吴雅琴, 李惠君, 徐丹妮
(中国矿业大学(北京)机电与信息工程学院,北京 100083)
摘要:针对基于支持向量机(SVM)的煤与瓦斯突出预测算法存在预测精度和可靠性不高,选择核函数时未考虑非线性数据的分类,对非线性分布的煤与瓦斯突出影响因素提取效果较差的问题,提出了一种将改进的粒子群(IPSO)算法与Powell算法相结合(IPSO-Powell)优化SVM的煤与瓦斯突出预测算法。首先通过灰色关联分析提取出煤与瓦斯突出主控因素,即瓦斯放散初速度、瓦斯压力、开采深度、瓦斯含量和煤体破坏类型,作为算法的输入样本;然后运用IPSO算法改善粒子群算法(PSO)的早熟收敛性,结合Powell算法进行局部搜索得到最优解,对SVM算法的惩罚系数和高斯核函数参数进行寻优,得到SVM的最优参数组合;最后将煤与瓦斯突出的主控因素输入到SVM中进行分类,并将其与实际测试集分类结果进行对比,实现煤与瓦斯突出预测。仿真结果表明:与SVM算法、GA-SVM算法、PSO-SVM算法相比,利用IPSO-Powell优化SVM算法进行煤与瓦斯突出预测,具有更高的预测精度,同时提高了 SVM 求解过程的运算效率,能同时满足煤与瓦斯突出预测的精度和可靠性要求,准确率达到95.9%。
关键词:煤与瓦斯突出预测;主控因素;灰色关联分析;支持向量机;改进粒子群算法;Powell算法
我国是世界上煤与瓦斯突出最严重的国家之一[1],对煤与瓦斯突出进行准确预测具有重大意义。随着计算机和仿真技术的发展,通过建立数学算法和计算机仿真与运算进行煤与瓦斯突出预测已成为当前煤与瓦斯突出预测的主要手段之一。刘俊娥等[2]建立了基于粗糙集-支持向量机(Rough Set-Support Vector Machine, RS-SVM)的煤与瓦斯突出风险判别模型,较单一使用支持向量机(SVM)模型具有更高的预测精度,但该模型缺少对核函数参数的优化,预测精度不高。孙玉峰等[3]应用SVM方法对煤与瓦斯涌出类型及涌出量进行了分析,并对核函数的判错率进行了研究,但在选择核函数时未考虑非线性数据的分类,对非线性分布的煤与瓦斯突出影响因素提取效果较差。杨力等[4]提出了基于模糊支持向量机(Fuzzy Support Vector Machine, FSVM)的煤与瓦斯突出预测模型,拥有比SVM更好的学习能力,但存在运算效率不高的问题。温廷新等[5]利用量子遗传算法对最小二乘支持向量机的参数作寻优处理,建立了煤与瓦斯突出预测模型,使预测结果避免了陷入局部最优解,但存在未成熟收敛的问题。周爱桃等[6]提出了基于支持向量分类机的煤与瓦斯突出危险性分类的预测方法,对比了4种核函数的预测能力,但缺少对主控因素的分析,运算的时间成本过大,可靠性不高。隆能增等[7]提出了基于局部线性嵌入法-果蝇优化算法-BP神经网络模型(LLE-FOA-BP)的煤与瓦斯突出强度预测方法,提高了算法的鲁棒性和学习效率,但数据量过大时模型存在训练速度较慢的问题。付华等[8]将等距映射算法与优化加权向量机耦合算法相结合,建立了煤与瓦斯突出双耦合算法预测模型,提高了煤与瓦斯突出的预测泛化能力,但缺少SVM模型的自身参数优化,无法满足算法的可靠性要求。
针对以上问题,本文提出了基于IPSO-Powell优化SVM的煤与瓦斯突出预测算法。首先通过灰色关联分析对煤与瓦斯突出的主控因素进行提取,消除了煤与瓦斯突出影响因素之间的冗余,并将其作为算法的输入样本;然后将改进的粒子群(Improved Particle Swarm Optimization,IPSO)算法与Powell算法结合起来优化SVM的惩罚系数和核函数参数[9],得到SVM的最优参数组合;最后将主控因素输入到SVM进行分类,并将其与实际测试集分类结果进行对比,实现煤与瓦斯突出预测。仿真结果验证了该算法的准确性和可靠性。
根据煤与瓦斯突出机理的综合作用假说[10-12],影响煤与瓦斯突出的因素主要包括瓦斯含量、瓦斯压力、瓦斯放散初速度、煤的普氏系数、煤体破坏类型、软分层煤体厚度和开采深度等。为了研究不同影响因素对煤与瓦斯突出的影响程度,运用灰色关联分析理论,按照关联度的排序提取煤与瓦斯突出的主控因素,为煤与瓦斯突出预测算法的仿真实验奠定基础。
通过收集整理相关文献所列山西屯兰矿、沙曲矿和寺河矿等矿井的样本数据[13-16],得到了119个现场实例样本,见表1。表1中煤与瓦斯突出强度为0的样本表示非突出样本,不为0的样本表示发生了煤与瓦斯突出的样本;煤体破坏类型分为5类,1—5分别表示非破坏煤、破坏煤、强烈破坏煤、粉粒煤和全粉煤。
灰色关联分析是对动态发展进程态势的量化剖析,运用灰色关联度的曲线图形来剖析系统因素间、因素对系统的影响水平的一种方式,通过确定参考数据列和剩余多个比较数据列的曲线图形的差异水平来判别其关系是否紧密,从而找到煤与瓦斯突出的主控因素。灰色关联分析计算步骤如下:
(1)确定参考数列和比较数列。假设煤与瓦斯突出有n个影响因素,对于m次突出案例,其突出强度的理想化样本如下:
![]()
![]()
(l=1,2,…,m)
(1)
表1 现场实例样本
Table 1 Field case samples

