到的电压先增大;随着距离d23继续增大,两线圈之间的耦合程度减小,进入欠耦合状态,负载接收到的电压开始减小,即存在一个使负载电压最大的最优距离。

(a)传输效率随d23的变化

(b)负载电压随d23的变化
图3 传输效率和负载电压随发射线圈和接收线圈间距的变化
Fig.3 Change of transmission efficiency and load voltage with the distance between transmitting coil and receiving coil
系统传输效率和负载电压随源线圈和发射线圈间距d12的变化曲线如图4所示。
由图4(a)可知,随着源线圈和发射线圈之间距离的增加,系统传输效率逐渐减小。由图4(b)可知,随着d12的增加,负载电压先增大后减小,即存在一个使得系统输出负载电压最大的最佳距离d12。这是因为在其他线圈间距不变的情况下,随着d12的增大,源线圈与发射线圈之间的耦合程度变弱,这2个线圈之间也存在过耦合、临界耦合和欠耦合状态,使得负载电压出现相应的变化趋势。
系统传输效率和负载电压随接收线圈和负载线圈间距d34的变化曲线如图5所示。
由图5(a)可知,随着接收线圈和负载线圈之间距离的增加,负载输出效率逐渐减小。负载阻值为68,18 Ω时的系统传输效率变化一致。这说明在该系统参数下,接收线圈和负载线圈的距离越近,传输效率越高。由图5(b)可知,系统负载电压随距离d34的增大也逐渐减小。这可以看作线圈间距的增加改变了系统的阻抗值,使负载电压逐渐减小。

(a)传输效率随d12的变化

(b)负载电压随d12的变化
图4 传输效率和负载电压随源线圈和发射线圈间距的变化
Fig.4 Change of transmission efficiency and load voltage with the distance between source coil and transmitting coil

(a)传输效率随d34的变化

(b)负载电压随d34的变化
图5 传输效率和负载电压随接收线圈和负载线圈间距的变化
Fig.5 Change of transmission efficiency and load voltage with the distance between receiving coil and load coil
系统传输功率和效率随系统频率f的变化曲线如图6所示。

(a)输出功率随频率的变化

(b)传输效率随频率的变化
图6 输出功率和传输效率随频率的变化
Fig.6 Change of output power and transmission efficiency with frequency
由图6可知,固定线圈间距、负载,改变系统频率,系统输出功率和传输效率都是随着频率的增大先增大后减小,且都有一个最优值。取得最优值时的频率即系统的谐振频率,相对于传输效率,输出功率对频率的变化更为敏感。
为了验证仿真结果的正确性,优化平面螺旋线圈谐振式WPT系统的参数,搭建了实验平台,如图7所示。

图7 WPT系统实验平台
Fig.7 Experimental platform of WPT system
根据表1中的参数,采用平面印刷工艺制作了PCB平面螺旋线圈。实验中所用电源工作频率为13.56 MHz。由于工艺条件的限制,实际制作的PCB平面螺旋线圈的谐振频率与设计值有所偏离,为了保证4个线圈的谐振频率与电源频率相同,需要为4个线圈匹配外加电容。
外加电容值确定过程:将PCB螺旋线圈、外加电容和电阻组成RLC串联电路,通过扫频信号发生器向RLC串联电路输出频率变化但有效值不变的电压,通过示波器测量线圈和电容两端电压。扫频信号发生器频率从1 MHz到20 MHz变化输出,示波器测量电压达到最小值时可认为线圈和电容组成的电路发生谐振,此时的频率为谐振频率。将频率从1 MHz增加至20 MHz,每次增加1 MHz,在13~14 MHz内,以0.1 MHz的幅度增加频率。这样不断改变外加电容值,得出线圈在频率13.56 MHz处的匹配电容值。最终确定外加电容值如下:源线圈匹配118 pF电容,发射和接收线圈匹配108 pF电容,负载线圈匹配2 000 pF电容。
负载电压有效值U随发射线圈和接收线圈间距d23的变化曲线如图8所示。实验中,设d12=3 cm,负载电阻为18 Ω,接收线圈和负载线圈之间的距离d34分别为4,5,6 cm。由图8可看出,随着发射线圈和接收线圈之间距离的增加,负载电压有效值先增大后减小。这说明当发射线圈和接收线圈之间距离在4.5 cm以内时,两线圈处于过耦合状态,输出电压较小;当线圈之间的距离变大时,线圈之间耦合程度逐渐减弱,距离大于4.5 cm且小于10.0 cm时,两线圈处于欠耦合状态,输出电压随距离增加而减小。距离d23为4.5 cm时可认为两线圈处于临界耦合状态。实验说明了线圈之间的耦合程度对系统输出电压有影响,该实验结果与仿真结果一致。

