白敬彩,范峥,王国柱,杜志勇
(河南工学院 电气工程与自动化学院,河南 新乡 453003)
摘要:针对磁谐振无线电能传输(MR-WPT)系统的负载改变时,现有阻抗匹配方法不能自动调节负载阻抗,导致系统电能传输效率降低的问题,提出了一种MR-WPT系统负载自适应阻抗匹配方法。为利用高频化提高MR-WPT系统的电能传输效率,选用E类功率放大器作为高频逆变电路。在磁谐振装置和负载之间加入DC/DC变换器,当负载阻抗变化时,通过调节DC/DC变换器的占空比将负载电阻变换到最大效率传输电阻,从而确保MR-WPT系统始终以最大效率工作。仿真和实验结果表明:所提出的阻抗匹配方法切实可行,能够优化MR-WPT系统的传输效率,输出功率为3.5 W时,传输效率达35%。
关键词:磁谐振无线电能传输;阻抗匹配;谐振网络;传输效率;E类功率放大器
无线电能传输(Wireless Power Transfer,WPT)是一种不通过直接物理接触向电子设备供电的新型电能传输方式[1]。无线电能传输技术可以分为感应式、微波式和磁谐振式3种[2]。作为WPT技术的一种新突破,磁谐振无线电能传输(Magnetic Resonant Wireless Power Transfer,MR-WPT)技术可利用近场电磁场进行能量交换,是一种非辐射性、高效、中距离输电的新型技术[3-4]。为使 MR-WPT系统始终维持最高效率传输,需将等效负载调节到最优负载,即进行负载阻抗匹配。阻抗匹配是MR-WPT电路设计中常见的一种方法,用以提高MR-WPT系统的电能传输效率[5-6]。文献[7]研究了含有阻抗匹配器的MR-WPT模型,通过仿真验证了在相同的条件下引入阻抗匹配器可有效提高MR-WPT负载功率。文献[8]对MR-WPT系统在电路和系统两个层面的效率进行了详细的分析,提出了一种阻抗匹配方法,并得出了系统处于最优负载阻抗时可获得最大的整体效率,但该方法是交流侧的阻抗匹配,需增加多个无源器件。文献[9-10]提出了一种电容阵列的调谐方法,通过改变电容矩阵中串联电容器和并联电容器的组合实现了动态MR-WPT系统的精确调谐,但该方法使用了过多的电容阵列,控制系数设计比较复杂。文献[11]针对输入阻抗与射频内阻不匹配而引起输出功率下降的问题,提出了一种基于 Smith圆图理论的阻抗匹配方法,通过调节归一化电阻变量实现系统的阻抗匹配,但该方法是基于交流侧的阻抗匹配方法,不能对负载进行自适应调节,具有一定的局限性。针对以上问题,本文提出了一种MR-WPT负载自适应阻抗匹配方法,通过在磁谐振装置和负载之间加入DC/DC变换器,并调节其变比,使得负载等效电阻与最大效率传输电阻相匹配,从而使MR-WPT系统始终工作在最大效率状态。仿真和实验结果表明:在负载改变时,通过本文提出的负载自适应阻抗匹配方法,MR-WPT系统可实现最大的传输效率。
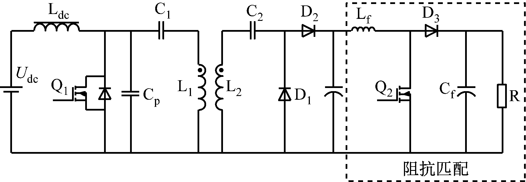
MR-WPT系统结构如图1所示,其主要由直流输入、高频逆变、谐振网络、整流电路、功率变换等部分组成。