式中
为突出强度值,l为突出案例样本的序号,上标(0)表示没有经过标准化处理的原始值。
![]()
![]()
(k=0,1,…,n)
(2)
式中:k为突出影响因素的序号;
为第l个样本中第k个突出影响因素的值。
(2)变量无量纲化。由于各变量单位不统一、初值差异不方便对比,需要对数据进行标准化处理。
(3)
式中:上标(1)表示经过标准化处理的变量值;
为第1个突出案例样本中第k个变量(k=0时,指突出强度,当k=1,2,…,n时指突出影响因素)的值。
(3)计算关联系数η(k)。关联系数定义如下:

(4)
式中:
为每一个突出影响因素和突出强度的绝对差值;
为两级最小差;
为两级最大差;ρ为分辨系数,0<ρ<1,通常取0.5。
(4)计算各个突出影响因素的关联度。比较数列与参考数列在各个时刻的关联程度值为关联系数,计算出每一个突出影响因素和突出强度的关联系数后,采用式(5)计算结果作为比较数列与参考数列间关联程度的大小,关联系数的平均值称为关联度,反映数列之间的紧密程度。关联度r(k)的表达式为
(5)
(5)关联度排序是按照关联度从大至小依次排列,假设r(1)<r(2),表明第1个影响因素对突出强度的控制作用小于第2个影响因素。
运用Matlab软件进行煤与瓦斯突出影响因素灰色关联分析,以突出强度为参考数列,以瓦斯含量、瓦斯压力、瓦斯放散初速度、煤的普氏系数、煤体破坏类型、软分层厚度和开采深度作为比较数列。对表1中发生突出的样本数据进行灰色关联分析,计算结果见表2。将关联度按照由大到小进行排序,关联顺序反映各个影响因素对煤与瓦斯突出的控制作用逐渐降低,从而提取煤与瓦斯突出的主控因素。各个影响因素对煤与瓦斯突出控制作用的顺序:瓦斯放散初速度>瓦斯压力>开采深度>瓦斯含量>煤体破坏类型>煤的普氏系数>软分层厚度,故提取瓦斯放散初速度、瓦斯压力、开采深度、瓦斯含量和煤体破坏类型作为煤与瓦斯突出主控因素。
表2 影响因素关联度排序
Table 2 Correlation sorting of influencing factors