图8 负载电压有效值U随距离d23的变化
Fig.8 Change of load voltage effective valueUwith the coil spacingd23
负载电压有效值U随源线圈和发射线圈间距的变化曲线如图9所示。实验中,设负载电阻为18 Ω,d34=3.5 cm,d23=10 cm。由图9可看出,随着源线圈和发射线圈之间距离的增加,负载电压先增大后减小。源线圈发射线圈之间的距离为3.5 cm时,负载电压有效值最大。这说明这2个线圈之间的耦合程度对负载电压也有影响。在其他参数不变的情况下,将线圈间距由1.5 cm增加到3.5 cm,耦合程度不断减弱,系统负载电压增加,两线圈处于过耦合状态。两线圈距离大于3.5 cm且小于7 cm时,两线圈处于欠耦合状态,随着距离增加,负载电压逐渐减小。负载电压与距离d12关系的实验结果与仿真结果一致。

图9 负载电压有效值U随距离d12的变化
Fig.9 Change of load voltage effective valueUwith the coil spacingd12
负载电压有效值U随接收线圈和负载线圈间距的变化如图10所示。实验中,设d12=3 cm,d23=10 cm。由图10可看出,随着接收线圈和负载线圈之间的距离不断增加,系统负载电压有效值不断减小。RL为18,68 Ω时负载电压的最大值都在d34=2 cm处取得。接收线圈和负载线圈之间的距离影响着两线圈之间的耦合程度。当两线圈之间距离从2 cm增加到7 cm时,其耦合程度逐渐减小,负载电压有效值逐渐降低。当负载电阻为18,68 Ω时,负载电压有效值随接收线圈和负载线圈间距的变化趋势一致,该实验结果与仿真结果一致。

