陈慧丽, 李杰
(郑州科技学院 电气工程学院,河南 郑州 450064)
摘要:针对矿用本安电源因开关变换器滤波电容较大而导致输出电压纹波较大、本安性能较差等问题,提出采用有源电容技术消解本安电源开关变换器滤波电容的方案,对有源电容的工作原理、控制策略和数学模型进行了分析。有源电容技术通过控制内部全桥变换器,将直流母线瞬时功率差转移给非直流母线电容进行能量平衡,从而实现直流母线滤波电容容量消解。以基于Buck变换器的电源为例,介绍了有源电容技术在矿用本安电源中的应用,并通过仿真和试验验证了采用有源电容技术可以较小的电容达到输出本安要求。
关键词:矿用本安电源;开关电源;开关变换器;输出本安特性;滤波电容消解;有源电容
矿用本质安全(简称本安)[1]电源主要包括线性电源和开关电源两种。其中本安开关电源应用越来越广泛[2],正逐步取代传统的本安线性电源。但现有本安开关电源存在输出电压纹波较大、本安性能较差等问题[3]。鉴于本安开关电源主要由各类开关变换器(如AC-DC变换器、DC-DC变换器等)组成[4],本文从开关变换器输出本安特性角度出发,研究提高矿用本安电源输出本安性能的方法。
开关变换器输出本安特性主要与电感和电容有关。开关变换器输出侧通常有较大的滤波用电解电容[5],导致输出电压纹波较大,因此常采用无电解电容或电解电容消解方案[6-7],以减小纹波,提高输出本安性能。无电解电容方案的核心思想是采用其他电容器件或网络代替电解电容,如采用陶瓷电容或薄膜电容等非电解电容作为直流母线电容进行滤波,通过单个或多个电容并联方式满足一定的性能要求[8-9]。该方案存在容值过小、耐压低、成本高等缺点,且适用性较差。电解电容消解方案通过控制直流母线电压,将瞬时功率差转移给非直流母线电容进行平衡,具有控制灵活、适用性强等特点,是目前的研究热点。文献[10]提出一种双端输入增频法,可减小开关变换器输出滤波电容,从而抑制输出短路放电火花,但该方法电路结构和控制过程较复杂,不易实现。文献[11]通过分析开关变换器工作范围,优化滤波电容参数选取范围,使其满足输出电压纹波要求。文献[12]提出了一种通过提高开关频率来减小滤波电容的方法。
有源电容技术[13-14]作为一种新的电解电容消解方案,可采用非电解电容作为储能电容,在不影响开关变换器性能的情况下实现电解电容容量消解。本文将有源电容技术应用于矿用本安电源中,以有效减小开关变换器滤波电容,提升其输出本安性能。
基于全桥拓扑的有源电容结构如图1所示。其主要由直流母线电容C1及与其串联的低电压全桥变换器组成。全桥变换器包括功率开关器件、非直流母线电容C2和C3、电感L等,主要用来抵消直流母线电容C1的电压和电流纹波,电压和电流等级较低。图1中vAB为有源电容端口电压;vC1,vC2,vC3分别为C1,C2,C3两端电压;t为时间。有源电容只包括A,B 2个端口,在实际使用时仅表现出电解电容的特性。

图1 基于全桥拓扑的有源电容结构
Fig.1 Active capacitor structure based on full-bridge topology
将有源电容代替电解电容并联于直流母线上时,通过控制全桥变换器,将母线瞬时功率差转移至有源电容内部储能电容C2和C3,从而实现有源电容两端能量波动平衡。由于储能电容不直接与直流母线相连,所以允许有较大的电压波动,在平衡相同直流母线纹波能量的情况下,可大大减小直流和非直流母线电容,从而达到电容消解目的,且不会增大直流母线纹波。
有源电容控制目标是调节A,B端口的等效阻抗,使其等于采用电解电容时的阻抗,控制原理如图2所示。vC2,ref为vC2参考电压,GHPF(s)和GLPF(s)分别为高通、低通滤波器传递函数,G2(s)为电压环传递函数,s为拉普拉斯算子,vcon1和vcon2分别为vC1和vC2调节输出,m为调制信号。