粒子群(Particle Swarm Optimization,PSO)算法利用群体中的个体对信息的共享来追随当前搜索到的最优值,从而找到问题求解空间中的全局最优解[17]。假设群体大小为z,目标搜寻空间为d维,Xi=(xi1,xi2,…,xid)T(i=1,2,…,z),表示第i个粒子的位置;Vi=(vi1,vi2,…,vid)T,表示第i个粒子的飞翔速度,粒子i自身搜索到的最好位置记为pbestid,gbestd为当前种群中粒子搜索到的最好的点,粒子i通过式(6)来迭代更新自身的速度与位置。

(6)
式中:
和
分别为粒子i下一时刻与现在时刻的速度,t为迭代次数;
和
分别为粒子i下一时刻与现在时刻的位置;ω为惯性权重;c1和c2为非负常数学习因子;r1和r2为[0,1]区间的随机数。
为使PSO算法在起初阶段搜索到足够大的范围,快速找到最优解的大概位置,以便后期进行局部精细搜索,利用IPSO算法,采用线性上升策略处理惯性权重。
(7)
式中:ωmax为权重最大值;Δω为权重最大值与最小值的差;tc,tmax分别为当前迭代次数和最大迭代次数。
将式(7)代入式(6)可得

(8)
Powell算法是采用坐标依次变换法依次沿N个坐标轴方向进行一维搜寻[e1,e2,…,eN],然后以开始点X(0)和终点
形成新的搜索方向S(1),并以S(1)为搜索方向进行一维搜索,获得极小值点
令初始点
用第1轮构成的新搜索方向S(1)代替原来搜索方向组中第1位置上的方向e1,即组成[e2,e3,…,eN,S(1)]搜索方向组,
变成搜索方向组最后一个方向,从而形成了第2轮迭代的N个方向,依次往下迭代,一直到取得符合迭代收敛精度要求的相近极小点[18]。
用IPSO算法和Powell算法共同优化SVM的参数,并对PSO算法本身进行优化,然后结合Powell算法做进一步的局部寻优,反复迭代,将最后得到的最优解代入到SVM进行分类预测。IPSO-Powell优化SVM算法流程如图1所示。

图1 IPSO-Powell优化SVM算法流程
Fig.1 Flow of IPSO-Powell optimized SVM algorithm
多项式核函数形式过于简单,非线性程度较低,高斯核函数很少发生维数灾难,并且超平面参数的个数较少,经综合考虑,本文采用高斯核函数作为SVM算法的核函数,其关键参数既可用σ表示,也可用g表示,两者之间的关系为
(9)
本文采用IPSO-Powell算法优化SVM算法中的2个参数,即惩罚系数C和核函数参数σ。算法运行步骤如下:
(1)初始化参数:初始化IPSO算法的最大迭代次数tmax,学习因子c1、c2,混合算法的最大迭代次数M,Powell算法的搜索精度ε,搜索概率Pp等。
(2)利用适应度函数评价所有粒子的适应度。
(3)若混合算法的迭代次数大于M,则放弃迭代,将所有寻找到的极值点输出,否则继续下一步操作。
(4)若IPSO迭代代数t≤tmax,则更新粒子的位置、速度、pbestid和gbestd。
(5)r<Pp,对最后一代粒子运用Powell算法进行一维搜索极值点。
(6)将上述得到的极值点放入到极值点库中。
(7)再次初始化粒子的位置及速度。
(8)将极值点库中已经搜寻到的全局极值点赋给已初始化的粒子,返回步骤(3)。
(9)利用最优参数组合(C,σ)对SVM算法进行仿真实验。
为了分析不同比例的训练样本和预测样本对IPSO-Powell优化SVM算法结果的影响,利用流行的UCI数据库中的Wine数据集进行算法验证。Wine数据集中样本个数为178,属性个数为13,类别个数为3,分别记为1,2,3,随机选取4组训练样本和测试样本进行对比,具体结果见表3。
表3 实验数据对比
Table 3 Comparison of experimental data