图1 MR-WPT系统结构
Fig.1 Structure of MR-WPT system
直流输入首先通过高频逆变单元逆变为高频交流电压,然后通过高频谐振网络(由接收/发射线圈和补偿电容组成)产生高频交变电磁场,实现电磁能量的非接触式传输,最后通过整流电路对接收线圈接收到的交流电能进行整流变换,以对直流负载供电。
对于不同的MR-WPT系统,由于负载特性各异,需要在负载前端加入功率变换单元,将接收端感应的能量处理成负载所需的电能形式,从而实现对负载的供电。
MR-WPT系统的工作原理与传统带变压器的功率变换电路类似,但是由于MR-WPT的发射线圈与接收线圈的距离较远,使得变压器的漏感非常大。根据磁路的欧姆定律及安培环路定律,考虑到气隙的磁阻远大于磁芯的磁阻,所以,磁路的磁动势主要分布在空气磁路部分,随着气隙磁阻的增加,需要在变压器的原边提供较大的励磁电流,而励磁电流的增大会增大传输线圈的面积,而且由于寄生电阻的影响,会带来较大的传输损耗,从而降低能量的传输效率。为了提高MR-WPT系统的电能传输效率,减小感应线圈的尺寸,增强其实用性,需要在发射线圈中通高频交流电流,利用高频化来提高电能的传输效率。
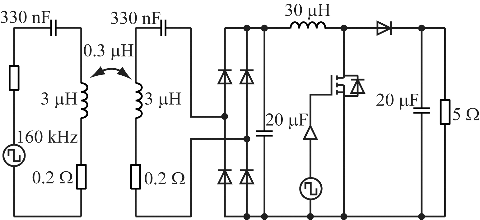
为了在发射线圈产生高频交变的电磁场,要在MR-WPT系统的输入端注入高频激励,一般可通过开关电路或者功率放大电路产生。开关电路最常见的是桥式逆变和推挽逆变。桥式逆变功率大,一般用于大功率场合,变压器为双向励磁,磁芯利用率高。但为防止桥式逆变的上下管同时导通,驱动信号之间一般要留有死区,受限于目前功率器件的工艺水平,桥式逆变电路难以往高频方向发展。同理,为避免推挽逆变电路电流断开,在工作时驱动信号应保证一定的重叠导通时间,这也限制了推挽电路的开关频率。功率放大电路的开关频率较高,输出电流正弦度较好,但是经典功率放大电路如A类、B类和AB类等都工作在开关管的线性区域,变换器效率难以提高。E类功率放大器是工作于开关模式的放大电路,具有开关频率高、开关器件少、容易实现软开关、输出正弦电流等优点,在小功率的MR-WPT系统设计中应用广泛。因此,选用E类功率放大器作为高频逆变电路。E类功率放大器电路如图2所示。

图2 E类功率放大器电路
Fig.2 Class E power amplifier circuit
图2中,Udc为直流电源,Ldc为扼流线圈,Udc和Ldc组成输入的电流源。L1和C1组成串联谐振电路,Cp为开关管并联电容。当开关频率为串联谐振频率且并联电容参数设置合理时,E类功率放大器的串联电感的电流为正弦波。因此,E类功率放大器可以用于MR-WPT系统的功率发射源。
当开关管导通时,并联电容短路,串联电感和串联电容发生谐振。当开关管关断时,谐振网络由串联电感、串联电容和并联电容3个部分组成。E类功率放大器的开关特性由开关频率和电路的品质因数决定。在特定的负载条件下,E类功率放大器可同时满足零电压开通(ZVS)和零电压导数(ZDS)开通条件,即并联电容的电流为零时开关导通。由此可知,E类功率放大器的开关损耗很小。实现E类功率放大器的高效率工作的关键是负载电阻的参数是否合理。当负载电阻的值小于特定电阻时,开关管可实现ZVS,但不能实现ZDS。当负载电阻值大于特定电阻时,E类功率放大器不能实现ZVS和ZDS。因此,在设计E类功率放大器电路时应对负载电阻的范围(5~200 Ω)进行合理设计。
MR-WPT系统发射线圈与接收线圈的漏感会降低电能传输效率,因此,应在线圈上加补偿电容,以消除漏感对电能传输效率的影响。同时,补偿网络与漏感构成谐振网络可消除逆变电路产生的高次谐波影响。一般来说,补偿网络可分为原边补偿和副边补偿2个部分。原边的补偿电容是为了中和原边的漏感抗和副边的映射感抗,从而提高逆变电源效率。而副边补偿是为了减小副边的无功功率,增大感应电源的输出功率。根据拓扑结构的不同,补偿可分为串联补偿和并联补偿,这里以最常见的原边串联-副边串联型补偿网络为例进行分析,初级线圈和次级线圈均采用串联补偿方式,如图3所示。