图2 有源电容控制原理
Fig.2 Control principle of active capacitor
由图2可知,有源电容控制过程中只需将vC1和vC2作为输入信号,无需任何外部电路的反馈信号。vC1经高通滤波器滤波后获取其纹波信号,vC2经低通滤波器滤波后获取其直流偏置信号,之后经PI控制器进行误差调节,得到调制信号m,进而驱动全桥变换器的功率开关器件。
有源电容控制策略通过控制vC3与vC1的纹波具有相同幅值和相反相位,使A,B端口纹波尽可能小,从而使等效电容更大。
可通过有源电容数学模型分析其阻抗特性。理想的有源电容阻抗特性应与电解电容基本相同。
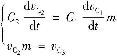
为便于分析,假设采用理想变换器和理想电解电容,即变换器没有损耗,电解电容等效串联电阻为零。根据基尔霍夫电路定律,有源电容大信号数学模型为

(1)
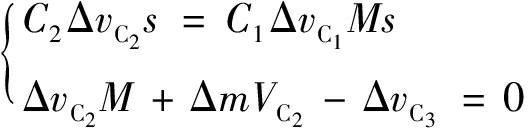
使用小信号建模方法,忽略二阶交流成分,所得有源电容小信号数学模型为
![]()
(2)
式中:ΔvC1,ΔvC2,ΔvC3,Δm分别为小信号建模时引入的vC1,vC2,vC3,m扰动量;M为调制系数。
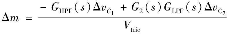
根据有源电容控制原理,Δm可表示为
(3)
式中Vtric为PWM三角载波幅值。
根据式(2)、式(3),可推导出ΔvC1到ΔvC3的传递函数:
Gr(s)=![]()
(4)
有源电容等效阻抗为
ZAC(s)=
=
(5)
式中ΔiC1为小信号建模时引入的有源电容电流扰动量。
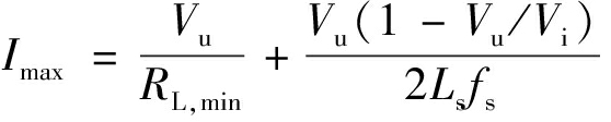
以采用Buck变换器的电源为例,介绍有源电容技术在本安电源中的应用。该电源中Buck变换器用于I类环境,设计指标:输入电压Vi=25 V,输出电压Vu=18 V,输出纹波电压Vpp最大为1%Vu,负载电阻RL=20~200 Ω。变换器工作频率fs=100 kHz,电感Ls=75 μH,输出滤波电容C=50 μF。根据文献[10]对该变换器的本安特性进行判断。
(6)
式中:Imax为变换器在工作范围内的最大电感电流;RL,min为最小负载电阻。
RL,min=20 Ω,因此Imax=1.236 A。
根据文献[1]中容性电路火花放电最小点燃电压曲线,可确定变换器输出的最大本安参数。取安全系数为1.5,查得变换器输出电压为1.5Vu=27 V时,能引起点燃的最小电容为3.75 μF,对应的最小点燃能量为0.61 mJ。根据以上条件,变换器输出短路时释放的最大能量为8.7 mJ,大于0.61 mJ,说明该变换器不满足输出本安要求。
为保证该Buck变换器实现工作范围内的电气性能指标,且能满足本安要求,将输出滤波电容替换为有源电容,如图3所示,其中S为功率开关器件,DS为反并联二极管,DV为二极管。

图3 应用有源电容的Buck变换器拓扑
Fig.3 Buck converter topology using active capacitor
设置2组有源电容参数,见表1,分别进行仿真,并与采用传统电解电容的变换器进行对比。Buck变换器直流侧电压波形如图4所示。
表1 有源电容参数
Table 1 Active capacitor parameters