通过仿真实验将运算的预测测试集分类结果与实际测试集分类结果进行对比。4组测试样本的预测结果如图2—图5所示。从图2可看出,第1组89个样本中,有3个样本预测测试集分类结果为3,实际测试集分类结果为2,其余86个预测结果正确,准确率为96.6%。从图3可看出,第2组64个样本中,有2个样本预测测试集分类结果为3,实际测试集分类结果为2,其余62个预测结果正确,准确率为96.9%。从图4可看出,第3组41个样本中,有2个样本预测测试集分类结果为2,实际测试集分类结果为1,其余39个预测结果正确,准确率为95.1%。从图5可看出,第4组20个样本中,有1个样本预测测试集分类结果为2,实际测试集分类结果为1,其余19个预测结果正确,准确率为95%。4组预测结果准确率均超过95%。上述结果表明:选取不同比例的训练样本与预测样本对预测结果影响较小,准确率相差1%左右,基本符合算法预期效果。

图2 第1组测试样本的预测结果
Fig.2 Prediction results of the first set test samples

图3 第2组测试样本的预测结果
Fig.3 Prediction results of the second set test samples

图4 第3组测试样本的预测结果
Fig.4 Prediction results of the third set test samples

图5 第4组测试样本的预测结果
Fig.5 Prediction results of the fourth set test samples
(1)将运用灰色关联分析提取的煤与瓦斯突出主控因素(瓦斯放散初速度、瓦斯压力、开采深度、瓦斯含量和煤体破坏类型)作为算法的输入样本。
(2)利用IPSO-Powell优化SVM算法中的惩罚系数C和核函数参数σ,利用最优参数组合(C,σ)建立的SVM算法进行仿真实验。
(3)利用流行的UCI数据库中的Wine数据集分析不同比例的训练样本和预测样本对算法结果的影响,验证算法的可靠性。