图3 原边串联-副边串联型补偿网络等效电路
Fig.3 Equivalent circuit of primary side series- secondary side series compensation network
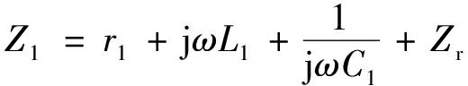
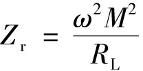
图3中,L1和r1分别为初级线圈的自感和寄生电阻,L2和r2分别为次级线圈的自感和寄生电阻,2个线圈需各自外接串联谐振电容C1与C2,M为两线圈之间的互感。Uin为开关频率为f的交流电源电压有效值,对应角频率ω=2πf。RL为负载阻值,为方便分析,认为其为纯阻性负载。MR-WPT系统的输入阻抗Z1、接收线圈的阻抗Z2、接收线圈映射到发射线圈的反映阻抗Zr的表达式如下:
(1)
(2)
(3)
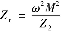
将式(2)代入式(3),可得到反映阻抗为
Zr=![]()
(4)
当发射线圈与接收线圈处于谐振状态时,谐振频率为
(5)
谐振时,反映阻抗的电抗等于0,将式(5)代入式(4),可得
(6)
将式(6)代入式(1),根据文献[12]的效率推导公式可得到原边串联-副边串联补偿拓扑的效率为
(7)
由上节分析可知,原边串联-副边串联型MR-WPT系统的传输效率与互感和负载电阻有关。变压器耦合系数定义如下:
(8)
根据式(7)和式(8)可得到在不同耦合系数情况下负载电阻与传输效率的关系曲线,如图4所示。

图4 不同耦合系数下负载电阻与传输效率的关系曲线
Fig.4 Relationship curves between load resistance and transfer efficiency under different coupling coefficients
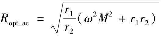
由图4可知,MR-WPT系统在不同的耦合系数条件下均存在效率最大点。耦合系数的值对应发射线圈与接收线圈的位置,即在不同的位置下,均存在使得电能传输效率最大的最佳负载值Ropt-ac。
(9)
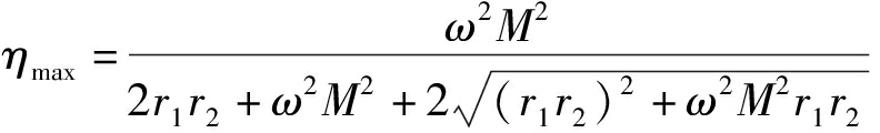
根据交流侧等效电阻与直流电阻换算公式可得到最佳负载Ropt-dc和最佳效率ηmax。
(10)
(11)
由此可知,对于原边串联-副边串联谐振网络,在不同耦合系数情况下,MR-WPT系统都有对应的最佳负载和最佳效率,当该系统的等效负载为最佳负载时,系统传输效率最高。
阻抗匹配基本原理:在MR-WPT系统和负载之间加入DC/DC变换器,当负载阻抗变化时,通过调节DC/DC变换器的占空比,改变负载的等效阻抗,将负载电阻变换到式(10)所示的最大效率传输电阻,使负载进行自适应调节,完成阻抗匹配的功能。自适应阻抗匹配的目标是能够及时跟踪负载阻抗的动态变化,使MR-WPT系统以最高效率传输,原理如图5所示。

图5 自适应阻抗匹配原理
Fig.5 Principle of adaptive impedance matching
为了验证本文提出的阻抗匹配方法的可行性,对原边串联-副边串联型MR-WPT系统进行了仿真研究,仿真参数设置见表1。
表1 MR-WPT系统仿真参数
Table 1 Simulation parameters of MR-WPT system

由式(10)和式(11)分别计算出最佳负载值为0.415 5 Ω,最大传输效率为38%。由表1可知,实际电阻为5 Ω,实际电阻高于最佳负载电阻,因此,应采用Boost电路进行升压变换,将负载电阻变换到最佳负载电阻,通过计算可得Boost电路的占空比为0.71,搭建的Psim仿真模型如图6所示。