图4 Buck变换器直流侧电压波形
Fig.4 DC side voltage waveforms of Buck converter
从图4可看出,Buck变换器采用电解电容时,输出纹波电压Vpp为0.83%Vu,满足设计要求,但不满足输出本安要求。将电解电容替换为有源电容1,2后,输出纹波电压Vpp分别为0.33%Vu,0.72%Vu,均满足设计要求,且采用有源电容2时满足输出本安要求。
分别对采用有源电容1,2的Buck变换器进行试验,C1,C3电压波形如图5所示。可看出采用有源电容1的变换器输出纹波电压Vpp为0.62%Vu,采用有源电容2的变换器输出纹波电压Vpp为0.91%Vu,较仿真结果稍大,但仍满足设计要求。

(a)有源电容1

(b)有源电容2
图5 C1,C3电压波形
Fig.5 Voltage waveforms of C1and C3
有源电容中C2没有直接连接直流母线,其大小对变换器输出本安特性没有影响。因此,分析变换器输出本安特性时只需考虑C1,C3即可。有源电容1中C1+C3= 5.17 μF,有源电容2中C1+C3=1.10 μF,而变换器输出电压为27 V时最小点燃电压对应的电容为3.75 μF,因此有源电容1无法满足变换器输出本安要求,有源电容2满足变换器输出本安要求。
针对矿用本安电源开关变换器因滤波电容较大而难以满足输出本安要求的问题,提出采用有源电容代替传统电解电容的方案。有源电容端口特性与电解电容类似,但其连接直流母线的电容容量可大大减小。仿真及试验结果表明,通过合理设置有源电容参数,可使开关变换器满足输出本安要求,为有源电容技术在矿用本安电源中的应用提供了参考。
参考文献(References):
[1] GB 3836.4—2000 爆炸性气体环境用电气设备 第4部分:本质安全型“i”[S].
GB 3836.4-2000 Electrical apparatus for explosive gas atmospheres-Part 4:Intrinsic safety "i"[S].
[2] 田长庚.矿用本安电源Buck变换器设计与仿真[J].煤炭科学技术,2016,44(11):136-140.
TIAN Changgeng.Design and simulation on Buck converter of mine intrinsic safe power[J].Coal Science and Technology,2016,44(11):136-140.
[3] 周雪峰.一种新型矿用本安电源保护电路的设计[J].工矿自动化,2013,39(7):101-103.
ZHOU Xuefeng.Design of a new type of protection circuit of mine-used intrinsic safety power supply[J].Industry and Mine Automation,2013,39(7):101-103.
[4] 于志学,房绪鹏,赵扬.一种“ia”级新型本质安全型电源设计[J].工矿自动化,2017,43(8):83-86.
YU Zhixue,FANG Xupeng,ZHAO Yang.Design of novel intrinsically safe power supply with "ia" grade[J].Industry and Mine Automation,2017,43(8):83-86.
[5] 刘树林,刘健,寇蕾.开关变换器的本质安全特性分析与设计[J].电工技术学报,2006,21(5):36-41.
LIU Shulin,LIU Jian,KOU Lei.Intrinsically safe behavior of switching converters and its design[J].Transactions of China Electrotechnical Society,2006,21(5):36-41.
[6] 张艺文,金科.一种单级式高功率因数无电解电容AC/DC LED驱动电源[J].中国电机工程学报,2015,35(22):5851-5858.
ZHANG Yiwen,JIN Ke.A single-stage electrolytic capacitor-less AC/DC LED driver with high input power factor[J].Proceedings of the CSEE,2015,35(22):5851-5858.
[7] 汪飞,李林,钟元旭,等.反激式三端口无电解电容LED驱动电路拓扑[J].中国电机工程学报,2017,37(12):3574-3582.
WANG Fei,LI Lin,ZHONG Yuanxu,et al.Flyback-based three-port converters for electrolytic capacitor-less LED drivers[J].Proceedings of the CSEE,2017,37(12):3574-3582.
[8] 陈永真.用作变频器与逆变器的整流滤波电容器的薄膜电容器[J].电源世界,2008(2):68-70.
CHEN Yongzhen.Film capacitor used as smoothing capacitor of CVCF and inverter[J].The World of Power Supply,2008(2):68-70.
[9] 曾燊杰,李红梅,张恒果,等.集成功率解耦电路的PFC AC/DC变换器[J].电子技术应用,2018,44(12):143-146.
ZENG Shenjie,LI Hongmei,ZHANG Hengguo,et al.PFC AC/DC converter integrated with power decoupling circuit[J].Application of Electronic Technique,2018,44(12):143-146.
[10] 刘晓强.本质安全型防爆直流开关电源及备用电源研究[D].北京:中国矿业大学(北京),2001.
LIU Xiaoqiang.Research on intrinsic safety type explosion proof DC switch power and auxiliary power[D].Beijing:China University of Mining and Technology(Beijing),2001.