(4)利用IPSO-Powell优化SVM算法计算预测测试集分类结果,并将其与实际测试集分类结果进行对比,对煤与瓦斯突出进行预测。
在表1所列119个现场实例样本中,随机选取70个作为训练样本,包括突出样本45个、非突出样本25个,另选49个作为预测样本。根据煤与瓦斯突出强度的大小把样本分成3类:无突出(标记为1)、小型突出(突出煤量为0~50 t,标记为2)、大型突出(突出煤量为50 t以上,标记为3),SVM模型的输出结果集用这个标准作为评价集。根据关联度计算结果从大到小进行排序,提取主控因素(瓦斯放散初速度、瓦斯压力、开采深度、瓦斯含量和煤体破坏类型)作为煤与瓦斯突出预测算法的输入样本进行仿真实验。
为分析基于IPSO-Powell优化SVM的煤与瓦斯突出预测算法的准确性和可靠性,将其与粒子群-支持向量机(Particle Swarm Optimization-Support Vector Machine,PSO-SVM)算法、遗传算法-支持向量机(Genetic Algorithm-Support Vector Machine,GA-SVM)算法和SVM算法进行仿真对比。
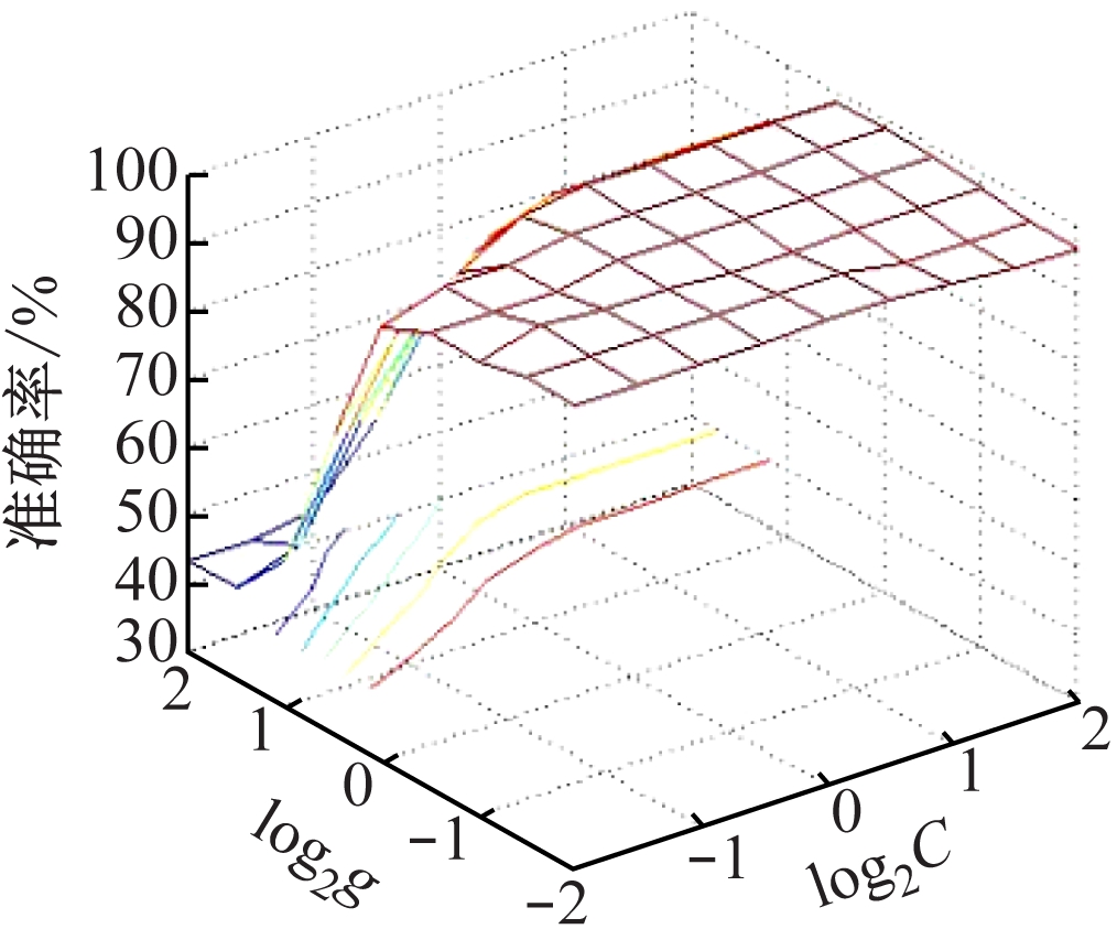
仿真时,要确定SVM算法中的惩罚系数C和核函数参数σ的值。如果C值太大,容易导致过拟合;如果C值太小,容易发生欠拟合。如果σ值太小,存在训练准确率很高而预测准确率不高的可能;如果σ值太大,则会出现平滑效应,无法实现较高的训练准确率,也会影响预测的准确率。首先对算法参数进行初始化,由IPSO算法和Powell算法根据适应度函数对SVM的惩罚系数C和核函数参数σ进行寻优,记录最优的一组参数组合(C,σ)进行仿真。
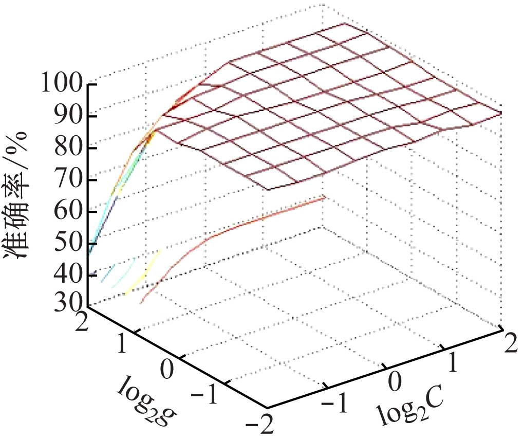
(1)利用IPSO-Powell优化SVM算法进行仿真,结果如图6所示。图6(a)中的g与参数σ的关系参见式(9)。当最优参数组合中C=0.329 88,σ=1时,49个样本中有2个样本预测测试集分类结果为3,实际测试集分类结果为2,其余47个预测结果正确,准确率为95.9%。