图6 仿真电路模型
Fig.6 Simulation circuit model
仿真结果如图7所示,U1为Boost电路升压后的电压,U2为整流输出的电压,通过Boost电路的调节,将整流输出电压由2.2 V提高到8.5 V,从而提高了输出功率。通过仿真数据计算可知,MR-WPT系统传输效率为38%,与理论分析一致。由此可知,利用本文提出的阻抗匹配方法,可将负载电阻匹配到最佳负载电阻值,MR-WPT系统可以工作在最佳效率工作点。

图7 仿真结果
Fig.7 Simulation result
为了进一步验证上述阻抗匹配方法的正确性,搭建了MR-WPT系统的实验样机,如图8所示,激励源采用E类功率放大器,系统各元件参数见表1,采用Boost电路进行负载阻抗匹配。

图8 MR-WPT系统样机
Fig.8 Prototype of MR-WPT system
对MR-WPT系统进行了2组实验,首先进行了开环实验,通过手动调节负载电阻值,测试MR-WPT系统传输效率,结果见表2。由表2可知,当负载由0.2 Ω增大到5 Ω时,传输效率先增加,后减小,传输效率最高点在负载为0.5 Ω时,此时传输效率为34%。当负载为5 Ω时传输效率只有2%。由此可见,存在一个最佳电阻值,使得MR-WPT系统传输效率最高。
表2 MR-WPT系统开环测试数据
Table 2 Open-loop test data of MR-WPT system

在开环实验的基础上又进行了闭环实验,实现了负载自适应匹配,表3是所设计的MR-WPT系统的闭环实测输出数据。通过阻抗匹配的方法将实际负载5 Ω匹配到最佳负载值0.415 5 Ω,此时该系统传输效率最高。由表3可知,通过阻抗匹配方法,输出功率为3.5 W,传输效率可达35%。
表3 MR-WPT系统闭环测试数据
Table 3 Closed-loop test data of MR-WPT system