[11] LIU Shulin,LIU Jian,YANG Yinling,et al.Design of intrinsically safe buck DC/DC converters[C]//International Conference on Electrical Machines and Systems,Nanjing,2005:1327-1331.
[12] 刘健,刘树林,杨银玲,等.Buck变换器的输出本质安全特性分析及优化设计[J].中国电机工程学报,2005,25(19):52-57.
LIU Jian,LIU Shulin,YANG Yinling,et al.Output intrinsically safe behavior of Buck converters and its optimal design[J].Proceedings of the CSEE,2005,25(19):52-57.
[13] 唐治德,谢小慧,王官涛,等.有源纹波补偿Buck型LED驱动电路及其小信号分析[J].重庆大学学报,2013,36(3):65-70.
TANG Zhide,XIE Xiaohui,WANG Guantao,et al.Small-signal analysis of the Buck circuit with active ripple compensation for LED[J].Journal of Chongqing University,2013,36(3):65-70.
[14] 张欣,阮新波.用于提高级联型电源系统稳定性的自适应有源电容变换器[J].电工技术学报,2012,27(2):23-32.
ZHANG Xin,RUAN Xinbo.Adaptive active capacitor converter for improving the stability of cascaded DC power supply system[J].Transactions of China Electrotechnical Society,2012,27(2):23-32.
CHEN Huili, LI Jie
(School of Electrical Engineering, Zhengzhou University of Science and Technology, Zhengzhou 450064, China)
Abstract:For problems of large output voltage ripple-wave and poor intrinsic safety performance existed in mine-used intrinsic safety type power supply caused by large filtering capacitor of switching converter, a filtering capacitor resolution scheme was proposed by use of active capacitor technology.Working principle, control strategy and mathematical model of the active capacitor were analyzed.The active capacitor technology transfers instantaneous power difference of DC bus to a non-DC bus capacitor for energy balance through controlling an internal full-bridge converter, so as to realize filtering capacitor resolution of DC bus.Application of the active capacitor technology in mine-used intrinsic safety type power supply was introduced by taking a power supply based on Buck converter as an example.The simulation and experiment results show that the active capacitance technology can meet intrinsic safety output requirement with small capacitor.
Key words:mine-used intrinsic safety type power supply; switching power supply; switching converter; intrinsic safety performance of output; filtering capacitor decrease; active capacitor
中图分类号:TD60
文献标志码:A
文章编号:1671-251X(2020)04-0109-04
DOI:10.13272/j.issn.1671-251x.2019070085
收稿日期:2019-07-29;修回日期:2020-03-11;责任编辑:李明。
基金项目:河南省高等学校重点科研项目(19B413004);河南省产学研合作计划项目(182107000061)。
作者简介:陈慧丽(1983-),女,河南禹州人,副教授,研究方向为仪器仪表、智能控制,E-mail:lymccc_ccc@163.com。
引用格式:陈慧丽,李杰.矿用本安电源开关变换器滤波电容消解方案[J].工矿自动化,2020,46(4):109-112.
CHEN Huili,LI Jie.Filtering capacitor resolution scheme of switching converter in mine-used intrinsic safety type power supply[J].Industry and Mine Automation,2020,46(4):109-112.