图10 负载电压有效值U随距离d34的变化
Fig.10 Change of load voltage effective valueUwith the coil spacingd34
基于电路理论,建立了平面螺旋线圈结构的磁耦合谐振式WPT系统模型。通过Matlab仿真和搭建实验平台,研究了不同线圈之间的距离对系统传输效率和输出电压的影响。结果表明,线圈间距对系统传输效率有显著的影响,系统输出的负载电压随着发射线圈和接收线圈间距d23、源线圈和发射线圈间距d12的增大呈现先增大后减小的规律,选择合适的d23和d12可使系统输出电压达到最大值,而源线圈和发射线圈间距d34的增加则使得输出电压逐渐减小。因此,在系统设计中应尽可能使接收线圈和负载线圈靠近。
参考文献(References):
[1] 赵争鸣,张艺明,陈凯楠.磁耦合谐振式无线电能传输技术新进展[J].中国电机工程学报,2013,33(3):1-13.
ZHAO Zhengming,ZHANG Yiming,CHEN Kainan.New progress of magnetically-coupled resonant wireless power transfer technology[J].Proceedings of the Chinese Society for Electrical Engineering,2013,33(3):1-13.
[2] 曹玲玲,陈乾宏,任小永,等.电动汽车高效率无线充电技术的研究进展[J].电工技术学报,2012,27(8):1-13.
CAO Lingling,CHEN Qianhong,REN Xiaoyong, et al.Review of the efficient wireless power transmission technique for electric vehicles[J].Transactions of China Electrotechnical Society,2012,27(8):1-13.
[3] KARACA O, KAPPELEER F, WALDAU D, et al.Eigenmode analysis of a multiresonant wireless energy transfer system[J].IEEE Transactions on Industrial Electronics, 2014, 61(8):4134-4141.
[4] DUKJU A, SONGCHEOL H.A study on magnetic field repeater in wireless power transfer[J].IEEE Transactions on Industrial Electronics, 2013, 60(1): 360-371.
[5] KURS A, KARALIS A, MOFFATT R, et al.Wireless power transfer via strongly coupled magnetic resonance[J].Science, 2007,317:83-86.
[6] NGUYEN H, AGBINYA J I.Splitting frequency diversity in wireless power transmission[J].IEEE Transactions on Power Electronics, 2015, 30(11): 6088-6096.
[7] 张献,杨庆新,陈海燕,等.电磁耦合谐振式传能系统的频率分裂特性研究[J].中国电机工程学报,2012,32(9):167-173.
ZHANG Xian,YANG Qingxin,CHEN Haiyan, et al.Research on characteristics of frequency splitting in electromagnetic coupling resonant power transmission systems[J].Proceedings of the Chinese Society for Electrical Engineering, 2012,32(9):167-173.
[8] 王国东,乔振朋,王赛丽,等.磁耦合谐振式无线电能传输拓扑结构研究[J].工矿自动化,2015,41(5):58-63.
WANG Guodong,QIAO Zhenpeng,WANG Saili,et al.Research on topology of magnetically-coupled resonant wireless power transmission[J].Industry and Mine Automation, 2015,41(5):58-63.
[9] BEH T C, KATO M,IMURA T,et al.Automated impedance matching system for robust wireless power transfer via magnetic resonance coupling[J].IEEE Industrial Electronics Society,2013,60(9): 3689-3698.
[10] 翟渊,孙跃,戴欣,等.磁共振模式无线电能传输系统建模与分析[J].中国电机工程学报,2012,32(12):155-160.
ZHAI Yuan,SUN Yue,DAI Xin,et al.Modeling and analysis of magnetic resonance wireless power transmission systems[J].Proceedings of the Chinese Society for Electrical Engineering, 2012,32(12):155-160.
[11] 李阳,杨庆新,陈海燕,等.无线电能传输系统中影响传输功率和效率的因素分析[J].电工电能新技术,2012,31(3):31-34.
LI Yang,YANG Qingxin, CHEN Haiyan,et al.Analysis of factors influencing power and efficiency in wireless power transfer system[J].Advanced Technology of Electrical Engineering and Energy,2012,31(3):31-34.
[12] LEE E S,THAI V X,CHOI S,et al.Lumped impedance transformers for compact and robust coupled magnetic resonance systems[J].IEEE Transactions on Power Electronics,2013,30(11):2239-2244.
[13] SAMPLE A P, DAVID D T, SMITH J R.Analysis, experimental results, and range adaption of magnetically coupled resonators for wireless power transfer[J].IEEE Transactions on Industrial Electronnics,2011,58(2):544-554.
[14] 王国东,乔振朋,王允建,等.磁耦合谐振式无线电能传输系统中线圈谐振特性研究[J].电源学报,2015,13(2):58-63.
WANG Guodong,QIAO Zhenpeng,WANG Yunjian,et al.Coil resonance characteristics of magnetically-coupled resonant wireless power transmission system[J].Journal of Power Supply,2015,13(2):58-63.
[15] 王国东,原璐璐.无线电能传输系统谐振线圈优化设计[J].工矿自动化,2014,40(3): 53-56.
WANG Guodong,YUAN Lulu.Optimal design of resonant coil of wireless power transmission system[J].Industry and Mine Automation,2014,40(3):53-56.
[16] 乔振朋.磁耦合谐振式无线电能传输特性研究[D].焦作:河南理工大学,2016.
QIAO Zhenpeng.Study on the transmission characteristics of magnetic coupled resonant wireless power transmission[D].Jiaozuo: Henan University of Science and Technology, 2016.
QIAO Zhenpeng1, WANG Saili2, GUO Guo1, YANG Zheng1, LIU Tao1, YU Kaiwei1
(1.State Grid Henan Electric Power Corporation Maintenance Company, Zhengzhou 450007, China;2.School of Electronic Information & Electrical Engineering, Anyang Institute of Technology, Anyang 455000, China)
Abstract:For coil spacing is a key indicator to measure wireless power transfer distance, influence of coil spacing on performance of resonant wireless power transmission system was studied.A four-coil magnetically coupled resonant wireless power transmission system model and a PCB planar spiral coil model were established.The influence of the distance between source coil, transmitting coil, receiving coil and load coil on system transmission efficiency and output voltage were analyzed through Matlab simulation, and an experimental platform was built to verify the simulation results.The results show that the coil spacing has a significant effect on the transmission efficiency of the system.The load voltage output by the system presents a law of increasing first and then decreasing as the increase of spacingd23between transmitting coil and receiving coil and the spacingd12between the source coil and transmitting coil.Appropriated23andd12can make the system output voltage reach the maximum value, and the increase of the distanced34between the source coil and the transmitting coil makes the output voltage gradually decrease.Therefore, the receiving coil and load coil should be as close as possible in the system design.
Key words:magnetically coupled resonant wireless power transmission; coil spacing; planar spiral coil; transmission efficiency; output voltage
中图分类号:TD60
文献标志码:A
文章编号:1671-251X(2020)04-0060-06
DOI:10.13272/j.issn.1671-251x.2019090007
收稿日期:2019-09-04;修回日期:2020-03-27;责任编辑:胡娴。
基金项目:国网河南省电力公司检修公司状态评估应用研究项目(YCSBJX-2018-062)。
作者简介:乔振朋(1989-),男,河南滑县人,工程师,硕士,主要从事特高压变电运维、检修方面的研究工作,E-mail:qzp228@163.com。
引用格式:乔振朋,王赛丽,郭果,等.线圈间距对谐振式无线电能传输系统性能的影响[J].工矿自动化,2020,46(4):60-65.
QIAO Zhenpeng,WANG Saili,GUO Guo,et al.Influence of coil spacing on performance of resonant wireless power transmission system[J].Industry and Mine Automation,2020,46(4):60-65.