由仿真分析和2组实验结果可知,通过Boost电路可实现负载自适应调节,从而提高MR-WPT系统的传输效率。
分析了基于原边串联-副边串联型MR-WPT系统的工作原理,推导出了系统的最佳匹配电阻和最高传输效率之间的关系。据此,提出了一种负载自适应阻抗匹配方法,实现了负载改变时,系统仍能保持较高的传输效率。仿真和实验结果均表明:所提出的阻抗匹配方法切实可行,能够优化MR-WPT系统的传输效率,输出功率为3.5 W,传输效率可达35%。
参考文献(References):
[1] 赵靖英,周思诺,崔玉龙,等.磁耦合谐振串并式无线电能传输功率稳定性研究[J].电工电能新技术,2018,37(8):17-26.
ZHAO Jingying, ZHOU Sinuo, CUI Yulong, et al.Research on power stability of magnetic resonance wireless power transmission with series-parallel structure[J].Advanced Technology of Electrical Engineering and Energy, 2018,37(8):17-26.
[2] 赵争鸣,张艺明,陈凯楠.磁耦合谐振式无线电能传输技术新进展[J].中国电机工程学报,2013,33(3):1-13.
ZHAO Zhengming,ZHANG Yiming,CHEN Kainan.New progress of magnetically-coupled resonant wireless power transfer technology[J].Proceedings of the CSEE, 2013,33(3):1-13.
[3] WANG Z, WEI X, DAI H.Principle elaboration and system structure validation of wireless power transfer via strongly coupled magnetic resonances[C]//2013 IEEE Vehicle Power and Propulsion Conference, 2013:1-6.
[4] 方赞峰, 张波, 江彦伟.磁谐振无线电能传输功率关系及频率失谐分析[J].广西大学学报(自然科学版)2017,42(3):1029-1034.
FANG Zanfeng, ZHANG Bo, JIANG Yanwei.Analysis of power and resonant frequency detuning for magnetic resonant coupling wireless power transfer[J].Journal of Guangxi University(Natural Science Edition), 2017,42(3):1029-1034.
[5] KOH K E, BEH T C, IMURA T, et al.Impedance matching and power division using impedance inverter for wireless power transfer via magnetic resonant coupling[J].IEEE Transactions on Industry Applications, 2014,50(3):2061-2070.
[6] 邱利莎,黄守道,李中启.磁耦合谐振式无线输电系统的阻抗匹配研究[J].电力电子技术,2015,49(10):86-88.
QIU Lisha, HUANG Shoudao, LI Zhongqi.Research on impedance matching of wireless power transfer system via coupled magnetic resonances[J].Power Electronics, 2015,49(10):86-88.
[7] 田子建,曹阳阳,樊京,等.磁耦合谐振式无线电能传输系统功率优化[J].工矿自动化, 2016,42(6):33-37.
TIAN Zijian, CAO Yangyang, FAN Jing, et al.Transmission power optimization of magnetic resonance coupling wireless power transmission system[J].Industry and Mine Automation, 2016,42(6):33-37.
[8] FU M, YIN H, ZHU X, et al.Analysis and tracking of optimal load in wireless power transfer systems[J].IEEE Transactions on Power Electronics,2015,30(7):3952-3963.
[9] BEH T C, KATO M, IMURA T, et al.Automated impedance matching system for robust wireless power transfer via magnetic resonance coupling[J].IEEE Transactions on Industrial Electronics, 2013,60(9):3689-3698.
[10] LIM Y, TANG H, LIM S, et al.An adaptive impedance matching network based on a novel capacitor matrix for wireless power transfer[J].IEEE Transactions on Power Electronics, 2014,29(8):4403-4413.
[11] 元士强,崔玉龙,王景芹,等.磁耦合谐振式无线电能传输系统的阻抗匹配方法研究[J].工矿自动化,2019,45(1):84-89.
YUAN Shiqiang,CUI Yulong,WANG Jingqin,et al.Research on impedance matching method for magnetic resonant coupling wireless power transmission system[J].Industry and Mine Automation,2019,45(1):84-89.
[12] LIU X,WANG T,YANG X,et al.Analysis of efficiency improvement in wireless power transfer system[J].IET Power Electronics,2017,11(2):302-309.
BAI Jingcai, FAN Zheng, WANG Guozhu, DU Zhiyong
(School of Electrical Engineering and Automation,Henan Institute of Technology, Xinxiang 453003, China)
Abstract:In view of problem that current impedance matching methods can't automatically adjust load impedance of magnetic resonant wireless power transfer system(MR-WPT)when load changes, which leads to reduction of energy transfer efficiency of the system, a load adaptive impedance matching method of MR-WPT system was proposed.In order to improve power transmission efficiency of MR-WPT system by using high frequency, class E power amplifier is used as high frequency inverter circuit.A DC/DC converter is added between magnetic resonance device and load.When the load impedance changes, the load resistance is transformed to the maximum efficiency transmission resistance by adjusting the duty cycle of the DC/DC converter, thus ensuring that the MR-WPT system always works at maximum efficiency.The simulation and experimental results show that the proposed impedance matching method is feasible and can optimize transmission efficiency of MR-WPT system.When the output power is 3.5 W, the transmission efficiency reaches 35%.
Key words:magnetic resonant wireless power transfer; impedance matching; resonant network; transfer efficiency; class E power amplifier
中图分类号:TD60
文献标志码:A
收稿日期:2019-05-27;修回日期:2019-10-29;责任编辑:张强。
基金项目:河南省科技攻关项目(182102210261,182102210033)。
作者简介:白敬彩(1979-),女,河南清丰人,讲师,硕士,主要研究方向为电力电子与电力传动,E-mail:okbjc@163.com。
引用格式:白敬彩,范峥,王国柱,等.磁谐振无线电能传输负载自适应阻抗匹配研究[J].工矿自动化,2020,46(3):74-78.
BAI Jingcai,FAN Zheng,WANG Guozhu,et al.Research on load adaptive impedance matching of magnetic resonant wireless power transfer system[J].Industry and Mine Automation,2020,46(3):74-78.
文章编号:1671-251X(2020)03-0074-05
DOI:10.13272/j.issn.1671-251x.2019050076