(a)算法参数和预测准确率关系

(b)预测结果
图6 IPSO-Powell优化SVM算法仿真结果
Fig.6 Simulation results of IPSO-Powell optimized SVM algorithm
(2)利用PSO-SVM算法进行仿真,结果如图7所示。当最优参数组合中C=0.353 55,σ=0.5时,49个样本中有6个样本预测测试集分类结果为2,实际测试集分类结果为1,其余43个预测结果正确,准确率为87.8%。

(a)算法参数和预测准确率关系

(b)预测结果
图7 PSO-SVM算法仿真结果
Fig.7 Simulation results of PSO-SVM algorithm
(3)利用GA-SVM算法进行仿真,结果如图8所示。当最优参数组合中C=0.5,σ=1时,49个样本中有7个样本预测测试集分类结果为2,实际测试集分类结果为1,有2个样本预测测试集分类结果为2,实际测试集分类结果为3,其余 40 个预测结果正确,准确率为81.6%。
(4)利用SVM算法进行仿真,结果如图9所示。当最优参数组合中C=0.707 11,σ=0.25时,49个样本中有11个样本预测测试集分类结果为2,实际测试集分类结果为1,有2个样本预测测试集分类结果为2,实际测试集分类结果为3,其余36个预测结果正确,准确率为73.5%。

(a)算法参数和预测准确率关系

(b)预测结果
图8 GA-SVM算法仿真结果
Fig.8 Simulation results of GA-SVM algorithm

(a)算法参数和预测准确率关系

(b)预测结果
图9 SVM算法仿真结果
Fig.9 Simulation results of SVM algorithm
从仿真结果发现,IPSO-Powell优化SVM算法的预测准确率超过95%,其他3种算法的预测准确率均低于90%,说明IPSO-Powell优化SVM算法在迭代次数较少的情况下预测准确率更高。
(1)运用灰色关联理论分析各个影响因素对煤与瓦斯突出的影响程度,根据关联度的排序提取瓦斯放散初速度、瓦斯压力、开采深度、瓦斯含量和煤体破坏类型作为煤与瓦斯突出主控因素。
(2)将IPSO算法与Powell算法相结合对SVM算法的惩罚系数C和高斯核函数参数σ进行寻优。运用IPSO-Powell优化SVM算法对不同比例训练样本与预测样本的仿真结果进行预测,预测准确率均超过95%,表明选取不同比例的训练样本与预测样本对预测结果影响较小。
(3)在提取煤与瓦斯突出主控因素的基础上,构建了基于IPSO-Powell优化SVM的煤与瓦斯突出预测算法。IPSO-Powell优化SVM算法和SVM算法、GA-SVM算法、PSO-SVM算法的仿真对比结果表明:基于IPSO-Powell优化SVM的煤与瓦斯突出预测算法具有更高的预测精度,同时提高了SVM 求解过程的运算效率,为煤与瓦斯突出预测提供了新的思路和方法。
参考文献(References):
[1] 杨恒.鹤壁八矿煤与瓦斯突出危险性预测研究[D].阜新:辽宁工程技术大学,2010.
YANG Heng.Research on risk prediction of coal and gas outburst in the Eighth Mine of Hebi[D].Fuxin: Liaoning Technical University, 2010.
[2] 刘俊娥,曾凡雷,郭章林.基于RS-SVM模型的煤与瓦斯突出多因素风险评价[J].中国安全科学学报,2011,21(7):21-26.
LIU Jun'e, ZENG Fanlei, GUO Zhanglin.Study on multiple factors risk evaluation of coal and gas outburst based on RS-SVM model[J].China Safety Science Journal, 2011, 21(7):21-26.
[3] 孙玉峰,李中才.支持向量机法在煤与瓦斯突出分析中的应用研究[J].中国安全科学学报,2010,20(1): 25-30.
SUN Yufeng, LI Zhongcai.Application study of SVM in analysis of coal and gas outburst[J].China Safety Science Journal,2010,20(1):25-30.
[4] 杨力,耿纪超,汪克亮.模糊支持向量机在煤与瓦斯突出预测中的研究[J].中国安全生产科学技术, 2014,10(4):103-108.
YANG Li, GENG Jichao, WANG Keliang.Research on coal and gas outburst prediction using fuzzy support vector machines[J].Journal of Safety Science and Technology,2014,10(4):103-108.
[5] 温廷新,孙红娟,张波,等.煤与瓦斯突出预测的QGA-LSSVM 模型[J].中国安全生产科学技术,2015,11(5):5-12.
WEN Tingxin, SUN Hongjuan, ZHANG Bo, et al.Prediction model for outburst of coal and gas based on QGA-LSSVM[J].Journal of Safety Science and Technology,2015,11(5):5-12.
[6] 周爱桃,王凯,杜锋,等.基于支持向量分类机的煤与瓦斯突出危险性预测[J].煤炭技术,2015,34(4): 145-147.
ZHOU Aitao, WANG Kai, DU Feng, et al.Coal and gas outburst prediction based on support vector classification machine[J].Coal Technology,2015,34(4):145-147.
[7] 隆能增,袁梅,敖选俊,等.基于LLE-FOA-BP模型的煤与瓦斯突出强度预测[J].工矿自动化,2019,45(10):68-73.
LONG Nengzeng, YUAN Mei, AO Xuanjun, et al.Prediction of coal and gas outburst intensity based on LLE-FOA-BP model[J].Industry and Mine Automation, 2019,45(10):68-73.
[8] 付华,丰胜成,高振彪,等.基于双耦合算法的煤与瓦斯突出预测模型[J].中国安全科学学报,2018,28(3):84-89.
FU Hua, FENG Shengcheng, GAO Zhenbiao, et al.Study on multiple factors risk evaluation of coal and gas outburst based on RS-SVM model[J].China Safety Science Journal, 2018,28(3):84-89.
[9] 易超人.基于支持向量机的电力变压器故障诊断与预测研究[D].武汉:武汉理工大学,2018.
YI Chaoren.Research on fault diagnosis and prediction of power transformer based on support vector machine[D].Wuhan: Wuhan University of Technology, 2018.
[10] SKOCZYLAS N.Laboratory study of the phenomenon of methane and coal outburst[J].International Journal of Rock Mechanics & Mining Sciences,2012,55:102-107.
[11] 王刚,武猛猛,程卫民,等.煤与瓦斯突出能量条件及突出强度影响因素分析[J].岩土力学,2015,36(10): 2974-2982.
WANG Gang, WU Mengmeng, CHENG Weimin,et al.Analysis of energy conditions for coal and gas outburst and factors influencing outburst intensity[J].Rock and Soil Mechanics, 2015, 36(10):2974-2982.
[12] 解振,孙矩正,张子敏,等.基于褶皱构造的突出主控因素研究[J].安全与环境学报,2013,13(5): 202-206.
XIE Zhen, SUN Juzheng, ZHANG Zimin, et al.Main controlling factors of coal-gas explosive outbursts based on the fold study[J].Journal of Safety and Environment, 2013,13(5):202-206.
[13] 朱政江.基于神经网络和粒子群优化SVM的煤与瓦斯突出预测模型研究[D].太原:太原理工大学,2014.
ZHU Zhengjiang.Research of coal and gas outburst prediction models based on neural network and PSO-SVM[D].Taiyuan: Taiyuan University of Technology, 2014.
[14] 任少伟.基于PCA的PSO-DE混合算法优化BP神经网络在煤与瓦斯突出预测中的应用研究[D].太原:太原理工大学,2015.
REN Shaowei.The application study of BP neural network based on PSO-DE hybrid algorithm of PCA algorithm in the prediction of coal and methane outburst[D].Taiyuan: Taiyuan University of Technology, 2015.
[15] 李杰.煤与瓦斯突出IGSA-SVM预测模型及其应用[D].太原:太原理工大学,2016.
LI Jie.Coal and gas outburst IGSA-SVM prediction model of coal and its application[D].Taiyuan: Taiyuan University of Technology, 2016.
[16] 陈全秋.遗传算法与神经网络相结合在煤与瓦斯突出危险预测中的应用研究[D].太原:太原理工大学,2010.
CHEN Quanqiu.On the combined application of genetic algorithm and neural network in the prediction of coal/gas outbursts[D].Taiyuan:Taiyuan University of Technology, 2010.
[17] VAN DEN B F, ENGELBRECHT A P.A study of particle swarm optimization particle trajectories[J].Information Sciences,2006,176(8):937-971.
[18] EBERHART R C, SHI Y.Guest editorial special issue on particle swarm optimization[J].IEEE Transactions on Evolutionary Computation,2004,8(3):201-203.
WU Yaqin, LI Huijun, XU Danni
(School of Mechanical Electronic and Information Engineering, China University of Mining and Technology(Beijing), Beijing 100083, China)
Abstract:In view of problems of coal and gas outburst prediction algorithm based on support vector machine(SVM)that prediction accuracy and reliability are not high, classification of nonlinear data is not considered when selecting kernel function, and extraction effect of influence factors of coal and gas outburst with nonlinear distribution is poor, a coal and gas outburst prediction algorithm which combines improved particle swarm optimization(IPSO)algorithm with Powell algorithm(IPSO-Powell)to optimize SVM was proposed.Firstly, main control factors of coal and gas outburst, namely initial velocity of gas emission, gas pressure, mining depth, gas content and failure type of coal body is extracted through grey correlation analysis and used as input samples of the algorithm.Then, IPSO algorithm is used to improve precocious convergence of particle swarm optimization(PSO), and Powell algorithm is used to search the local optimal solution, the penalty coefficient and Gaussian kernel function parameters of the SVM algorithm are optimized, the optimal parameter combination of SVM is obtained.Finally, the main control factors of coal and gas outburst are input to the SVM for classification , and compared with the actual test set classification results to achieve coal and gas outburst prediction.The simulation results show that compared with the SVM algorithm, GA-SVM algorithm and PSO-SVM algorithm, the application of IPSO-Powell optimized SVM algorithm for coal and gas outburst prediction has higher prediction accuracy, and improves the computational efficiency of the SVM solution process, which can meet the accuracy and reliability requirement of coal and gas outburst prediction with an accuracy rate of 95.9%.
Key words:prediction of coal and gas outburst; main control factor; grey correlation analysis; support vector machine; improved particle swarm optimization; Powell algorithm
中图分类号:TD712
文献标志码:A
文章编号:1671-251X(2020)04-0046-08
DOI:10.13272/j.issn.1671-251x.2019110018
收稿日期:2019-11-08;修回日期:2020-03-26;责任编辑:张强。
基金项目:国家自然科学基金项目(51874314)。
作者简介:吴雅琴(1970-),女,江苏南通人,副教授,硕士,研究方向为物联网技术和信息融合,E-mail:wuyq@cumtb.edu.cn。
引用格式:吴雅琴,李惠君,徐丹妮.基于IPSO-Powell优化SVM的煤与瓦斯突出预测算法[J].工矿自动化,2020,46(4):46-53.
WU Yaqin,LI Huijun,XU Danni.Prediction algorithm of coal and gas outburst based on IPSO-Powell optimized SVM[J].Industry and Mine Automation,2020,46(4):46-53.